Further Electrical and Electronic Principles is a core text for pre-degree courses in electrical and electronic engineering courses. The coverage of this new edition has been brought in line with the specialist unit 'Further Electrical Principles' of the 2007 BTEC National Engineering specification from Edexcel. As the book follows a logical topic progression rather than a particular syllabus, it is also suitable for other Level 3 students on vocational courses such as Vocational AS/A Level, City & Guilds courses and NVQs.More advanced material has also been included, making this text also suitable for HNC/HND and foundation degree courses.
Each chapter starts with learning outcomes tied to the syllabus. All theory is explained in detail and backed up with numerous worked examples. Students can test their understanding with end of chapter assignment questions for which answers are provided. The book also includes suggested practical assignments and handy summaries of equations. In this new edition, the layout has been improved and colour has been added to make the book more accessible for students.
The textbook is supported with a free companion website featuring supplementary worked examples and additional chapters.http://books.elsevier.com/companions/9780750687478

- 280 pages
- English
- ePUB (mobile friendly)
- Available on iOS & Android
eBook - ePub
Further Electrical and Electronic Principles
About this book
Trusted by 375,005 students
Access to over 1 million titles for a fair monthly price.
Study more efficiently using our study tools.
Information
Subtopic
Civil EngineeringChapter 1
Single-Phase Series A.C. Circuits
Learning Outcomes
This chapter concerns the effect of resistors, inductors and capacitors when connected to an a.c. supply. It also deals with the methods used to analyse simple series a.c. circuits. At the end of the chapter, the concept of series resonance is introduced.
On completion of this chapter, you should be able to:
1 Draw the relevant phasor diagrams and waveform diagrams of voltage and current, for pure resistance, inductance and capacitance.
2 Understand and use the concepts of reactance and impedance to analyse simple a.c. series circuits.
3 Derive and use impedance and power triangles.
4 Calculate the power dissipation of an a.c. circuit, and understand the concept of power factor.
5 Explain the effect of series resonance, and its implications for practical circuits.
1.1 Pure Resistance
A pure resistor is one which exhibits only electrical resistance. This means that it has no inductance or capacitance. In practice, a carbon or metal film resistor is virtually perfect in these respects. Large wire-wound resistors can have a certain inductive and capacitive effect.
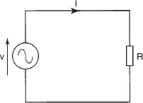
Consider a perfect (pure) resistor, connected to an a.c. supply, as shown in Fig. 1.1. The current flowing at any instant is directly proportional to the instantaneous applied voltage, and inversely proportional to the resistance value. The voltage is varying sinusoidally, and the resistance is a constant value. Thus the current flow will also be sinusoidal, and will be in phase with the applied voltage. This can be written as follows

Fig. 1.1

Thus, the current is a sinewave, of maximum value Vm/R, is of the same frequency as the voltage, and is in phase with it.
Hence,

The relevant waveform and phasor diagrams are shown in Figs. 1.2 and 1.3 respectively.

Fig. 1.2

Fig. 1.3
The instantaneous power (p) is given by the product of the instantaneous values of voltage and current. Thus p = vi. The waveform diagram is shown in Fig. 1.4. From this diagram, it is obvious that the power reaches its maximum and minimum values at the same time as both voltage and current. Therefore


Note: When calculating the power, the r.m.s. values must be used.

Fig. 1.4
From these results, we can conclude that a pure resistor, in an a.c. circuit, behaves in exactly the same way as in the equivalent d.c. circuit.
Worked Example 1.1
Q Calculate the power dissipated by a 560 Ω resistor, when connected to a v = 35 sin 314 t volt supply.
A
R = 560 Ω; Vm = 35 V

1.2 Pure Inductance
A pure inductor is one which possesses only inductance. It therefore has no electrical resistance or capacitance. Such a device is not practically possible. Since the inductor consists of a coil of wire, then it must possess a finite value of resistance in addition to a very small amount of capacitance. However, let us a...
Table of contents
- Cover
- Halftitle
- Title
- Copyright
- Contents
- Preface
- 1 Single-Phase Series A.C. Circuits
- 2 Single-Phase Parallel A.C. Circuits
- 3 Three-Phase A.C. Circuits
- 4 Network Theorems
- 5 A.C. Machines
- 6 D.C. Machines
- 7 Measuring Instruments and Measurements
- 8 D.C. Transients
- Answers to Assignment Questions
- Index
Frequently asked questions
Yes, you can cancel anytime from the Subscription tab in your account settings on the Perlego website. Your subscription will stay active until the end of your current billing period. Learn how to cancel your subscription
No, books cannot be downloaded as external files, such as PDFs, for use outside of Perlego. However, you can download books within the Perlego app for offline reading on mobile or tablet. Learn how to download books offline
Perlego offers two plans: Essential and Complete
- Essential is ideal for learners and professionals who enjoy exploring a wide range of subjects. Access the Essential Library with 800,000+ trusted titles and best-sellers across business, personal growth, and the humanities. Includes unlimited reading time and Standard Read Aloud voice.
- Complete: Perfect for advanced learners and researchers needing full, unrestricted access. Unlock 1.4M+ books across hundreds of subjects, including academic and specialized titles. The Complete Plan also includes advanced features like Premium Read Aloud and Research Assistant.
We are an online textbook subscription service, where you can get access to an entire online library for less than the price of a single book per month. With over 1 million books across 990+ topics, we’ve got you covered! Learn about our mission
Look out for the read-aloud symbol on your next book to see if you can listen to it. The read-aloud tool reads text aloud for you, highlighting the text as it is being read. You can pause it, speed it up and slow it down. Learn more about Read Aloud
Yes! You can use the Perlego app on both iOS and Android devices to read anytime, anywhere — even offline. Perfect for commutes or when you’re on the go.
Please note we cannot support devices running on iOS 13 and Android 7 or earlier. Learn more about using the app
Please note we cannot support devices running on iOS 13 and Android 7 or earlier. Learn more about using the app
Yes, you can access Further Electrical and Electronic Principles by C R Robertson,Christopher Robertson in PDF and/or ePUB format, as well as other popular books in Technology & Engineering & Civil Engineering. We have over one million books available in our catalogue for you to explore.