
- 216 pages
- English
- ePUB (mobile friendly)
- Available on iOS & Android
eBook - ePub
About this book
Advanced Organic Synthesis: Methods and Techniques presents a survey and systematic introduction to the modern techniques of organic synthesis. The book attempts to acquaint the reader with a variety of laboratory techniques as well as introduce chemical reagents that require deftness and care in handling. Chapters are devoted that discuss the techniques of organic synthesis; apparatus and terminology used in the description of synthetic procedures; the scope and mechanism of chemical reactions; and technical procedures on how to perform chemical experiments. The text will be of vital importance to advanced undergraduate student or beginning graduate student of chemistry.
Tools to learn more effectively

Saving Books

Keyword Search

Annotating Text

Listen to it instead
Information
Appendix 1
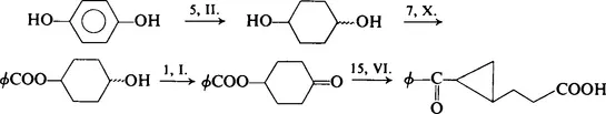
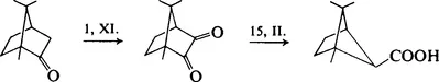
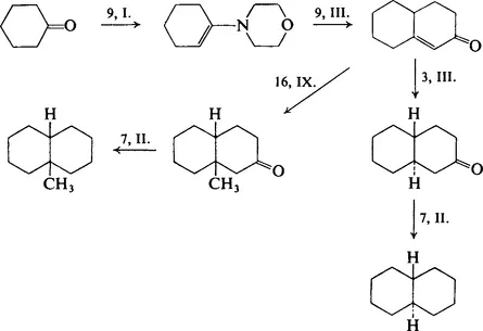
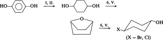
Examples of Multistep Syntheses*†
1.

2.

3.

4.

5.

6.

7.

8.

9.

10.

11.

12.

13.
...Table of contents
- Cover image
- Title page
- Table of Contents
- Copyright
- Preface
- I: FUNCTIONAL GROUP MODIFICATIONS
- II: SKELETAL MODIFICATIONS
- Appendix 1: Examples of Multistep Syntheses
- Appendix 2: Sources of Organic Reagents
- Appendix 3: Introduction to the Techniques of Synthesis
- Subject Index
Frequently asked questions
Yes, you can cancel anytime from the Subscription tab in your account settings on the Perlego website. Your subscription will stay active until the end of your current billing period. Learn how to cancel your subscription
No, books cannot be downloaded as external files, such as PDFs, for use outside of Perlego. However, you can download books within the Perlego app for offline reading on mobile or tablet. Learn how to download books offline
Perlego offers two plans: Essential and Complete
- Essential is ideal for learners and professionals who enjoy exploring a wide range of subjects. Access the Essential Library with 800,000+ trusted titles and best-sellers across business, personal growth, and the humanities. Includes unlimited reading time and Standard Read Aloud voice.
- Complete: Perfect for advanced learners and researchers needing full, unrestricted access. Unlock 1.4M+ books across hundreds of subjects, including academic and specialized titles. The Complete Plan also includes advanced features like Premium Read Aloud and Research Assistant.
We are an online textbook subscription service, where you can get access to an entire online library for less than the price of a single book per month. With over 1 million books across 990+ topics, we’ve got you covered! Learn about our mission
Look out for the read-aloud symbol on your next book to see if you can listen to it. The read-aloud tool reads text aloud for you, highlighting the text as it is being read. You can pause it, speed it up and slow it down. Learn more about Read Aloud
Yes! You can use the Perlego app on both iOS and Android devices to read anytime, anywhere — even offline. Perfect for commutes or when you’re on the go.
Please note we cannot support devices running on iOS 13 and Android 7 or earlier. Learn more about using the app
Please note we cannot support devices running on iOS 13 and Android 7 or earlier. Learn more about using the app
Yes, you can access Advanced Organic Synthesis by Richard Monson in PDF and/or ePUB format, as well as other popular books in Physical Sciences & Organic Chemistry. We have over one million books available in our catalogue for you to explore.