
- 384 pages
- English
- ePUB (mobile friendly)
- Available on iOS & Android
eBook - ePub
Logic And Declarative Language
About this book
Logic has acquired a reputation for difficulty, perhaps because many of the approaches adopted have been more suitable for mathematicians than computer scientists. This book shows that the subject is not inherently difficult and that the connections between logic and declarative language are straightforward. Many exercises have been included in the hope that these will lead to a much greater confidence in manual proofs, therefore leading to a greater confidence in automated proofs.
Tools to learn more effectively

Saving Books

Keyword Search

Annotating Text

Listen to it instead
Information
Part One
Logic without equality

Chapter One
Propositional logic

1.1 Syntax of Propositional Logic
A formal system consists of a set of symbols called an alphabet and a set of rules describing the way in which these symbols may be joined together to form strings of symbols. Our initial formal system is built from the following alphabet:

Symbols p, q, r, s, … represent an infinite number of atomic statements in the alphabet and may be seen as the building blocks of propositions. Three rows of symbols then show logical connectives that bind these atomic elements together according to the following rules:
a. | Symbols ⊥, p, q, r, s, … are themselves propositions. |
b. | If A is a proposition then ¬A is also a proposition. |
c. | If A and B are both propositions then A ∧ B, A ∨ B, A → B, and A ↔ B are also propositions. |
d. | Strings of symbols not built up according to these rules are not propositions. |
Unlike the atomic statement symbols p, q, r, …, symbols A and B represent any proposition and are not themselves part of the formal system being described. Symbols of this kind are often called metasymbols. The rules above define the number of arguments that each logical connective requires to produce a correctly formed proposition, producing a form of valency called the arity. Statement symbols p, q, r, … and the connective ⊥ are themselves propositions and thus have an arity of zero. A zero-arity connective might at this point seem a little fraudulent, but later we shall see that it does have properties in common with the other connectives. Only one connective symbol is defined with an arity of one, limiting the form of propositions that might be constructed from this symbol and atomic statement symbols. Increasingly large propositions may be constructed by the repeated attachment of this connective to a simple atomic statement as follows:

or to the special connective ⊥, e.g. ¬⊥, ¬(¬(⊥)). All remaining connectives are defined to be of arity two, giving propositions of the form

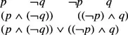
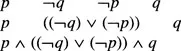
with simple or negated atomic statements. Such connectives may take arguments that are themselves formed from arity-two connectives, creating propositions such as

Parentheses are defined as part of the formal system to record the order in which a proposition is constructed from its atomic symbols. A proposition might be built from atomic statements p and q as follows:

but if the same starting propositions are combined in a different order, a different proposition is obtained:

In order to reduce the number of brackets used in formulas a precedence order for arity one and two connectives is defined as follows:

Connectives with the highest precedence bind most tightly to the objects that they connect. Thus ¬p ∧ q is understood to mean (¬p) ∧ q because a ¬ symbol has greater precedence than a ∧ symbol. Explicit bracketing would have to be included if the alternative proposition, ¬(p ∧ q), were intended. Similarly, proposition p ∧¬q ∨ ¬p ∧ q represents the first of the two examples constructed above and brackets would have to be retained to represent the second possibility. Symbol ∧ has a higher precedence than →, so the formula p ∧ q → r is assumed to represent (p ∧ q) → r, a formula in which connective ∧ is first applied to statements p and q then this proposition itself becomes an argument. The alternative proposition, p ∧(q → r) requires brackets to overide the precedence rule.
Sometimes the legal or allowed propositions are called well-formed propositions or well-formed formulas, but we shall simply call them propositions or formulas because we have no interest in constructions that are not well formed. An ill-formed formula such as p ∧ ∨ q looks odd, even to the inexperienced eye, so no great analysis is required to remove such problems. In fact, an algorithm that decides whether or not a given proposition is well formed may be written, and the proposition property is said to be decidable. All it requires is a procedure that breaks propositions into symbols and arguments according to the formation rules until only statement symbols or the constant ⊥ remain.
At this poin...
Table of contents
- Cover
- Half Title
- Title Page
- Copyright Page
- Table of Contents
- Preface
- Introduction
- Part One: Logic without equality
- Part Two: Logic with equality
- Bibliography
- Index
Frequently asked questions
Yes, you can cancel anytime from the Subscription tab in your account settings on the Perlego website. Your subscription will stay active until the end of your current billing period. Learn how to cancel your subscription
No, books cannot be downloaded as external files, such as PDFs, for use outside of Perlego. However, you can download books within the Perlego app for offline reading on mobile or tablet. Learn how to download books offline
Perlego offers two plans: Essential and Complete
- Essential is ideal for learners and professionals who enjoy exploring a wide range of subjects. Access the Essential Library with 800,000+ trusted titles and best-sellers across business, personal growth, and the humanities. Includes unlimited reading time and Standard Read Aloud voice.
- Complete: Perfect for advanced learners and researchers needing full, unrestricted access. Unlock 1.4M+ books across hundreds of subjects, including academic and specialized titles. The Complete Plan also includes advanced features like Premium Read Aloud and Research Assistant.
We are an online textbook subscription service, where you can get access to an entire online library for less than the price of a single book per month. With over 1 million books across 990+ topics, we’ve got you covered! Learn about our mission
Look out for the read-aloud symbol on your next book to see if you can listen to it. The read-aloud tool reads text aloud for you, highlighting the text as it is being read. You can pause it, speed it up and slow it down. Learn more about Read Aloud
Yes! You can use the Perlego app on both iOS and Android devices to read anytime, anywhere — even offline. Perfect for commutes or when you’re on the go.
Please note we cannot support devices running on iOS 13 and Android 7 or earlier. Learn more about using the app
Please note we cannot support devices running on iOS 13 and Android 7 or earlier. Learn more about using the app
Yes, you can access Logic And Declarative Language by M. Downward in PDF and/or ePUB format, as well as other popular books in Computer Science & Computer Science General. We have over one million books available in our catalogue for you to explore.