
eBook - ePub
Compensation and Organizational Performance
Theory, Research, and Practice
- 384 pages
- English
- ePUB (mobile friendly)
- Available on iOS & Android
eBook - ePub
Compensation and Organizational Performance
Theory, Research, and Practice
About this book
This up-to-date, research-oriented textbook focuses on the relationship between compensation systems and firm overall performance. In contrast to more traditional compensation texts, it provides a strategic perspective to compensation administration rather than a functional viewpoint. The text emphasizes the role of managerial pay, its importance, determinants, and impact on organizations. It analyzes recent topics in executive compensation, such as pay in high technology firms, managerial risk taking, rewards in family companies, and the link between compensation and social responsibility and ethical issues, among others. The authors provide a thorough and comprehensive review of the vast literatures relevant to compensation and revisit debates grounded in different theoretical perspectives. They provide insights from disciplines as diverse as management, economics, sociology, and psychology, and amplify previous discussions with the latest empirical findings on compensation, its dynamics, and its contribution to firm overall performance.
Trusted byĀ 375,005 students
Access to over 1.5 million titles for a fair monthly price.
Study more efficiently using our study tools.
Information
1 COMPENSATION AS AN EVOLVING FIELD
Past, Present, and Future
In their 1992 book entitled Compensation, Organizational Strategy, and Firm Performance Gomez-Mejia and Balkin lamented that āno other HRM [Human Resource Management] subfunction has been as guilty of a myopic focus as compensation, with its well-known predilection for tools and techniquesā (p. 5). Almost 20 years later we find that there has been an enormous amount of theoretical and empirical work done on compensation issues, much of it appearing in mainstream academic journals. We believe that there are several reasons for the growth of this body of knowledge, which is critically reviewed in this book. These reasons are as follows:
1. Compensationās central variable of interestāmoneyārepresents the most generalized medium of exchange known to humankind. This means it is an integral part of practically all transactions occurring within and across organizational boundaries.
2. Money is the quintessence of all business language, and top decision makers readily understand its significance. For example, designing staffing and training programs to select and develop employees to fit strategy may be appealing to personnel specialists but of little concern to upper management.
3. Compensation dollars have a direct impact (and in most firms the most important one) on the cost side of all financial statements. Not only does this make compensation a very crucial tangible resource to management, but the way in which it is allocated becomes a de facto component of the firm performance calculus. While procedures have been developed in HRM (e.g., human resource accounting, utility analysis) to estimate the cost-benefit sensitivity of intangible factors, such as improving employee attitudes, honing employee skills through training programs, increasing the validity of selection methods and appraisal programs, and so on, most managers without an HRM background know little about and are less easily convinced by such data. Many practitioners and academics believe mathematical estimates of the value of HRM programs are abstruse and a bit confabulated. But when it comes to the expense side of the balance sheet, few doubt the importance of compensation in terms of its impact on the bottom line.
4. Of all the variables typically associated within the HRM field, compensation can be most easily manipulated and directly controlled by management. Thus, it has a great deal of inherent strategic flexibility. For example, it is much simpler (although by no means easy) to change the pay mix or pay system design than it is to replace employees and stay attuned to changing environmental conditions and strategic objectives. Variables such as employee characteristics, skills levels, and attitudes are difficult to mold in order to meet varying organizational contingenciesāat least in the short term. The organization also faces significant ethical and legal constraints in trying to manipulate most other HRM subsystems to match its business strategies.
5. Unlike most HRM variables, compensation links directly to the conceptual frameworks of other mainline business fields (such as finance and accounting). In fact, most of this work has been done by scholars who do not identify themselves as part of the HRM field. Thus, one is able to draw upon a wealth of theoretical work and empirical research from various disciplines. Building on this literature, one can develop models and make predictions about the relationship between compensation strategies and firm performance.
6. The link between incentive systems and decision making has been well established in recent years. That is, an enormous amount of evidence in the academic press as well as the business press shows how CEOs, managers, and employees mold their decisions in an attempt to meet the implicit or explicit criteria of success as defined by the incentive system. Unfortunately, much of this evidence uncovers the ethical problems and gaming that improperly designed reward programs might trigger. From the now āclassicalā cases of Enron, WorldCom, and Arthur Andersen to the more recent cases involving Wall Street, one usually finds that so-called perverse incentives (for instance, managerial bonuses linked to revenue growth or billable hours for external auditors and consultants) have been a major force in these debacles, not only for specific organizations but also for the global economy (some vivid examples may be found in Parloff, 2009; Loomis, 2009a,b; Burrows, 2009; and Goldstein, 2009). This means that incentive systems are a double-edged sword: they can help the organization achieve its strategic objectives or they can channel peopleās efforts in the wrong direction, perhaps into an abyss.
This chapter provides a context for the rest of the book. First, the traditional, conceptual roots of the compensation field and administrative procedures developed to operationalize them are briefly examined. This discussion provides a frame of reference for better understanding alternative approaches to the strategic study of compensation, which is the central focus of this volume.
Origins in Industrial/Organizational Psychology
The traditional underpinnings of compensation as an academic subfield are found in both social psychology (motivation theories) and labor economics (labor markets). Scientific management has also played a role in their development. Because the traditional foundations of the field are covered at length in most textbooks (e.g., Martocchio, 2009; Milkovich and Newman, 2009; see also Berger and Berger, 2008), we address only the most important points.
Equity Theory
The centrality of equity in compensation is reflected in the following statement by Wallace and Fay (1983, p. 69): āThe critical theme that exists at the center of all compensation theory and practice is equity.ā Indeed, a great deal of academic and practitioner literature in compensation has focused on this construct under the general rubric of equity theory. Its underpinnings consist of exchange theory (Gouldner, 1960) and cognitive dissonance theory (Festinger, 1957), which originated in social psychology.
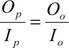
According to the equity paradigm, each employee in an organization exchanges a set of inputs or contributions (e.g., education, effort, long-term commitment) for a set of outcomes or inducements (e.g., pay, promotion, prestige). This exchange process takes place within a social setting, not in isolation. Individuals are constantly comparing their inputs relative to their outcomes vis-Ć -vis other employees (called referent others) inside and outside the firm. In what is perhaps the best-known version of equity theory, Adams (1965) argues that ādistributive justiceā is achieved when the proportionate relation between contributions and inducements is equal for all employees. Thus, distributive justice as perceived by all parties defines equity according to the following ratio:

| Where | Op= Employment outcomes of a given individual |
| Ip = Inputs of a given individual | |
| O0 = Employment outcomes received by referent others | |
| I0 = Inputs offered by āreferent otherā |
The word perceived is crucial to most equity theorists. Employees do not assess the inducement contribution ratio in a rational, calculated manner but rather through a subjective determination of how the individualās ratio fares against those of other people chosen for comparison. In common parlance, equity theory holds that ātruth is in the eyes of the beholder.ā If an imbalance is perceived, the employee will experience ācognitive dissonanceā and try to correct this imbalance in a number of ways, such as reducing inputs (e.g., not taking work home), attempting to increase outcomes by voicing complaints to the supervisor, or joining in concerted action with other disgruntled employees to extract concessions from management. As an ultimate recourse, the individual is likely to leave the firm.
As argued by Milkovich and Newman (2009), money is one of the most visible components in employment exchange and, hence, it is an extremely important Op and O0 to most people. Because individuals are likely to compare their pay/contribution ratio with other employees in the organization, as well as with employees in other firms, the key task of the compensation system from an equity perspective is to ensure that distributive justice is accomplished vis-Ć -vis the referent or relevant other. If wage rates for jobs within the company are set so that employees perceive a fair input/outcome balance relative to referents within the organization (internal equity) as well as a market referent (external equity), then equity is achieved. The importance of external equity is given added impetus in the work of Jaques (1961), who suggests the relevant standard in determining equity is intrinsic to the individual. This individual sense of equity depends on the employeeās past wage experiences, which are used to judge appropriate levels of current pay. This means the compensation system must be perceived as equitable relative to pay standards of other firms (Jaques, 1979).
Achieving internal and external equity becomes paramount in the traditional compensation systems because it affects two critical employee behaviors: the individualās decisions to join and stay with the organization (Griffith, 2008; Schweyer, 2008). In addition, as noted by York and Brown (2008), companies have a fiduciary duty to spend money responsibly. This involves estimating the value or contribution of different jobs to the organization and the compensation made by similar companies for similar jobs.
In short, equity theory is concerned with notions of fairness and deservedness, which depend on a social comparison process inside and outside the firm. From a traditional perspective and to the extent that equity can be achieved by matching rewards to perceived contributions for each employee in relationship to referent others, the pay system accomplishes its primary mission. These notions are reinforced by the neoclassical labor market models.
Neoclassical Labor Market Theory
The second underpinning of traditional compensation theory and practice is found in neoclassical labor economics. The dependent variables in these models are the wage rate and employment level that are determined through the interaction of supply and demand for labor. As every undergraduate student taking an introductory economics course knows, ceteris paribus (e.g., perfect information and mobility), the wage rate of a given occupation is set at a point where the labor supply and labor demand curves cross. From this perspective, external equity is achieved if a firm pays the āgoing rateā in the marketplace for each job. These rates in turn reflect the relative strengths of supply and demand for different types of labor. With other things equal, the less employers are willing to pay (i.e., low demand) and the less pay workers are willing to accept (i.e., high supply) for a given job, the lower the wage rate will be.
Labor demand is derived from the market demand for a product or service, which slopes downward. The lower the price of a product is, the more units will be sold. To the extent that demand shifts to the right, consumers are willing to purchase more units at any given price. This causes a shift to the right of the labor demand curve. When this happens, employers are willing to pay more for any given number of employees hired. Labor demand is also a function of the marginal product of labor. Labor competes with other factors of production, such as capital, and will be utilized up to the point where labor can be substituted for other production factors (i.e., capital) more efficiently. The supply of labor, on the other hand, is said to depend on the availability of skills required to perform the job, training costs, and task desirability (Borjas, 2008).
Labor demand is aggregated across all employers, and labor supply is aggregated across millions of workers. Thus, the firm is depicted as a āprice takerā that cannot influence market wages and must pay the prevailing rate in order to attract and retain employees (Borjas, 2008; Bronfenbrenner, 1956; Cartter, 1959; Ehrenberg and Smith, 1988). (However, this would not be true in the case of a monopsonistic company that is the sole employer in an area.)
The neoclassical economic model has two main implications for compensation practice and research. First, to attract and retain a qualified workforce, the firm must identify what the prevailing wage is for each of its jobs (Ingster, 2008; Rosen, 2008). Second, and related to the first point, the āgoing rateā in the labor market becomes the key factor for ascertaining job value or worth and, hence, external equity is defined as the extent to which the firmās pay rate for a given job matches the prevailing rate for that job in the external labor market (Fitzpatrick and McMullen, 2008).
Of course, compensation scholars have always realized the labor market is not perfect. Poor information, variations among workers in what they seek in a job (e.g., compatible coworkers versus a larger paycheck, willingness to accept risks versus more job security), transaction costs in changing jobs (e.g., loss of pension benefits, moving expenses), dual-career problems, discrimination and so on affect employment decisions. But even if one were to relax the stringent assumptions of perfect competition, a firm cannot stray too far from the competitive wage (Borjas, 2008). If it does, the firm soon finds itself unable to hire workers or compete effectively in the product market, because its labor costs are too high.
Practitioner Roots
The equity paradigm from social psychology and the labor market model from economics have had a profound effect on the field of compensation. In fact, all compensation textbooks rely on these models to justify in part the widespread use of job evaluation and salary surveys (to be discussed later). Whether these compensation practices, emerging through years of experimentation and in response to administrative demands, led academics to search for theories to justify them or whether the conceptual apparatus led to the development of operational systems to implement them is not clear. Most likely, it is an interaction of these two forces: Administrative procedures are developed to rationalize pay structures and the equity/labor market models offer a conce...
Table of contents
- Cover
- Half Title
- Title Page
- Copyright Page
- Table of Contents
- Preface
- 1. Compensation as an Evolving Field: Past, Present, and Future
- 2. Repertoire of strategic Pay Choices
- 3. Pay Choices and organizational strategies as an Interrelated Set of Decisions
- 4. Executive Compensation: Theoretical Foundations
- 5. Determinants and Consequences of Executive Pay
- 6. Policy Choices, strategic Design of Executive Compensation Programs, and Implementation
- 7. Risk and Executive Pay
- 8. Corporate social Performance: An Alternative Criteria for the Design of Executive Compensation Programs
- 9. Measuring Performance at Different Levels of the Organization
- 10. Managing Pay-for-Performance-systems
- References
- Index
- About the Authors
Frequently asked questions
Yes, you can cancel anytime from the Subscription tab in your account settings on the Perlego website. Your subscription will stay active until the end of your current billing period. Learn how to cancel your subscription
No, books cannot be downloaded as external files, such as PDFs, for use outside of Perlego. However, you can download books within the Perlego app for offline reading on mobile or tablet. Learn how to download books offline
Perlego offers two plans: Essential and Complete
- Essential is ideal for learners and professionals who enjoy exploring a wide range of subjects. Access the Essential Library with 800,000+ trusted titles and best-sellers across business, personal growth, and the humanities. Includes unlimited reading time and Standard Read Aloud voice.
- Complete: Perfect for advanced learners and researchers needing full, unrestricted access. Unlock 1.5M+ books across hundreds of subjects, including academic and specialized titles. The Complete Plan also includes advanced features like Premium Read Aloud and Research Assistant.
We are an online textbook subscription service, where you can get access to an entire online library for less than the price of a single book per month. With over 1.5 million books across 990+ topics, weāve got you covered! Learn about our mission
Look out for the read-aloud symbol on your next book to see if you can listen to it. The read-aloud tool reads text aloud for you, highlighting the text as it is being read. You can pause it, speed it up and slow it down. Learn more about Read Aloud
Yes! You can use the Perlego app on both iOS and Android devices to read anytime, anywhere ā even offline. Perfect for commutes or when youāre on the go.
Please note we cannot support devices running on iOS 13 and Android 7 or earlier. Learn more about using the app
Please note we cannot support devices running on iOS 13 and Android 7 or earlier. Learn more about using the app
Yes, you can access Compensation and Organizational Performance by Luis R. Gomez-Mejia,Pascual Berrone,Monica Franco-Santos in PDF and/or ePUB format, as well as other popular books in Business & Business General. We have over 1.5 million books available in our catalogue for you to explore.