Elementary Statistics for Effective Library and Information Service Management
eBook - ePub

Elementary Statistics for Effective Library and Information Service Management

  1. 126 pages
  2. English
  3. ePUB (mobile friendly)
  4. Available on iOS & Android
eBook - ePub

Elementary Statistics for Effective Library and Information Service Management

About this book

This title describes how best to use statistical data to produce professional reports on library activities. The authors cover data gathering, sampling, graphical representation of data and summary statistics from data, and also include a section on trend analysis. A full bibliography and a subject index make this a key title for any information professional..

Frequently asked questions

Yes, you can cancel anytime from the Subscription tab in your account settings on the Perlego website. Your subscription will stay active until the end of your current billing period. Learn how to cancel your subscription.
At the moment all of our mobile-responsive ePub books are available to download via the app. Most of our PDFs are also available to download and we're working on making the final remaining ones downloadable now. Learn more here.
Perlego offers two plans: Essential and Complete
  • Essential is ideal for learners and professionals who enjoy exploring a wide range of subjects. Access the Essential Library with 800,000+ trusted titles and best-sellers across business, personal growth, and the humanities. Includes unlimited reading time and Standard Read Aloud voice.
  • Complete: Perfect for advanced learners and researchers needing full, unrestricted access. Unlock 1.4M+ books across hundreds of subjects, including academic and specialized titles. The Complete Plan also includes advanced features like Premium Read Aloud and Research Assistant.
Both plans are available with monthly, semester, or annual billing cycles.
We are an online textbook subscription service, where you can get access to an entire online library for less than the price of a single book per month. With over 1 million books across 1000+ topics, we’ve got you covered! Learn more here.
Look out for the read-aloud symbol on your next book to see if you can listen to it. The read-aloud tool reads text aloud for you, highlighting the text as it is being read. You can pause it, speed it up and slow it down. Learn more here.
Yes! You can use the Perlego app on both iOS or Android devices to read anytime, anywhere — even offline. Perfect for commutes or when you’re on the go.
Please note we cannot support devices running on iOS 13 and Android 7 or earlier. Learn more about using the app.
Yes, you can access Elementary Statistics for Effective Library and Information Service Management by Leo Egghe,Ronald Rousseau in PDF and/or ePUB format. We have over one million books available in our catalogue for you to explore.

Information

Publisher
Routledge
Year
2003
Print ISBN
9781138439412
eBook ISBN
9781135476366
Edition
1
Appendix 1:
Table of Random Numbers
Appendix 2:
Logic of Calculations
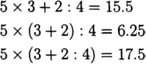
First×and÷(there is no priority between × and÷; any order will do) then+and−(there is no priority between +and−; any order will do). Use of brackets (…) gives priority to the calculations inside the brackets.
Examples
image
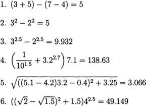
Exercises
Calculate with a pocket calculator (see also Appendix 3 describing universal keys on a pocket calculator).
image
Note that all • denote decimals. The multiplication sign × is omitted in combination with brackets.
Appendix 3:
Basic Arithmetic on Pocket Calculators
No matter how powerful and cheap personal computers may become, there will always be a need for a pocket calculator. Indeed, for simple arithmetic operations pocket calculators are faster and easier to use. They are relatively cheap and can be used anywhere.
Note that computers usually have a calculator utility, which performs the same operations as a pocket calculator.
There are basically two ways of performing arithmetic operations on a calculator: one based on the usual mathematical notation, and one based on the Polish notation (this system is used by Hewlett-Packard calculators). We begin by explaining the first and simplest method. (Note, though, that some types of calculators may have keys that differ slightly from the ones described here.)
Here the
, and
keys are used as in primary school mathematics, so one presses the keys as follows: 681
27
and the result is shown as 18 387.
Combinations of these elementary operations are possible, as described in Appendix 2. Other keys are
the square root key
the square key
Usually these keys are combined on one button:
9
shows 3;
4
shows 16.
For one of these operations, use the “second function” key
The key
means: 1 divided by the number you key in.
An example: 9
gives 0.1111… 5
3 gives 53=125
Finally, the
key reverses the sign:
an example: 5
yields −5.
In the system based on the Polish notation there is one big difference: the=is not present (at least not in the sense used above). To perform addition, subtraction, multiplication and division one has to do the following:
: this yields the sum of 5 and 7, which is 12. Similarly,
Appendix 4
List of Notation
Symbol
Explanati...

Table of contents

  1. Cover
  2. Title Page
  3. Copyright
  4. Contents
  5. Preface
  6. Introduction
  7. Part1: Information about the library
  8. Part 2: Descriptive statistics
  9. Part 3: Inferential statistics
  10. Conclusions
  11. Appendix 1: Table of random numbers
  12. Appendix 2: Logic of calculations
  13. Appendix 3: Basic arithmetic on pocket calculators
  14. Appendix 4: List of notation
  15. Bibliography
  16. Subject index