Originally published in 1989, this book was the first comprehensive and analytical account of the Italian small firm economy to appear in English. Dealing principally with the area of central and north-east Italy where small business flourishes, the book relates to the concentration of such companies to the concept of 'industrial districts' developed by Alfred Marshall, and provides both a theoretical and statistical basis for Italy in the latter part of the twentieth century. The success of Italian manufacturing is explained in terms of political and social factors as well as economic and technical ones and the working practices within the technology companies discussed.

eBook - ePub
Small Firms and Industrial Districts in Italy
- 274 pages
- English
- ePUB (mobile friendly)
- Available on iOS & Android
eBook - ePub
Small Firms and Industrial Districts in Italy
About this book
Trusted by 375,005 students
Access to over 1.5 million titles for a fair monthly price.
Study more efficiently using our study tools.
Information
Chapter 1
The role of small firms in the development of Italian manufacturing industry
Introduction
The purpose of the present chapter is to present a simple quantitative analysis of the role played by small and medium-sized firms in the industrial development of Italy in the 1960s and 1970s.
The boom in Italian industry in the 1950s saw the formation of many small and medium-sized industrial firms, thus adding to the small number of large firms which had grown up in an earlier period (Isotta and Rispoli 1979). The 1960s seemed to indicate that the natural continuation of this growth would be along the inevitable road towards modernization, characterized by a general increase in the size of both firms and production plants and by a progressive shift towards those industrial sectors and techniques considered to be more characteristic of modern economies; for example, mechanical engineering, chemicals, iron and steel, and mass production in general. The 1970s, however, which might have been expected to confirm this process of modernization, held a number of surprises in store. Growth continued, but it was characterized by a further proliferation of small firms and also by the fact that many large firms found themselves in serious difficulties. In addition, those industries considered to be older and more traditional (e.g. textiles, clothing, footwear, leather and leather goods, the manufacture of furniture and other wooden objects, glass and ceramic goods) showed considerable liveliness, especially in regions where the growth of smaller-sized firms had been greater, and continued to make a decisive contribution to, amongst other things, Italian exports. This change of direction in industrial development rekindled debate and controversy in Italy as regards the role played by small firms. Later on we shall try to give a brief outline of this debate.
Since the principal aim of this chapter is to offer a simple but incisive illustration of the real importance of this change, we shall make use primarily of the information contained in the Trade and Industry Censuses of 1961, 1971, and 1981 provided by ISTAT, the Italian national institute of statistics. These data concern employees in the manufacturing industries and are organized according to type of economic activity, geographical region, and size of plants.
It should be noted that the information we shall be considering relates to the workforce in plants and not in firms. Strictly speaking, therefore, if we take into consideration the phenomenon of multi-plant firms, results deriving from the percentage distribution of plants according to size of workforce should not automatically be indicative of the size structure or change in size structure of the firms themselves. However, as there is high correspondence between the number of single-site firms and the number of plants in all the aggregate subdivisions we have used, the phenomenon of multi-plant firms may be considered as being limited to medium and large plants. Thus, an examination of the figures relating to individual plants should not result in any excessive overestimation of the importance of small and very small firms.
Another statistical problem concerns the reliability of the census data. It has been pointed out that the 1981 census was more accurate and extensive than its predecessors, and that this led to the appearance of populations of very small industrial firms which had previously existed but not been registered. We shall attempt to take into account this problem of comparability, the importance of which, however, should not be overestimated (Appendix 1, p. 53). It should also be remembered that the ISTAT censuses are the most complete survey available in Italy dealing with the facts we are considering.
Another point to note is that the information on the employment sector, geographical region, and size of plants, has been reorganized in various ways in order to facilitate the work of analysis and comparison. The detailed size classification of the censuses has been reduced, ignoring minor incomparabilities, to four groups: (1) very small plants, in which the workforce has a maximum of nine employees; (2) small, from ten to forty-nine employees; (3) medium, from fifty to 499 employees; (4) large, more than 499 employees. As far as geographical division is concerned, reference is made both to individual regions and to the following three regional aggregates: (1) the industrial triangle of the north-west (TRI), comprising Lombardy, Piedmont, Liguria, and Val d’Aosta, which includes the oldest industrial parts of Italy; (2) the north-central and north-east area (NEC), comprising Tuscany, Umbria, Emilia Romagna, Marche, Veneto, Trentino-Alto Adige, and Friuli-Venezia-Giulia, the area of the Terza Italia; and (3) the centre, including Latium, the south and the islands of Sicily and Sardinia (SCI). Employment sectors have been aggregated according to two main criteria, one statistical and one economic. The statistical criterion is the result of the need to find aggregates which are more or less comparable between the different censuses. The economic criterion arises from the need to work with aggregates which are as homogeneous as possible. In an attempt to satisfy these criteria, manufacturing industry is divided into three large aggregates: (1) metal goods and engineering; (2) traditional industries; (3) other industries, among which are iron and steel, chemicals, and the production of vehicles and transport equipment, henceforth referred to as ‘heavy and other’ industries. Within the traditional industries there are also sub-aggregates.
Employees in Italian manufacturing industry between 1961 and 1981
The starting point of the analysis is 1961. In that year in Italian manufacturing industry as a whole, the most important size category of plant, from the point of view of employment figures, is that of medium-sized plants (32 per cent), and the least important is that of small plants (19 per cent); very small plants are second in importance and large plants third.
Between 1961 and 1981 the workforce in Italian manufacturing industries grew considerably (36 per cent); between 1961 and 1971 the increase was about 800,000 employees (18 per cent), and between 1971 and 1981 the increase was just as great in absolute terms, though consequently smaller as a percentage of the workforce – the figures relating to this second decade have been partly inflated by the greater accuracy of the 1981 census in respect to its predecessors (Appendix 1). After the boom of the 1950s, when there was an increase of more than one million employees, the following twenty years thus saw an appreciable strengthening of manufacturing industries.
Between 1961 and 1981 the proportion of employees in small plants increased progressively until it overtook the proportion in large plants and came close to that of both very small plants and medium-sized plants. The latter three categories showed percentage decreases, which were the result of different trends in the two decades. In 1971 the very small plants proved to have remained more or less stationary from an employment point of view and therefore to have lost quota with respect to 1961, but in the following decade they made up most of this loss. The large and medium size categories both increased proportionately between 1961 and 1971, but in the course of the following decade declined to proportionate levels below those of 1961; it must be emphasized, however, that this decline was more pronounced in the case of large plants, which in fact underwent a reduction in manpower in absolute terms between the years 1971 and 1981 (Fig. 1.1).
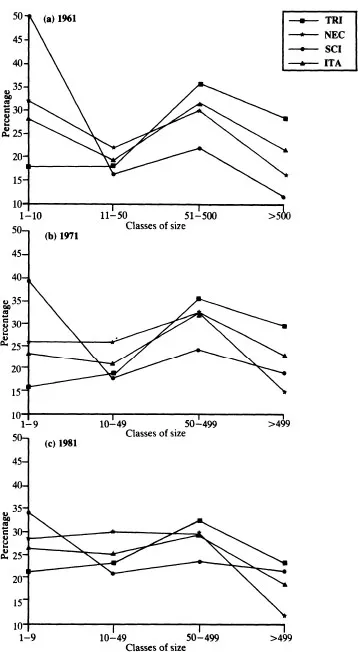
Figure 1.1 Manufacturing industries (=100%): % of employees by size of plant (in employees). Regional aggregates, 1961, 1971, 1981

Note: See introduction to this chapter for the meaning of the aggregates.
Source: Elaboration on ISTAT, 1961, 1971, 1981.
1961–71: a decade of modernization
As far as sectoral distribution is concerned, it is to be noted that the position of clear supremacy at a national level held in 1961 by the traditional industries (more than 40 per cent) had by 1971 undergone considerable change, this as a result of the very low increase in the number of employees in the traditional sectors (less than 3 per cent). The shift seen towards the larger size of plant between 1961 and 1971 in the manufacturing industries as a whole may be explained on the one hand by the decrease in proportional importance of the traditional sectors (in which smaller plants typically prevail), and on the other hand by the general shift towards plants of larger sizes. The latter factor is to some extent relevant to the traditional sectors, where small and medium-sized plants become more important at the expense of large and above all very small plants, but is to be seen most clearly in metal goods and engineering (where the large plants become more important at the expense of the other three categories) and in the industries which we have termed ‘heavy and other’ (where small and large plants undergo proportional increases). It should, however, be pointed out that the sectoral aggregate with the highest employment growth, that is metal goods and engineering (37 per cent), tends towards the larger size of plant to a considerably lesser extent, even after expansion in the 1960s, than the heavy and other industries (employment growth of 22 per cent).
When the data for the manufacturing industries is viewed according to a geographical split between the three regional aggregates, considerable differences between these areas show up in the 1961 figures. The manufacturing industries in the NEC regional aggregate do not indicate the marked predominance of any one size of plant, although there is a tendency towards the very small and medium-sized plants. In the TRI area the medium and large plants predominate when grouped together, while in the SCI it is the very small plants alone which are predominant (we say that a size category predominates when its proportion of the workforce is 40 per cent or more, and that two contiguous size categories predominate when, although not individually predominant, their combined proportion is 60 per cent or more).
The 18 per cent increase in the workforce in the Italian manufacturing industries between 1961 and 1971 finds different expression in the three areas we are dealing with. In the TRI there is an increase of 10 per cent (+239,000 employees), which represents a decrease in importance of the area with respect to the national total from 51 per cent to 48 per cent. In the NEC employment growth is 29 per cent (+406,000 employees), with a proportional increase from 31 per cent to 34 per cent of the national total. Employment growth in the SCI is 20 per cent (+161,000 employees), a proportional increase of half of 1 per cent, remaining at approximately 18 per cent of the national total.
Between 1961 and 1971 the TRI experiences an increase in the proportional importance of large plants (reaching 30 per cent in 1971). This is due to a number of factors: the considerable decrease in the importance of traditional activities (–116,000 employees); the significant increase in metal goods and engineering (though in percentage terms below the increase recorded in the other aggregate areas) within which sector there is an increase in the importance of large plants; the increase of heavy and other industries (above the national average), where large plants account for as much as 46 per cent of the workforce.
In the NEC area during the same period, the very small plants decrease in importance in terms of employment, but the large plants fail to increase in importance. This may be explained by the very marked increase in metal goods and engineering, where very small plants lose ground in favour of larger plants; and also by the increase in importance of the medium-sized and especially of the small plants, at the expense of the very small and large plants, in the traditional industries and in the heavy and other industries, which also experience good employment growth during this period.
In the SCI during the period 1961–71, the very small plants lose considerable ground (from 51 per cent of the total in 1961 to 39 per cent in 1971) in favour of the medium-sized and large plants in particular. There is a decrease in the importance of the traditional sectors, which in absolute terms remain static with regard to employment figures, while the proportional importance of large plants in the heavy and other industries reaches a noteworthy 31 per cent in 1971.
In the light of this small amount of data, the picture of change during the 1960s seems clear, and seems, moreover, to confirm the interpretative schema which was undoubtedly popular during that period and which anticipated development towards progressively larger firms and production plants and towards more modern industries where the larger sizes of firms would prevail. Moreover, the decrease in importance of the industrial triangle (TRI) in manufacturing industry as a whole, and above all in the traditional sectors, seems to conform, more or less, to a complementary i...
Table of contents
- Cover
- Half Title
- Title Page
- Copyright Page
- Original Copyright Page
- Table of Contents
- List of figures
- List of maps
- List of tables
- List of contributors
- Preface
- Note on the Acton Society
- Introduction: the political economy of the small firm in Italy
- 1 The role of small firms in the development of Italian manufacturing industry
- 2 Small firms: profile and analysis, 1981–85
- 3 A model of the small firm in Italy
- 4 Sectors and/or districts: some remarks on the conceptual foundations of industrial economics
- 5 The industrial district in Marshall
- 6 The geography of industrial districts in Italy
- 7 Small-firm development and political subcultures in Italy
- 8 Technical change and the industrial district: the role of inter-firm relations in the growth and transformation of ceramic tile production in Italy
- 9 The small-firm economy’s odd man out: the case of Ravenna
- 10 Specialization without growth: small footwear firms in Naples
- 11 A policy for industrial districts
- Index
Frequently asked questions
Yes, you can cancel anytime from the Subscription tab in your account settings on the Perlego website. Your subscription will stay active until the end of your current billing period. Learn how to cancel your subscription
No, books cannot be downloaded as external files, such as PDFs, for use outside of Perlego. However, you can download books within the Perlego app for offline reading on mobile or tablet. Learn how to download books offline
Perlego offers two plans: Essential and Complete
- Essential is ideal for learners and professionals who enjoy exploring a wide range of subjects. Access the Essential Library with 800,000+ trusted titles and best-sellers across business, personal growth, and the humanities. Includes unlimited reading time and Standard Read Aloud voice.
- Complete: Perfect for advanced learners and researchers needing full, unrestricted access. Unlock 1.5M+ books across hundreds of subjects, including academic and specialized titles. The Complete Plan also includes advanced features like Premium Read Aloud and Research Assistant.
We are an online textbook subscription service, where you can get access to an entire online library for less than the price of a single book per month. With over 1.5 million books across 990+ topics, we’ve got you covered! Learn about our mission
Look out for the read-aloud symbol on your next book to see if you can listen to it. The read-aloud tool reads text aloud for you, highlighting the text as it is being read. You can pause it, speed it up and slow it down. Learn more about Read Aloud
Yes! You can use the Perlego app on both iOS and Android devices to read anytime, anywhere — even offline. Perfect for commutes or when you’re on the go.
Please note we cannot support devices running on iOS 13 and Android 7 or earlier. Learn more about using the app
Please note we cannot support devices running on iOS 13 and Android 7 or earlier. Learn more about using the app
Yes, you can access Small Firms and Industrial Districts in Italy by Edward Goodman, Julia Bamford, Peter Saynor, Edward Goodman,Julia Bamford,Peter Saynor in PDF and/or ePUB format, as well as other popular books in Business & Business General. We have over 1.5 million books available in our catalogue for you to explore.