
- 512 pages
- English
- ePUB (mobile friendly)
- Available on iOS & Android
Newnes Electrical Pocket Book
About this book
Newnes Electrical Pocket Book is the ideal daily reference source for electrical engineers, electricians and students. First published in 1932 this classic has been fully updated in line with the latest technical developments, regulations and industry best practice. Providing both in-depth knowledge and a broad overview of the field this pocket book is an invaluable tool of the trade.A handy source of essential information and data on the practice and principles of electrical engineering and installation.The 23rd edition has been updated by engineering author and consultant electrical engineer, Martin Heathcote. Major revisions have been made to the sections on semiconductors, power generation, transformers, building automation systems, electric vehicles, electrical equipment for use in hazardous areas, and electrical installation (reflecting the changes introduced to the IEE Wiring Regulations BS7671: 2001).
Trusted by 375,005 students
Access to over 1 million titles for a fair monthly price.
Study more efficiently using our study tools.
Information

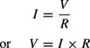
| Current – the ampere | (A) |
| Electromotive force – the volt | (V) |
| Resistance – the ohm | (Ω) |



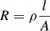
| Material | Resistivty Ohm metres | Conductivity Siemens per metre | ||
| Silver | 1.64 | × 10−8 | 6.10 | × 107 |
| Copper (annealed) | 1.72 | × 10−8 | 5.8 | × 107 |
| Gold | 2.4 | × 10−8 | 4.17 | × 107 |
| Aluminium (hard) | 2.82 | × 10−8 | 3.55 | × 107 |
| Tungsten | 5.0 | × 10−8 | 2.00 | × 107 |
| Zinc | 5.95 | × 10−8 | 1.68 | × 107 |
| Brass | 6.6 | × 10−8 | 1.52 | × 107 |
| Nickel | 6.9 | × 10−8 | 1.45 | × 107 |
| Platinum | 11.0 | × 10−8 | 9.09 | × 106 |
| Tin | 11.5 | × 10−8 | 8.70 | × 106 |
| Iron | 10.15 | × 10−8 | 9.85 | × 106 |
| Steel | 19.9 | × 10−8 | 5.03 | × 106 |
| German Silver | 16–40 | × 10−8 | 6.3–2.5 | × 106 |
| Platinoid | 34.4 | × 10−8 | 2.91 | × 106 |
| Manganin | 44.0 | × 10−8 | 2.27 | × 106 |
| Gas carbon | 0.005 | 200 | ||
| Silicon | 0.06 | 16.7 | ||
| Gutta-percha | 2 | × 107 | 5 | × 10−8 |
| Glass (soda-lime) | 5 | × 109 | 2 | × 10−10 |
| Ebonite | 2 | × 1013 | 5 | × 10−14 |
| Porcelain | 2 | × 1013 | 5 | × 10−14 |
| Sulphur | 4 | × 1013 | 2.5 | × 10−14 |
| Mica | 9 | × 1013 | 1.1 | × 10−14 |
| Paraffin-wax | 3 | × 1016 | 3.3 | × 10−17 |
Table of contents
- Front Cover
- Half Title
- Title Page
- Copyright
- Contents
- Preface
- Acknowledgements
- Introduction
- 1 Fundamentals And Theory
- 2 Properties Of Materialsm
- 3 Plastics And Rubber In Electrical Engineering
- 4 Semiconductors And Semiconductor Devices
- 5 Rectifiers And Converters
- 6 Computers And Programmable Controllers
- 7 Electricity Generation
- 8 Transmission And Distribution
- 9 Cables
- 10 Transformers And Tapchangers
- 11 Tariffs And Power Factor
- 12 Requirements For Electrical Installations (BS 7671)
- 13 Lighting
- 14 Motors And Control Gear
- 15 Switchgear And Protection
- 16 Heating And Refrigeration
- 17 Building Automation Systems
- 18 Instruments And Meters
- 19 Electric Welding
- 20 Battery Electric Vehicles
- 21 Battery Systems
- 22 Cable Management Systems
- 23 Hazardous Area Electrical Work
- Index
Frequently asked questions
- Essential is ideal for learners and professionals who enjoy exploring a wide range of subjects. Access the Essential Library with 800,000+ trusted titles and best-sellers across business, personal growth, and the humanities. Includes unlimited reading time and Standard Read Aloud voice.
- Complete: Perfect for advanced learners and researchers needing full, unrestricted access. Unlock 1.4M+ books across hundreds of subjects, including academic and specialized titles. The Complete Plan also includes advanced features like Premium Read Aloud and Research Assistant.
Please note we cannot support devices running on iOS 13 and Android 7 or earlier. Learn more about using the app