The mental representations of perceptual and cognitive stimuli vary on many dimensions. In addition, because of quantal fluctuations in the stimulus, spontaneous neural activity, and fluctuations in arousal and attentiveness, mental events are characterized by an inherent variability. During the last several years, a number of models and theories have been developed that explicitly assume the appropriate mental representation is both multidimensional and probabilistic. This new approach has the potential to revolutionize the study of perception and cognition in the same way that signal detection theory revolutionized the study of psychophysics. This unique volume is the first to critically survey this important new area of research.

- 544 pages
- English
- ePUB (mobile friendly)
- Available on iOS & Android
eBook - ePub
Multidimensional Models of Perception and Cognition
About this book
Trusted by 375,005 students
Access to over 1.5 million titles for a fair monthly price.
Study more efficiently using our study tools.
Information
Topic
EducationSubtopic
Teaching Mathematics1 Multivariate Probability Distributions
University of California at Santa Barbara
Many of the models discussed in this book are based on the assumption that the perceptual effect of a stimulus is random over trials, although on any single trial is has a specified fixed value. This assumption, which can be traced back to Fechner (1860, 1966), was fully exploited in signal detection theory (e.g., Green & Swets, 1974) where the focus was on unidimensional perceptual representations. The models in this book focus on multidimensional representations. Although the mathematical basis of these models is probability theory, the generalization from univariate to multivariate probability distributions involves several complications. This first chapter reviews many of the important results of multivariate probability theory upon which the later chapters depend.
We assume that most readers will have some familiarity with univariate probability theory and with the basics of matrix algebra. The first section in this chapter is a very brief survey of univariate probability theory, and those readers unfamiliar with this material might wish to supplement it with readings from an outside source, such as Parzen (1960). This chapter does not contain a review of the basics of matrix algebra, so those readers unfamiliar with basic matrix operations such as addition, multiplication, transposition, and inversion should consult any introductory matrix algebra text (often called linear algebra; e.g., Noble & Daniel, 1977).
Readers familiar with multivariate probability theory might still wish to skim this chapter. Several sections are included that contain some useful but little known results. These include techniques for generating random samples from multivariate normal distributions, for quickly performing certain numerical integrations, and for computing the predicted accuracy of the ideal observer in multidimensional categorization and identification experiments.
UNIVARIATE PROBABILITY THEORY
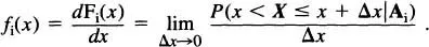
When there is only one stimulus dimension, many of the models in this book become equivalent to signal detection theory (e.g., Green & Swets, 1974). As an example of a signal detection application, consider a two-alternative forced-choice task in which the stimulus ensemble contains two stimuli differing only in intensity. Call the two intensities A1 and A2, and denote the perceived intensity, when a single stimulus is presented, by X. The fundamental assumption of signal detection theory is that X is a random variable.
One way to characterize the subject’s perceptual experience is to determine the probability that the perceived intensity falls in certain intervals. To aid these calculations, we use certain standard mathematical functions. The cumulative probability distribution function Fi(x) gives the probability that the perceived intensity is less than or equal to a specified value x on trials when the intensity is Ai. Formally,

The cumulative distribution function increases monotonically from 0 to 1.0 as x increases. The second standard function, known as the probability density function, is defined as the derivative of Fi(x). Specifically,

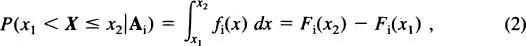
Whereas values of the cumulative distribution function are themselves probabilities, values of the density function are called likelihoods, and are not probabilities. Given the density function, probabilities can be found by integration. For example,

and so probabilities are areas under the probability density function. From Equation 2 it is clear that

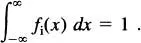
To see that fi(x) is not a probability, note that even if fi(x) > 0 for some value of x, if fi(x) is continuous then it is always true that

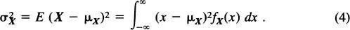
Given the probability density function of a random variable X, the mean of X, denoted μx, is defined as the expected value of X, E (X), and can be computed via

The variance of X is defined as its expected squared deviation from the mean:

In general, suppose Y = h(X) is any function of the random variable X and that we are interested in the expected value of Y. Equation 3 indicates that this requires knowledge of the ...
Table of contents
- Cover
- Half Title
- Title Page
- Copyright Page
- Table of Contents
- PREFACE
- 1 MULTIVARIATE PROBABILITY DISTRIBUTIONS
- PART I: SIMILARITY, PREFERENCE, AND CHOICE
- PART II: INTERACTIONS BETWEEN PERCEPTUAL DIMENSIONS
- PART III: DETECTION, IDENTIFICATION, AND CATEGORIZATION
- References
- Author Index
- Subject Index
Frequently asked questions
Yes, you can cancel anytime from the Subscription tab in your account settings on the Perlego website. Your subscription will stay active until the end of your current billing period. Learn how to cancel your subscription
No, books cannot be downloaded as external files, such as PDFs, for use outside of Perlego. However, you can download books within the Perlego app for offline reading on mobile or tablet. Learn how to download books offline
Perlego offers two plans: Essential and Complete
- Essential is ideal for learners and professionals who enjoy exploring a wide range of subjects. Access the Essential Library with 800,000+ trusted titles and best-sellers across business, personal growth, and the humanities. Includes unlimited reading time and Standard Read Aloud voice.
- Complete: Perfect for advanced learners and researchers needing full, unrestricted access. Unlock 1.5M+ books across hundreds of subjects, including academic and specialized titles. The Complete Plan also includes advanced features like Premium Read Aloud and Research Assistant.
We are an online textbook subscription service, where you can get access to an entire online library for less than the price of a single book per month. With over 1.5 million books across 990+ topics, we’ve got you covered! Learn about our mission
Look out for the read-aloud symbol on your next book to see if you can listen to it. The read-aloud tool reads text aloud for you, highlighting the text as it is being read. You can pause it, speed it up and slow it down. Learn more about Read Aloud
Yes! You can use the Perlego app on both iOS and Android devices to read anytime, anywhere — even offline. Perfect for commutes or when you’re on the go.
Please note we cannot support devices running on iOS 13 and Android 7 or earlier. Learn more about using the app
Please note we cannot support devices running on iOS 13 and Android 7 or earlier. Learn more about using the app
Yes, you can access Multidimensional Models of Perception and Cognition by F. Gregory Ashby in PDF and/or ePUB format, as well as other popular books in Education & Teaching Mathematics. We have over 1.5 million books available in our catalogue for you to explore.