
- 492 pages
- English
- ePUB (mobile friendly)
- Available on iOS & Android
eBook - ePub
Natural Substances for Cancer Prevention
About this book
Natural Substances for Cancer Prevention explores in detail how numerous investigations in chemical biology and molecular biology have established strong scientific evidence demonstrating how the properties of naturally occurring bioactive chemicals hamper all stages of cancers (from initiation to metastasis).
Accordingly, important goals for cancer prevention are the modification of our dietary habits and an increase in the intake of more anticancer-related natural substances. More significantly, the bioactive chemicals presented in the functional foods should be readily available, inexpensive, non-toxic, and nutritional.
Frequently asked questions
Yes, you can cancel anytime from the Subscription tab in your account settings on the Perlego website. Your subscription will stay active until the end of your current billing period. Learn how to cancel your subscription.
No, books cannot be downloaded as external files, such as PDFs, for use outside of Perlego. However, you can download books within the Perlego app for offline reading on mobile or tablet. Learn more here.
Perlego offers two plans: Essential and Complete
- Essential is ideal for learners and professionals who enjoy exploring a wide range of subjects. Access the Essential Library with 800,000+ trusted titles and best-sellers across business, personal growth, and the humanities. Includes unlimited reading time and Standard Read Aloud voice.
- Complete: Perfect for advanced learners and researchers needing full, unrestricted access. Unlock 1.4M+ books across hundreds of subjects, including academic and specialized titles. The Complete Plan also includes advanced features like Premium Read Aloud and Research Assistant.
We are an online textbook subscription service, where you can get access to an entire online library for less than the price of a single book per month. With over 1 million books across 1000+ topics, weāve got you covered! Learn more here.
Look out for the read-aloud symbol on your next book to see if you can listen to it. The read-aloud tool reads text aloud for you, highlighting the text as it is being read. You can pause it, speed it up and slow it down. Learn more here.
Yes! You can use the Perlego app on both iOS or Android devices to read anytime, anywhere ā even offline. Perfect for commutes or when youāre on the go.
Please note we cannot support devices running on iOS 13 and Android 7 or earlier. Learn more about using the app.
Please note we cannot support devices running on iOS 13 and Android 7 or earlier. Learn more about using the app.
Yes, you can access Natural Substances for Cancer Prevention by Jun-Ping Xu in PDF and/or ePUB format, as well as other popular books in Medicine & Pharmacology. We have over one million books available in our catalogue for you to explore.
Information
1 | Cancer-Preventive Substances in Green Vegetables |
1. Amaranth/Amaranthus plants
2. Asparagus/Asparagus officinalis
3. Brassicaceae Vegetables/Brassica oleracea and its cultivars
4. Celery/Apium graveolens
5. Chive/Allium tuberosum
6. Chinese Garlic and Scallion (Green onion)/Allium macrostemon, A. chinense
7. Leek/Allium ampeloprasum var. porrum, A. porrum
8. Spinach/Spinacia oleracea
The vegetable kingdom is a plentiful source of vitamins, minerals, and dietary fibers that play an important role in human nutrition. It is absolutely true that the vegetables are an essential dietary component for a healthy human life. Hence, nutritionists and doctors always encourage people to consume plenty of vegetables and often suggest at least five servings per day. Demands for vegetables have increased substantially worldwide, especially in countries that still practice traditional animal husbandry. Being well known for nutritional value, the functional abilities of vegetables have also received increasing attention.
Owing to the immense diversity of vegetables, it is best to divide them into three groups according to the main edible portion: (1) green vegetables (including whole plants and leaves with/without stem), (2) fruit/flower vegetables (including fruits, gourds, seeds, seed pods, and young flower buds), and (3) bulb/root vegetables (including bulbs and rhizomes). These three groups correspond to the first three chapters. These chapters focus on the scientific evidence related to the antioxidant, anticarcinogenic, antimutagenic, and immunoregulating properties of vegetables. In Chapter 1, the functions of eight common green vegetables in lowering cancer risk are discussed. Allium plants and Brassica plants are the two largest sources of green vegetables and provide remarkable contributions to human health. In addition to these commercialized vegetables, two wild vegetablesāverdolaga (Portulaca oleracea) and the young leaves of cedar trees (Cedrela sinensis)āare mentioned for their significant activities in cancer prevention and tumor inhibition, but they are not available in most grocery stores. The functions and bioactivities of these two wild vegetables have been described in Cancer Inhibitors from Chinese Medicines published by CRC Press/Taylor & Francis group, at the end of 2016.
1. AMARANTH
Amarante Amarant Amaranto



Amaranthus plants
Amaranthaceae

Amaranthus plants are distributed worldwide, growing under a wide range of climatic conditions. A variety of edible species of Amaranthus are consumed widely by all classes of people as leafy vegetable and grains around the world (especially in South Asian and some American regions) mainly for their high nutritional value, low cost, and taste. Thus, a number of Amaranthus species are being cultivated in South Asia and many tropical/subtropical areas for dietary consumption. By the color of leaves and stems, the amaranth vegetables can be classified into two kinds: (1) green plants (such as A. spinosus and A. viridis) and (2) red/reddish plants (such as A. gangengitus and A. tricolor). Generally, the leaves contain a high level of protein, fiber, vitamin C, unsaturated oil, and minerals such as potassium, calcium, magnesium, iron, and zinc, whereas the seeds are high in protein, lysine, vitamin B complex, fiber, antioxidant enzymes, and minerals such as magnesium, phosphorus, calcium, and potassium but lack leucine, threonine, and gluten. Aside from the great phytonutrients, amaranth has been reported to have biologically active phytoconstituentsāthat is, carotenoids, polyphenolics, glycolipids, and flavonoids in the leaves and stems and antimicrobial peptides, protease inhibitors, lectins, antioxidant compounds, and oily substances in the seeds. These natural substances from a diet of amaranth were found to play various biological roles, such as antioxidant, anti-inflammatory, anticancer, antiallergic, hematological parameters-improving, antihyperlipidemic, hepatoprotective, antidiabetic, immunostimulating, antiviral, and antiaging activities.1,2,3,4 Because of their superior nutritional quality and nonallergenic and considerable functional potential, amaranth vegetables and seeds have gained much attention as a great food source for health promotion and cancer prevention.
SCIENTIFIC EVIDENCE OF CANCER-PREVENTIVE ACTIVITIES AND CONSTITUENTS
1. Anticancer properties of amaranth leaves and stems
Both grains and vegetables from the plants A. hybridus and A. lividus are popularly consumed in Southeast Asian countries such as Bangladesh. An extract (AL) was derived from the young leaves of A. lividus. In a mouse model, administration of 100 μg/mL/day of AL extract orally to mice for 6 days resulted in 45% suppression of the growth of Ehrlich ascites carcinoma (EAC) cells together with induction of mitochondria-mediated apoptosis of EAC cells via downregulation of Bcl-2 mRNA expression and upregulation of p53, Bax, and caspase-3 expressions. The AL extract also showed obvious antioxidant potential, with an IC50 value of 28 μg/mL.5,6 Likewise, orally giving an ethanol extract of A. spinosus leaves to EAC-bearing mice at doses of 100 and 200 mg/kg for 16 days hampered the volume and viability of EAC tumors and extended survival, concomitant with the improvement of hematological and biochemical parameters to normal levels.7
A. viridis leaves have been used traditionally as an herb in the treatment of dysentery, hemorrhoids, enteritis, and kidney diseases in China and its young leaves are popularly consumed as a vegetable. Both ethyl ether extract (EEA) and ethyl acetate extract (EAA) of wild A. viridis (stems and leaves) showed not only strong anti-inflammatory activity on RAW 264.7 cells and DPPH-scavenging effect but also displayed suppressive activities against human HepG2 (liver) and HT-29 (colon) cancer cell lines. The antioxidant and anti-inflammatory activities of EAA were better than those of EEA, but the anticancer potency of EEA was much greater than that of EAA. At concentrations of 400 μg/mL, EEA treatment for 24 h deterred the growth of HepG2 and HT-29 cells by 85.9% and 96.9%, respectively, whereas EAA did not inhibit cancer cell growth.6 An ethanolic extract of A. gangeticus was effective in suppressing the proliferation of human HepG2 (liver), MCF-7 (breast), and MDA-MB-231 (breast) cancer cell lines, with IC50s of 27.75, 12.5, and 27.75 μg/mL, respectively, whereas an aqueous extract of A. gangeticus showed a lower inhibitory effect on the HepG2 (liver) and MCF-7 (breast) cancer cells, with IC50s of 93.8 and 98.8 μg/mL, respectively. Both also had weak inhibition on Caco-2 colon cancer cells but not on normal Chang liver cells.8 Further, a diet mixed with 10% of A. gangeticus aqueous extract fed to rats markedly repressed the activities of all tumor marker enzymes (such as uridyl diphosphoglucuronyl transferase, γ-glutamyl transpeptidase, glutathione S-transferase, and alkaline phosphatase). These enzymes were significantly elicited in the in vivo assay by chemical carcinogens 2-acetylamino-fluorene (AAF) and diethylnitrosamine (DEN). Thus, the findings indicated the extract of A. gangeticus has preventive activities against liver carcinogenesis.8
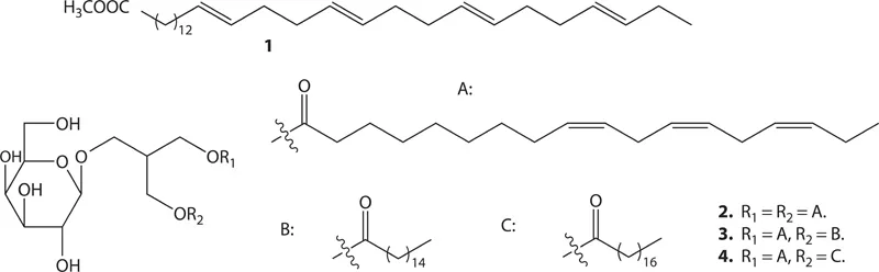
A fatty acid described as (14E,18E,22E,26E)-methyl nonacosa-14,18,22,26 tetraenoate (1) was separated from A. spinosus. In an in vitro assay with tetraenoic fatty acid (1), antiproliferative and proapoptotic effects against HepG2 human hepatoma cells with IC50 of 25.52 μmol/L occurred, whose potency was better than that of linoleic acid (a well-known fatty acid, IC50 of 38.65 μmol/L) but comparable to that of the chemodrug doxorubicin (IC50 of 24.68 μmol/L).9 The antihepatoma mechanism was associated with (1) apoptosis induction via downregulation of Bcl-2 and upregulation of Bax and (2) G2/M cell-cycle arrest via downregulation of cyclin-B1.9 Bioassay-guided isolation of A. tricolor leaves and stems uncovered three galactosyl diacylglycerols, (1) GD-A (2), (2) GD-B (3), and (3) GD-C (4). Their anticancer activity was observed in an in vitro model against the proliferation of human AGS (stomach), HCT-116 (colon), and MCF-7 (breast) carcinoma cell lines. The IC50 values were 49.1, 42.8, and 39.2 μg/mL for GD-A; 74.3, 71.3, and 58.7 μg/mL for GD-B; and 83.4, 73.1, and 85.4 μg/mL for GD-C, respectively. GD-A (2) was also moderately active in deterring the human SF-268 (CNS) and NCI-H460 (lung) cancer cells (IC50s of 71.8 and 62.5 μg/mL, respectively).10 In addition, owing to their potent suppressive activities on cyclooxygenases (COX)-1 and -2, the three galactosyl diacylglycerols showed good anti-inflammatory activity.10
2. Anticancer properties of amaranth s...
Table of contents
- Cover
- Half Title
- Title Page
- Copyright Page
- Table of Contents
- Preface
- Author
- Introduction
- Chapter 1 Cancer-Preventive Substances in Green Vegetables
- Chapter 2 Cancer-Preventive Substances in Fruit and Flower Vegetables
- Chapter 3 Cancer-Preventive Substances in Root Vegetables
- Chapter 4 Cancer-Preventive Substances in Grains and Beans
- Chapter 5 Cancer-Preventive Substances in Fruits
- Chapter 6 Cancer-Preventive Substances in Flavorings
- Chapter 7 Cancer-Preventive Substances in Beverages
- Chapter 8 Cancer-Preventive Substances in Mushrooms
- Chapter 9 Cancer-Preventive Substances in Seaweeds
- Chapter 10 Cancer-Preventive Substances in Microalgae
- Chapter 11 Cancer-Preventive Substances in Animal-Based Foods
- Index of Latin Names for Functional Comestibles
- Index of English Names for Functional Comestibles
- Index of Acronyms