La modelación y simulación numérica son herramientas de gran ayuda en la resolución de nuevos problemas en el ámbito de la ingeniería. Con un enfoque moderno, este libro será de gran ayuda para los estudiantes de las áreas de ciencias e ingeniería, brindándoles las herramientas necesarias para afrontar dichos problemas. En su primera parte, se presentan los distintos métodos numéricos aplicados en ingeniería y cómo ellos se pueden implementar usando el lenguaje Matlab. La segunda parte incluye una selección de problemas resueltos en las áreas de cinéticas químicas, reactores, biorreactores, transferencia de calor, mecánica de fluidos, entre otras. Dichas soluciones incluyen una detallada descripción de los programas desarrollados.

eBook - ePub
Métodos numéricos aplicados a Ingeniería
Casos de estudio usando MATLAB
- 284 pages
- English
- ePUB (mobile friendly)
- Available on iOS & Android
eBook - ePub
Métodos numéricos aplicados a Ingeniería
Casos de estudio usando MATLAB
About this book
Trusted by 375,005 students
Access to over 1.5 million titles for a fair monthly price.
Study more efficiently using our study tools.
Information
Subtopic
Maschinenbau Allgemein1. Sistemas de ecuaciones lineales |
1. SISTEMAS DE ECUACIONES LINEALES
La resolución numérica de sistemas de ecuaciones lineales se puede dividir en los siguientes dos métodos:
a) Método directo: Si el número de etapas para resolver las ecuaciones es finito. Por ejemplo, la resolución del sistema de ecuaciones lineales A · x = b cuando existe la inversa de la matriz A.
b) Método iterativo: Si se requiere infinitas etapas para resolver las ecuaciones en forma exacta. Por ejemplo, resolver un sistema de ecuaciones lineales mediante el método de Jacobi.
1.1 Métodos de solución directa
Un método directo es un algoritmo con un número finito y predefinido de pasos, al final de los cuales se obtiene la solución.
1.1.1 Eliminación de Gauss-Jordan
Este algoritmo consiste en producir una serie de transformaciones del sistema lineal original, hasta obtener un sistema triangular superior. Supongamos que nuestro punto de partida consiste en el sistema de ecuaciones lineales

Se genera una secuencia de operaciones hasta que se transforma el sistema original de ecuaciones a un sistema con matriz triangular superior U:

La solución de esta ecuación es la misma que la de la ecuación 1.1.
Para conseguir la estructura triangular superior se procede a eliminar los elementos bajo la diagonal principal, haciéndolos cero a través de operaciones (sumas y restas) con las filas de la matriz A. Al final del procesamiento se obtiene la siguiente estructura de matriz:

Esto genera el sistema de ecuaciones U · x = y, el cual se puede resolver por sustitución hacia atrás para obtener la solución x.
Ejemplo 1.1. Eliminación de Gauss-Jordan
Utilice Matlab® para realizar la eliminación de Gauss-Jordan del siguiente sistema de ecuaciones A · x = b,

Solución: Se hace el pivoteo de la matriz A en conjunto con el vector b, de manera de producir directamente el resultado mostrado en la ecuación 1.2; para esto se opera con una matriz aumentada M = [A b]. El siguiente macro de Matlab® resuelve el problema propuesto:
% este macro resuelve el Ejemplo 1.1
%% ingreso de la matriz y vector lado derecho
A=[2 1 -3; -1 3 2; 3 1 -3];
b=[-1 12 0]’;
x=zeros(size(b));
%% definición matriz aumentada M y eliminación Gauss-Jordan
M=[A b];
M(1,:)=M(1,:)/M(1,1); % se normaliza fila 1 con primer pivote
M(2,:)=M(2,:)-M(1,:)*M(2,1); % se genera un ‘0’ en posición (2,1)
M(3,:)=M(3,:)-M(1,:)*M(3,1); % se genera un ‘0’ en posición (3,1)
M(2,:)=M(2,:)/M(2,2); % se normaliza fila 2 con segundo pivote
M(3,:)=M(3,:)-M(2,:)*M(3,2); % se genera un ‘0’ en posición (3,2)
%% etapa de solución de la ecuación por sustitución hacia atrás
x(3)=M(3,4)/M(3,3);
x(2)=M(2,4)-M(2,3)*x(3);
x(1)=M(1,4)-M(1,3)*x(3)-M(1,2)*x(2);
%% verificación de la solución
r=A*x-b;
El resultado de aplicar este macro es:
Notas
1) El método como aquí se ha descrito (eliminación de Gauss-Jordan) falla si cualquiera de los pivotes (elementos de la diagonal de la matriz A) se hace cero o si es muy pequeño por causa de errores de redondeo; por ejemplo, resta de cantidades de similar magnitud.
2) En la práctica es necesario usar una estrategia de pivoteo para escoger el “mejor” pivote, de manera de minimizar los problemas numéricos. El mejor pivote es usualmente el elemento con mayor valor absoluto en la columna que queda bajo la diagonal principal durante la eliminación hacia adelante.
3) En Matlab®, el algoritmo está implementado como la factorización LU (rutina lu), y también en el operador ‘\’, que usa la eliminación gaussiana para resolver sistemas lineales. Moler [1] ha desarrollado una interfaz gráfica lugui que permite visualizar el proceso de factorización de una matriz cuadrada, para distintas opciones: sin pivote, pivoteo parcial o pivoteo total.
4) En el caso particular de matrices que sean definidas positivas o que posean diagonal dominante1, el pivoteo siempre funciona y no hay problemas de encontrar pivotes iguales a cero.
1.1.2 Caso de matrices tridiagonales
Un ejemplo simple de aplicación de la eliminación de Gauss-Jordan es el caso de una matriz tridiagonal, de la forma

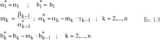
Si se cumple la condición de diagonal dominante para la matriz: |αi| > |γi| + |βi-1|, (para todo i), entonces el proceso de eliminación de Gauss-Jordan queda dado por el algoritmo de Thomas:

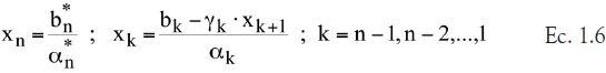
Y la etapa de sustitución hacia atrás queda como

Notas
1) Este algoritmo no solo evita operaciones aritméticas innecesarias con elementos nulos de la matriz, sino que asimismo reduce la cantidad de almacenamiento requerido de O(n2) a O(5·n) aproximadamente, ya que almacena la matriz A como tres vectores α, β y γ. Este algoritmo está disponible en la rutina tridisolve desarrollada por Moler [1].
2) Este enfoque se puede implementar de modo eficiente cuando la matriz original posee una estructura regular. Esta matriz tridiagonal aparece frecuentemente cuando se modelan balances de masa en procesos de separación, tales como destilación (Wang y Henke, [2]), absorción, extracción por solventes (Hanna y Sandall, [3]); igualmente aparece en problemas de contorno (ecuaciones diferenciales ordinarias o a derivadas parciales) cuando se usan métodos de diferencias finitas (capítulos 4 y 5).
Ejemplo 1.2. Solución de un sistema tridiagonal
Se remueve anilina desde una corriente acuosa usando tolueno como solvente extractor; los flujos de agua (F1) y tolueno (F2) son constantes (en base libre de soluto). La unidad de separación es una torre en contracorriente con 10 etapas de extracción, como se muestra en la Figura 1.1, con la siguiente notación:
xi= kg ...
Table of contents
- Portada
- Portadilla
- Créditos
- CONTENIDOS
- PRÓLOGO
- UNA VISIÓN DE LA MODELACIÓN Y SIMULACIÓN DE PROCESOS
- 1. SISTEMAS DE ECUACIONES LINEALES
- 2. ECUACIONES NO LINEALES
- 3. ECUACIONES DIFERENCIALES ORDINARIAS
- 4. ECUACIONES DIFERENCIALES ORDINARIAS: PROBLEMAS DE VALORES EN EL CONTORNO
- 5. ECUACIONES EN DERIVADAS PARCIALES
- CASOS DE ESTUDIO
- ANEXOS
Frequently asked questions
Yes, you can cancel anytime from the Subscription tab in your account settings on the Perlego website. Your subscription will stay active until the end of your current billing period. Learn how to cancel your subscription
No, books cannot be downloaded as external files, such as PDFs, for use outside of Perlego. However, you can download books within the Perlego app for offline reading on mobile or tablet. Learn how to download books offline
Perlego offers two plans: Essential and Complete
- Essential is ideal for learners and professionals who enjoy exploring a wide range of subjects. Access the Essential Library with 800,000+ trusted titles and best-sellers across business, personal growth, and the humanities. Includes unlimited reading time and Standard Read Aloud voice.
- Complete: Perfect for advanced learners and researchers needing full, unrestricted access. Unlock 1.5M+ books across hundreds of subjects, including academic and specialized titles. The Complete Plan also includes advanced features like Premium Read Aloud and Research Assistant.
We are an online textbook subscription service, where you can get access to an entire online library for less than the price of a single book per month. With over 1.5 million books across 990+ topics, we’ve got you covered! Learn about our mission
Look out for the read-aloud symbol on your next book to see if you can listen to it. The read-aloud tool reads text aloud for you, highlighting the text as it is being read. You can pause it, speed it up and slow it down. Learn more about Read Aloud
Yes! You can use the Perlego app on both iOS and Android devices to read anytime, anywhere — even offline. Perfect for commutes or when you’re on the go.
Please note we cannot support devices running on iOS 13 and Android 7 or earlier. Learn more about using the app
Please note we cannot support devices running on iOS 13 and Android 7 or earlier. Learn more about using the app
Yes, you can access Métodos numéricos aplicados a Ingeniería by Héctor Jorquera González,Claudio Gelmi Weston in PDF and/or ePUB format, as well as other popular books in Technik & Maschinenbau & Maschinenbau Allgemein. We have over 1.5 million books available in our catalogue for you to explore.