
eBook - ePub
Handbook of Chitin and Chitosan
Volume 3: Chitin- and Chitosan-based Polymer Materials for Various Applications
- 858 pages
- English
- ePUB (mobile friendly)
- Available on iOS & Android
eBook - ePub
Handbook of Chitin and Chitosan
Volume 3: Chitin- and Chitosan-based Polymer Materials for Various Applications
About this book
The Handbook of Chitin and Chitosan: Chitin and Chitosan Based Polymer Materials for Various Applications, Volume Three, is a must-read for polymer chemists, physicists and engineers interested in the development of ecofriendly micro and nanostructured functional materials based on chitin and their various applications. The book addresses their isolation, preparation and properties and their composites, nanomaterials, manufacturing and characterizations. This is the third of three volumes in a series that contains the latest on the major applications of chitin and chitosan based IPN's, blends, gels, composites and nanocomposites, including environmental remediation, biomedical applications and smart material applications.
- Provides a comprehensive overview of Chitin and Chitosan materials, from their synthesis and nanomaterials, to their manufacture and applications
- Volume Three focuses on the applications of Chitin and Chitosan
- Includes contributions from leading researchers across the globe and from industry, academia, government and private research institutions
- Highlights current status and future opportunities
Trusted by 375,005 students
Access to over 1.5 million titles for a fair monthly price.
Study more efficiently using our study tools.
Information
Topic
Physical SciencesSubtopic
Organic ChemistryChapter 1
Polymer blends, IPNs, gels, composites, and nanocomposites from chitin and chitosan; manufacturing, and applications
Sabrina Sultana1, Md. Shirajur Rahman2, Md. Minhajul Islam2, Md. Nurus Sakib2 and Md. Shahruzzaman2, 11Department of Arts and Sciences, Ahsanullah University of Science and Technology, Dhaka, Bangladesh, 22Department of Applied Chemistry and Chemical Engineering, Faculty of Engineering and Technology, University of Dhaka, Dhaka, Bangladesh
Abstract
Chitin and chitosan are the most abundant amino polysaccharides and have immense structural possibilities for chemical modifications to allow them to exhibit outstanding properties, functions, and applications in biomedical, pharmaceutical, chemical, cosmetics, environmental, and agricultural areas. Their versatility and unique characteristics, such as hydrophilicity, film-forming ability, biodegradability, biocompatibility, antibacterial and antifungal activity, and the nontoxicity of chitin and chitosan clearly point to an immense potential for future development. These biopolymers can be easily processed into gels, sponges, membranes, beads, and scaffold forms. This chapter emphasizes recent research on different aspects of chitin- and chitosan-based blends, gels, IPNs, composites, and nanocomposites, including their preparation and applications.
Keywords
Biopolymer; nanocomposites; biomedical; interpenetrating polymer network; polymer blends
1.1 Introduction
Natural polymers are the most widespread and effective materials, mainly due to their abundance, environmental concerns (renewability and biodegradability), and wide applicability. The demand of natural polymeric materials has been increasing over the last two decades because natural polymers have better biocompatibility and less toxic effects than most synthetic polymers. This has led to the utilization of their useful inherent properties for a wide range of applications in different fields [1,2]. Many studies have been carried out on the manufacturing of advanced polymeric materials, such as blends, gels, composites, and nanocomposites, by mixing natural polymers with other natural or synthetic polymers and fillers.
Among the natural polymers, chitin and chitosan occupy a distinct position due to their abundance, versatility, ease of modification, and unique properties including biodegradability, biocompatibility, nontoxicity, antibacterial and antifungal properties, hydrophilicity [3–5], etc. In addition, the structural units of chitin and chitosan contain a reactive amino group that makes them much easier to be modified by chemical reactions than cellulose. These have made chitin and chitosan very useful and outstanding candidates for a broad range of applications in biomedical, pharmaceutical, chemical, agricultural, cosmetics, and environmental fields. There are many reviews focusing on the properties, modifications, and applications of chitin and chitosan [6,7].
A lot of derivatives of chitin with different functional properties have been synthesized by chemical modifications. Shalumon et al. [8] reported the synthesis of water-soluble carboxymethyl chitin and poly(vinyl alcohol) (PVA) blend by an electrospinning method which was used for tissue engineering applications. Morin and Dufresne [9] reported the preparation of nanocomposites from a colloidal suspension of chitin whiskers and poly(e-caprolactone) as the matrix. In another study, Madhumathi et al. developed novel chitin/nanosilver composite scaffolds that have excellent antibacterial activity against Staphylococcus aureus and Escherichia coli as well as good blood-clotting ability [10]. The results of their study suggested that α-chitin/nanosilver composite scaffolds could be used for wound-healing applications. In addition, SiO2-chitin/carbon nanotubes (CNTs) bionanocomposites have also been reported by many researchers [11].
Recently, much attention has been paid to chitosan as a potential biopolymer due to its remarkable intrinsic properties [12,13]. Huang et al. reported the synthesis of various metal–chitosan nanocomposites including silver (Ag), gold (Au), platinum (Pt), and palladium (Pd) in aqueous solutions [14]. In another work, Berger and his coworkers prepared chitosan hydrogels by blending chitosan with other water-soluble nonionic polymers such as PVA [15].
Chitin and chitosan inherently have poor mechanical properties that results in difficulties for their use in bone repair and reconstruction. Therefore the mechanical properties of chitin and chitosan can be improved only when the addition of biomaterials like hydroxyapatite (HAp), bioactive glass ceramic (BGC), etc. is possible. Recently, our group reported the preparation of chitosan/nanohydroxyapatite bioceramic scaffold for spongy bone regeneration [16]. BGC are a group of osteoconductive silicate-based materials used for bone repair. Wheeler et al. reported BGC coating on the surface of titanium which was used for osteointegration [17].
Different types of preparation techniques for the manufacture of advanced polymeric materials with chitin and chitosan have been discussed by Paillet and Dufresne. These include casting and evaporating technique, freeze-drying and hot-pressing techniques, polymer grafting, nonaqueous solvent dispersion technique, extrusion, impregnation, and electrospinning. This chapter intends to focus on the basic fundamentals of chitin and chitosan including their structure, preparation, and applications.
1.2 Chemical structure and preparation of chitin and chitosan
Chitin is a naturally occurring polysaccharide found in the shells of living organisms such as crabs, lobsters, tortoise, shrimps, and insects [18] or it can be generated via fungal fermentation processes. And chitosan is a unique biobased polymer that is a derivative of chitin and forms the exoskeleton of arthropods. It is obtained by partial deacetylation of chitin using a chemical method or by enzymatic hydrolysis. In general, chitin with a degree of deacetylation of 70% or above is considered to be chitosan [19].
1.2.1 Chemical structure and preparation of chitin
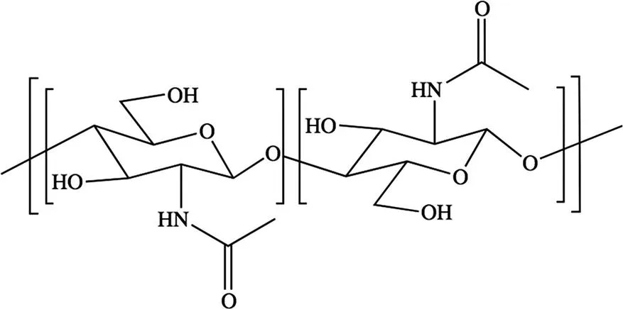
Chitin is a naturally occurring polymer consisting of 2-acetamido-2-deoxy-D-glucose via a β(1-4) linkage (Fig. 1.1). Three forms of chitin are available, namely α-, β-, and γ-chitin, however, the structure of α-chitin has been investigated more extensively than that of either the β- or γ- form. Very few studies have been carried out on γ-chitin because γ-chitin may be a distorted version of either α- or β-chitin [20].

A suspension of chitin crystallite particles was first prepared by Marchessault et al. [21] in 1959. In this method, 2.5 N hydrochloric acid solution was used to treat purified chitin under reflux for 1 h. After the reflux, the excess acid was separated by a decantation process and then distilled water was added to obtain the suspension. It was observed from their method that the acid-hydrolyzed chitin spontaneously dispersed into rod-like particles that could be concentrated to a liquid crystalline phase and self-assembled to a cholesteric liquid crystalline phase above a certain concentration [22]. Though chitins are present within numerous taxonomic groups, on the commercial scale they are usually extracted from marine crustaceans, mainly because a large amount of waste is available as a by-product of food processing.
1.2.2 Chemical structure and preparation of chitosan
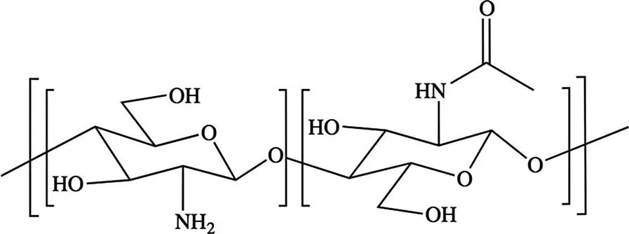
As the second most abundant natural biopolymer after cellulose, chitosan consists of β(1-4)-linked D-glucosamine with randomly located N-acetylglucosamine groups depending upon the degree of deacetylation of the polymer (Fig. 1.2). Deacetylation is normally conducted by repetitions of alkaline hydrolysis due to the resistance of such groups owing to the trans arrangement of the C2-C3 substituents in the sugar ring [23]. The conditions during deacetylation must be properly controlled so that the chitin may be deacetylated to chitosan resulting in a better yield.

Table of contents
- Cover image
- Title page
- Table of Contents
- Copyright
- List of Contributors
- Chapter 1. Polymer blends, IPNs, gels, composites, and nanocomposites from chitin and chitosan; manufacturing, and applications
- Chapter 2. Chemically modified chitin, chitosan, and chitinous polymers as biomaterials
- Chapter 3. Chitin and chitosan composites for wearable electronics and energy storage devices
- Chapter 4. Investigation into the functional properties of cotton, wool, and denim textile materials finished with chitosan and the use of chitosan in textile-reinforced composites and medical textiles
- Chapter 5. Chitin blends, interpenetrating polymer networks, gels, composites, and nanocomposites for adsorption systems: environmental remediation and protein purification
- Chapter 6. Functional properties of chitin and chitosan-based polymer materials
- Chapter 7. Fundamentals of chitosan for biomedical applications
- Chapter 8. Electrospun chitosan materials and their potential use as scaffolds for bone and cartilage tissue engineering
- Chapter 9. Injectable polymeric gels based on chitosan and chitin for biomedical applications
- Chapter 10. Preparation and application of biomimetic and bioinspired membranes based on chitosan
- Chapter 11. Chitin, chitosan, marine to market
- Chapter 12. Chitin- and chitosan-based oleogels: rheological and thermal behavior modifications
- Chapter 13. Chitosan as biomaterial in drug delivery and tissue engineering
- Chapter 14. Biomedical applications carboxymethyl chitosans
- Chapter 15. Biomedical exploitation of chitin and chitosan-based matrices via ionic liquid processing
- Chapter 16. Chitin and chitosan composites for bone tissue regeneration
- Chapter 17. Drug delivery and tissue engineering applications of chitosan-based biomaterial systems
- Chapter 18. Future aspects of biomedical applications of chitin and chitosan in diseases associated with oxidative stress
- Chapter 19. Immunomodulatory activities of chitin and chitosan microparticles
- Chapter 20. Chitosan/chitin-based composites for food packaging applications
- Chapter 21. Modified release properties of glutathione-based chitosan films: Physical and functional characterization
- Chapter 22. Chitosan-based materials as templates for essential oils
- Chapter 23. Chitosan and chitosan-based biomaterials for wound management
- Chapter 24. Chitin and chitosan as promising immunostimulant for aquaculture
- Chapter 25. Chitosan-based materials for water and wastewater treatment
- Index
Frequently asked questions
Yes, you can cancel anytime from the Subscription tab in your account settings on the Perlego website. Your subscription will stay active until the end of your current billing period. Learn how to cancel your subscription
No, books cannot be downloaded as external files, such as PDFs, for use outside of Perlego. However, you can download books within the Perlego app for offline reading on mobile or tablet. Learn how to download books offline
Perlego offers two plans: Essential and Complete
- Essential is ideal for learners and professionals who enjoy exploring a wide range of subjects. Access the Essential Library with 800,000+ trusted titles and best-sellers across business, personal growth, and the humanities. Includes unlimited reading time and Standard Read Aloud voice.
- Complete: Perfect for advanced learners and researchers needing full, unrestricted access. Unlock 1.5M+ books across hundreds of subjects, including academic and specialized titles. The Complete Plan also includes advanced features like Premium Read Aloud and Research Assistant.
We are an online textbook subscription service, where you can get access to an entire online library for less than the price of a single book per month. With over 1.5 million books across 990+ topics, we’ve got you covered! Learn about our mission
Look out for the read-aloud symbol on your next book to see if you can listen to it. The read-aloud tool reads text aloud for you, highlighting the text as it is being read. You can pause it, speed it up and slow it down. Learn more about Read Aloud
Yes! You can use the Perlego app on both iOS and Android devices to read anytime, anywhere — even offline. Perfect for commutes or when you’re on the go.
Please note we cannot support devices running on iOS 13 and Android 7 or earlier. Learn more about using the app
Please note we cannot support devices running on iOS 13 and Android 7 or earlier. Learn more about using the app
Yes, you can access Handbook of Chitin and Chitosan by Sabu Thomas, Anitha Pius, Sreerag Gopi, Sabu Thomas,Anitha Pius,Sreerag Gopi in PDF and/or ePUB format, as well as other popular books in Physical Sciences & Organic Chemistry. We have over 1.5 million books available in our catalogue for you to explore.