
- 302 pages
- English
- ePUB (mobile friendly)
- Available on iOS & Android
eBook - ePub
Airline Operations and Scheduling
About this book
Operations research techniques are extremely important tools for planning airline operations. However, much of the technical literature on airline optimization models is highly specialized and accessible only to a limited audience. Allied to this there is a concern among the operations research community that the materials offered in OR courses at MBA or senior undergraduate business level are too abstract, outdated, and at times irrelevant to today's fast and dynamic airline industry. This book demystifies the operations and scheduling environment, presenting simplified and easy-to-understand models, applied to straightforward and practical examples. After introducing the key issues confronting operations and scheduling within airlines, Airline Operations and Scheduling goes on to provide an objective review of the various optimization models adopted in practice. Each model provides airlines with efficient solutions to a range of scenarios, and is accompanied by case studies similar to those experienced by commercial airlines. Using unique source material and combining interviews with alumni working at operations and scheduling departments of various airlines, this solution-orientated approach has been used on many courses with outstanding feedback. As well as having been comprehensively updated, this second edition of Airline Operations and Scheduling adds new chapters on fuel management systems, baggage handling, aircraft maintenance planning and aircraft boarding strategies. The readership includes graduate and undergraduate business, management, transportation, and engineering students; airlines training and acquainting new recruits with operations planning and scheduling processes; general aviation, flight school, International Air Transport Association (IATA), and International Civil Aviation Organization (ICAO) training course instructors; executive jet, chartered flight, air-cargo and package delivery companies, and airline consultants.
Trusted by 375,005 students
Access to over 1 million titles for a fair monthly price.
Study more efficiently using our study tools.
Information
Chapter 1
Introduction
Introduction
The United States Airline Deregulation Act of 1978 paved the way for major structural changes in the US airline industry. Airlines were allowed to select their network as well as their fares. This prompted a rush of new startup airlines to the market. After deregulation, the competition was not only between the pre-deregulation airlines, but also from the new entrants. Airlines were no longer protected, and if they wanted to be profitable, they had to manage their operations more efficiently.
Airlines use numerous resources to provide transportation services for their passengers. It is the planning and efficient management of these resources that determines the survival or demise of an airline. The airline industry is an excellent example of the ‘survival of the fittest concept.’ Table 1.1 shows the number of certificated airlines from 1976–2007 in the United States. The table also presents the number of airlines that were closed or merged with other airlines, and the number of newly established airlines. As the table implies, the airline industry operates in a very dynamic and uncertain environment. Furthermore, low flexibility to respond to changes, tightly coupled resources and limiting FAA regulations make the airline industry a complex environment (Yu 1998). To handle the complexity, robust and efficient planning tools and techniques are required. Operations research tools and techniques have played an important role in handling such complexities.
Operations Research and Airlines
Airlines have been using operations research techniques since the 1950s (Barnhart and Talluri 1997). Operations research models have had a tremendous impact on planning and managing operations within the airlines. The advances in computer technology and optimization models have enabled airlines to tackle more complex problems and solve them in a much shorter span of time. The vast contribution of these models has led to the establishment of operations research departments in many airlines, which help save millions of dollars. These departments have helped create an important professional society within the field of operations research, the Airline Group of the International Federation of Operational Research Societies (AGIFORS). AGIFORS is a professional society that seeks to advance, promote, and apply operations research within the airline industry (see www.agifors.org). A brief look at their website shows that Operations Research techniques have been successfully applied to many diverse problems such as revenue management, crew scheduling, aircraft routing, fleet planning, maintenance, and so on, within the airline industry. Barnhart (2008) discusses the accomplishment, opportunities and challenges of Operations Research in airline scheduling.
Table 1.1 Number of US certificated (DOT) airlines in the years 1976–2007


Outline of this Book
This book explores a variety of optimization models adopted by the airlines for scheduling and planning. The chapters discussing these models start with an example and then explain the process of developing a mathematical model. At the end of the chapter the general mathematical model is presented. The contents of this book are divided into three parts as follows:
Part 1 – Planning Optimization
• Chapter 2 – Network Flows and Integer Programming Models: This chapter is intended as a review of the basic concepts in network flows and integer programming models. These models are adopted later on in the following chapters.
• Chapter 3 – Flight Scheduling: Construction of flight schedules is the starting point for all other airline optimization problems. This chapter discusses the construction of flight schedules for a fictitious airline. This schedule is then used in the following chapters to address fleet assignment, aircraft routing, crew scheduling, and manpower planning.
• Chapter 4 – Fleet Assignment: Airlines typically operate a number of different aircraft, each having different characteristics, seating capacity, landing weights, and crew and fuel costs. This chapter introduces the basic fleet assignment model and its application to the fictitious airline.
• Chapter 5 – Aircraft Routing: This chapter presents the process of assigning individual aircraft to fly each flight segment assigned to the fleet. The chapter discusses mathematical models and their applications to the fictitious airline.
• Chapter 6 – Crew Scheduling: This chapter discusses the process of assigning crew to flight segments in two phases. First, crew pairing is introduced to determine which flight segments should be paired. The second phase, crew rostering, discusses how these pairings are assigned to the crew incorporating various rules and regulations.
• Chapter 7 – Manpower Planning: This chapter discusses manpower planning for ground crew through the fictitious airline case.
Part 2 – Operations and Dispatch Optimization
• Chapter 8 – Revenue Management: This chapter introduces revenue management, probabilistic models, and case studies.
• Chapter 9 – Fuel Management Systems: This chapter introduces jet fuel cost, hedging strategies, case study, and a mathematical model for fuel tankering.
• Chapter 10 – Airline Irregular Operations: When faced with a lack of resources and/or disruptions caused by various internal and external factors, airlines often are not able to fly their published flight schedule. This chapter provides an introduction to irregular operations, delays, cancellations, a mathematical model for irregular operations, and a case study.
• Chapter 11 – Gate Assignment: This chapter introduces the gate assignment mathematical model through a case study.
• Chapter 12 – Aircraft Boarding Strategy: This chapter explores various aircraft boarding strategies adopted by the airlines. It introduces a mathematical approach for an efficient aircraft boarding strategy applied to an Airbus A-320.
Part 3 – Computation Complexity and Simulation
• Chapter 13 – Computational Complexity, Heuristics, and Software: This chapter discusses inherent computational complexity with the airline problems and how heuristics are implanted to solve large scale problems. It also highlights some of the software vendors who provide solution suites for different airline problems.
• Chapters 14–18: These chapters introduce case studies on a start-up airline, and simulation modeling for airlines and airports. Simulation studies have become an alternative and/or integrated part of mathematical models when faced with complex problems.
• Appendix: provides the full name of the airports presented as their three/four letter codes in this book.
Software
Throughout this book references are made to software for solving linear/integer program models. Many of these models can be solved using student/trial versions of optimization software, which are typically available at colleges, universities, and airlines. There are many software vendors who provide these student/trial versions free to download on their websites (see, for example, www.lindo.com or www.maximal-usa.com). For larger problems, which exceed the student/trial version limits, we used full version of MPL software (www.maximal-usa.com) with CPLEX solver (www.ilog.com).
References
Barnhart, C. and Talluri, K.T. (1997). Airline operations research in design and operation of civil and environmental engineering system, in C. Revelle and A. McGarity. Wiley, 435–69.
Barnhart, C. (ed.). (2008). Proceedings from CPAIOR ‘08: Integration of AI and OR Techniques in Constraint Programming for Combinatorial Optimization Problems – 5th International Conference.
Yu, G. (1998). Operations Research in the Airline Industry. Kluwer Academic Publishers.
Planning Optimization
Chapter 2
Network Flows and Integer Programming Models
Introduction
A large part of the problems that airlines face can be translated into network and integer programming models. These models are mentioned and used throughout this book. This chapter attempts to provide a review of some of the optimization models discussed in this book. It should be noted that these topics only represent a small selection of models from the vast area of network and integer programming techniques. For a complete discussion of various network models, interested readers are referred to the list of books referenced in this chapter.
Networks
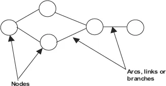
A network (also referred to as a graph) is defined as a collection of points and lines joining these points. There is normally some flow along these lines, going from one point to another. Figure 2.1 represents a network.

Figure 2.1 Basic elements of a network
Network Terminology
Before explaining the models, some terminologies commonly used in network study are described.
Nodes and Arcs: In a network, the points (circles) are called nodes and the lines are referred to as arcs, links or arrows (see Figure 2.1).
Flow: The amount of goods, vehicles, flights, passengers and so on that move from one node to another (see Figure 2.2).

Figure 2.2 Flow between two nodes
Directed Arc: If the flow through an arc is allowed only in one direction, then the arc is said to be a directed arc. Directed arcs are graphically represented with arrows in the direction of the flow (see Figure 2.3).

Figure 2.3 Directed flow
Undirected Arc: When the flow on an arc (between two nodes) can move in either direction, it is called an undirected arc. Undirected arcs are graphically represented by a single line (without arrows) connecting the two nodes (see Figure 2.4).

Figure 2.4 Undirected flow
Arc Capacity: The maximum amount of flow that can be sent through an arc. Examples include restrictions on the...
Table of contents
- Cover Page
- Dedication
- Title Page
- Copyright Page
- Contents
- List of Figures
- List of Tables
- Preface to Second Edition
- 1 Introduction
- PART I PLANNING OPTIMIZATION
- PART II OPERATIONS AND DISPATCH OPTIMIZATION
- PART III COMPUTATIONAL COMPLEXITIES AND SIMULATION
- Index
Frequently asked questions
Yes, you can cancel anytime from the Subscription tab in your account settings on the Perlego website. Your subscription will stay active until the end of your current billing period. Learn how to cancel your subscription
No, books cannot be downloaded as external files, such as PDFs, for use outside of Perlego. However, you can download books within the Perlego app for offline reading on mobile or tablet. Learn how to download books offline
Perlego offers two plans: Essential and Complete
- Essential is ideal for learners and professionals who enjoy exploring a wide range of subjects. Access the Essential Library with 800,000+ trusted titles and best-sellers across business, personal growth, and the humanities. Includes unlimited reading time and Standard Read Aloud voice.
- Complete: Perfect for advanced learners and researchers needing full, unrestricted access. Unlock 1.4M+ books across hundreds of subjects, including academic and specialized titles. The Complete Plan also includes advanced features like Premium Read Aloud and Research Assistant.
We are an online textbook subscription service, where you can get access to an entire online library for less than the price of a single book per month. With over 1 million books across 990+ topics, we’ve got you covered! Learn about our mission
Look out for the read-aloud symbol on your next book to see if you can listen to it. The read-aloud tool reads text aloud for you, highlighting the text as it is being read. You can pause it, speed it up and slow it down. Learn more about Read Aloud
Yes! You can use the Perlego app on both iOS and Android devices to read anytime, anywhere — even offline. Perfect for commutes or when you’re on the go.
Please note we cannot support devices running on iOS 13 and Android 7 or earlier. Learn more about using the app
Please note we cannot support devices running on iOS 13 and Android 7 or earlier. Learn more about using the app
Yes, you can access Airline Operations and Scheduling by Massoud Bazargan in PDF and/or ePUB format, as well as other popular books in Technology & Engineering & Business General. We have over one million books available in our catalogue for you to explore.