
- 300 pages
- English
- ePUB (mobile friendly)
- Available on iOS & Android
Predictive Control
About this book
Predictive Control is aimed at students wishing to learn predictive control, as well as teachers, engineers and technicians of the profession. The book proposes a simple predictive controller where the control laws are given in clear text that requires no calculations. Adjustment, reduced to one or two parameters, is particularly easy, by means of charts, thus allowing the operator to choose the horizon according to the desired performances. Implementation is discussed in detail in two forms: RS or RST controller in z-1, and pseudo-code realization algorithms for a complete program (model and controller).The book is simple and practical, with the aim of the industrial implementation of many processes: Broïda models, Strejc, integrators, dual integrators, with delay, or with inverse response. All settings are abundantly illustrated with response curves.- Present a practical guide to predictive control- Offers a simple predictive controller for a wide range of industrial applications- Summarizes, in tables, all the calculations that have been carried out to allow immediate implementation
Tools to learn more effectively

Saving Books

Keyword Search

Annotating Text

Listen to it instead
Information
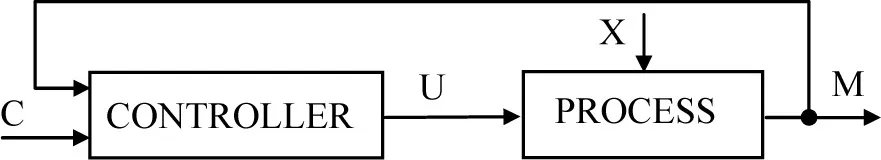
Principle
Abstract
Keywords

1.1 Trajectory
Table of contents
- Cover
- Title page
- Table of Contents
- Copyright
- Preface
- 1: Principle
- 2: Control Law
- 3: Process Models
- 4: Implementation
- 5: Setting of Stable Systems
- 6: Setting of Integrating Systems
- 7: Performances and Setting
- Conclusion
- Appendix
- Bibliography
- Index
Frequently asked questions
- Essential is ideal for learners and professionals who enjoy exploring a wide range of subjects. Access the Essential Library with 800,000+ trusted titles and best-sellers across business, personal growth, and the humanities. Includes unlimited reading time and Standard Read Aloud voice.
- Complete: Perfect for advanced learners and researchers needing full, unrestricted access. Unlock 1.4M+ books across hundreds of subjects, including academic and specialized titles. The Complete Plan also includes advanced features like Premium Read Aloud and Research Assistant.
Please note we cannot support devices running on iOS 13 and Android 7 or earlier. Learn more about using the app