Principles and Applications of Stereochemistry
eBook - ePub

Principles and Applications of Stereochemistry

  1. 262 pages
  2. English
  3. ePUB (mobile friendly)
  4. Available on iOS & Android
eBook - ePub

Principles and Applications of Stereochemistry

About this book

A thorough understanding of stereochemistry is essential for the comprehension of almost all aspects of modern organic chemistry. It is also of great significance in many biochemical and medicinal disciplines, since the stereoisomers of a compound can have dramatically different biological properties. This text explains how the different properties of stereoisomers of a compound arise, and what processes can be used to prepare and analyze stereoisomerically pure compounds. It also presents prominent coverage of the stereochemistry of inorganic and organometallic compounds, which is likely to increase in importance, as these compounds are used as symmetric catalysts in asymmetric synthesis. Modern stereochemical terminology is used throughout, although reference is also made to older terms which are still widely used. A set of problems at the end of each chapter aims to further the reader's understanding of how the content can be applied. The book is designed mainly as a textbook for undergraduate students and as a reference source for more advanced levels, but is also intended for academic and professional organic chemists.

Trusted by 375,005 students

Access to over 1.5 million titles for a fair monthly price.

Study more efficiently using our study tools.

Information

Publisher
CRC Press
Year
2017
eBook ISBN
9781351422055
1
Molecular structure and bonding
1.1 Isomerism
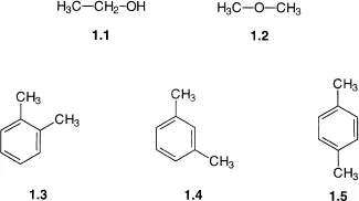
Isomers are different compounds that share the same molecular formula. Common examples include ethanol 1.1 and dimethyl ether 1.2, both of which have the molecular formula C2H6O; and 1,2-dimethylbenzene 1.3, 1,3-dimethylbenzene 1.4, and 1,4-dimethylbenzene 1.5, all of which share the molecular formula C8H10. In both of these cases, the connectivity of the atoms is different, i.e. in compound 1.1 the order in which the carbon and oxygen atoms are bonded is C–C–O, whilst in 1.2 the order is C–O–C. Because they differ in the connectivity of their atoms, compounds 1.1 and 1.2 are said to be constitutional isomers (also sometimes called structural isomers), as are compounds 1.31.5.
Image
Constitutional isomers have different chemical and physical properties. This is markedly apparent in the case of isomers 1.1 and 1.2, since ethanol is a liquid at room temperature and undergoes all the chemical reactions that would be expected for a primary alcohol (dehydration to an alkene, oxidation to an aldehyde or acid etc.). Dimethyl ether 1.2 on the other hand is a gas at room temperature and is unaffected by the reaction conditions and reagents used to dehydrate or oxidize ethanol. This difference in reactivity is to be expected since the two compounds contain different functional groups.
Isomers 1.31.5 are more closely related since they contain the same functional groups (two methyl groups attached to a benzene ring), and differ only in the relative positions of these functional groups. Such isomers are often called positional isomers, but note that positional isomerism is a subclass of constitutional isomerism. Once again the three isomers have different physical properties, for example the boiling points are 144°C, 139°C and 138°C for 1.3, 1.4 and 1.5 respectively. In general, these three isomers will undergo the same types of chemical reaction (benzylic oxidation for example), but will do so at different rates, again illustrating their different chemical properties.
Image
There is, however, another type of isomerism, one in which all of the atoms in the two isomers do have the same connectivity. A familiar example is found in 1,2-disubstituted alkenes such as compounds 1.6 and 1.7. In both of these isomeric compounds, the order in which the carbon atoms are joined together is C𝟙–C𝟚=C𝟛–C𝟜 and the only difference between them is that in isomer 1.6 the two methyl groups are on the same side of the double bond, whilst in isomer 1.7 the two methyl groups are on opposite sides of the double bond. Any pair of isomers which have the same connectivity of their atoms but which differ in the relative orientation of those atoms are called stereoisomers.
Stereoisomers are the topic of this book and the following chapters will investigate the different structural features which are responsible for stereoisomerism, and discuss the chemical, biological and physical consequences of the formation of stereoisomers. Both organic and inorganic compounds can exhibit stereoisomerism, and examples of each will be found throughout this book. Essentially, stereochemistry is concerned with the shapes of molecules, and the consequences of a molecule adopting a particular shape.
Later in this chapter, the way in which the shape of a molecule may be predicted using Valence Shell Electron Pair Repulsion Theory (VSEPR) will be introduced, and the nature of the bonding found in the most common chemical structures will be discussed. At the end of this chapter, the various classifications of stereoisomers will be introduced and these will be discussed in more detail throughout the remainder of this book. However, many of the structures seen later in this chapter are three dimensional, and before they are discussed it is necessary to understand the conventions used when representing three dimensional structures on a two dimensional piece of paper.
1.2 Drawing three dimensional chemical structures
Chemistry is dominated by two structures: the tetrahedron and the octahedron. A tetrahedral structure is found whenever a carbon atom is bound to four groups via four single bonds, whilst many transition metal complexes are octahedral. Since both of these structures are three dimensional they cannot easily be drawn on a two dimensional piece of paper. To overcome this problem, chemists have developed a number of conventions that will be introduced here.
The usual way of drawing tetrahedral and octahedral structures is as shown in structures 1.8 and 1.9 respectively. In structure 1.8, two of the bonds are drawn with normal (−) symbols, and represent bonds in the plane of the paper. The other two bonds, however, are drawn with a wedge (
Image
) and a hash (
Image
) respectively. The wedge represents a bond in the direction drawn, which is also coming out of the paper towards you, whilst the hash represents a bond in the direction drawn and going into the paper away from you. The same symbols are used in structure 1.9 to illustrate the orientation of the bonds in an octahedral structure.
Image
When used properly, this system of representing three dimensional structures with wedges and hashes provides a very simple and effective way of illustrating the structures of molecules. However, the correct use of the system requires some care. Structures 1.8 and 1.9 can be rotated to give a number of equivalent representations as shown in Figure 1.1a for a tetrahedral structure. It is very important, however, that a tetrahedral structure is drawn with the wedge and the hash on the same side of the structure, and that the bond angles are drawn to resemble the 109°@28' angles found in a perfect tetrahedron. A number of nonsense structures are shown in Figure 1.1c.
Image
Figure 1.1 Correct (a and b) and incorrect (c and d) representations of a tetrahedron.
Another point to note when drawing structures with wedges and hashes is that the wedge and the hash are meant to convey the perspective of the structure; that is the wide end of the wedge/hash should be towards the reader. This is usually not a problem for wedges, but hashes are often drawn the wrong way round or with no change in width as illustrated in Figure 1.1d. Such structures will not be used in this text but they are common in the chemical ...

Table of contents

  1. Cover
  2. Half Title
  3. Title Page
  4. Copyright Page
  5. Table of Contents
  6. Foreword
  7. Preface
  8. 1 Molecular structure and bonding
  9. 2 Cis-trans isomerism
  10. 3 Enantiomers
  11. 4 Compounds with two or more stereocentres
  12. 5 Interconversion and analysis of stereoisomers
  13. 6 Molecular symmetry
  14. 7 Topism and prostereogenicity
  15. 8 Conformations of acyclic and cyclic molecules
  16. 9 Stereochemistry of chemical reactions
  17. 10 Asymmetric synthesis
  18. Index

Frequently asked questions

Yes, you can cancel anytime from the Subscription tab in your account settings on the Perlego website. Your subscription will stay active until the end of your current billing period. Learn how to cancel your subscription
No, books cannot be downloaded as external files, such as PDFs, for use outside of Perlego. However, you can download books within the Perlego app for offline reading on mobile or tablet. Learn how to download books offline
Perlego offers two plans: Essential and Complete
  • Essential is ideal for learners and professionals who enjoy exploring a wide range of subjects. Access the Essential Library with 800,000+ trusted titles and best-sellers across business, personal growth, and the humanities. Includes unlimited reading time and Standard Read Aloud voice.
  • Complete: Perfect for advanced learners and researchers needing full, unrestricted access. Unlock 1.5M+ books across hundreds of subjects, including academic and specialized titles. The Complete Plan also includes advanced features like Premium Read Aloud and Research Assistant.
Both plans are available with monthly, semester, or annual billing cycles.
We are an online textbook subscription service, where you can get access to an entire online library for less than the price of a single book per month. With over 1.5 million books across 990+ topics, we’ve got you covered! Learn about our mission
Look out for the read-aloud symbol on your next book to see if you can listen to it. The read-aloud tool reads text aloud for you, highlighting the text as it is being read. You can pause it, speed it up and slow it down. Learn more about Read Aloud
Yes! You can use the Perlego app on both iOS and Android devices to read anytime, anywhere — even offline. Perfect for commutes or when you’re on the go.
Please note we cannot support devices running on iOS 13 and Android 7 or earlier. Learn more about using the app
Yes, you can access Principles and Applications of Stereochemistry by Michael North in PDF and/or ePUB format, as well as other popular books in Physical Sciences & Biochemistry in Medicine. We have over 1.5 million books available in our catalogue for you to explore.