
eBook - ePub
Biofuels
Production and Future Perspectives
- 578 pages
- English
- ePUB (mobile friendly)
- Available on iOS & Android
eBook - ePub
About this book
This will be a comprehensive multi-contributed reference work, with the Editors being highly regarded alternative fuels experts from India and Switzerland. There will be a strong orientation toward production of biofuels covering such topics as biodiesel from renewable sources, biofuels from biomass, vegetable based feedstocks from biofuel production, global demand for biofuels and economic aspects of biofuel production.
- Book covers the latest advances in all product areas relative to biofuels.
- Discusses coverage of public opinion related to biofuels.
- Chapters will be authored by world class researchers and practitioners in various aspects of biofuels.
- Provides good comprehensive coverage of biofuels for algae.
- Presents extensive discussion of future prospects in biofuels.
Frequently asked questions
Yes, you can cancel anytime from the Subscription tab in your account settings on the Perlego website. Your subscription will stay active until the end of your current billing period. Learn how to cancel your subscription.
At the moment all of our mobile-responsive ePub books are available to download via the app. Most of our PDFs are also available to download and we're working on making the final remaining ones downloadable now. Learn more here.
Perlego offers two plans: Essential and Complete
- Essential is ideal for learners and professionals who enjoy exploring a wide range of subjects. Access the Essential Library with 800,000+ trusted titles and best-sellers across business, personal growth, and the humanities. Includes unlimited reading time and Standard Read Aloud voice.
- Complete: Perfect for advanced learners and researchers needing full, unrestricted access. Unlock 1.4M+ books across hundreds of subjects, including academic and specialized titles. The Complete Plan also includes advanced features like Premium Read Aloud and Research Assistant.
We are an online textbook subscription service, where you can get access to an entire online library for less than the price of a single book per month. With over 1 million books across 1000+ topics, we’ve got you covered! Learn more here.
Look out for the read-aloud symbol on your next book to see if you can listen to it. The read-aloud tool reads text aloud for you, highlighting the text as it is being read. You can pause it, speed it up and slow it down. Learn more here.
Yes! You can use the Perlego app on both iOS or Android devices to read anytime, anywhere — even offline. Perfect for commutes or when you’re on the go.
Please note we cannot support devices running on iOS 13 and Android 7 or earlier. Learn more about using the app.
Please note we cannot support devices running on iOS 13 and Android 7 or earlier. Learn more about using the app.
Yes, you can access Biofuels by Ram Sarup Singh,Ashok Pandey,Edgard Gnansounou in PDF and/or ePUB format, as well as other popular books in Biological Sciences & Biotechnology. We have over one million books available in our catalogue for you to explore.
Information
Section II
Production of Biofuels
5
Lipid-Based Biomasses as Feedstock for Biofuels Production
Contents
Abstract
5.1 Introduction
5.2 Lipid-Based Biomasses
5.3 First-Generation Lipid-Based Biomasses
5.4 Second-Generation Lipid-Based Biomasses
5.4.1 Wastes and By-Products
5.4.1.1 Waste Cooking Oil from Households and the Food Industry
5.4.1.2 Animal Fats from Slaughter
5.4.1.3 Oilseeds from the Fruit Processing Industry
5.4.1.4 Soap Stock and Fatty Acid Distillate from the Cooking Oils Industry
5.4.1.5 Other Industrial and Municipal Wastes
5.4.2 Nonedible Oil Plants
5.4.3 Insects
5.4.4 Oleaginous Microorganisms
5.4.4.1 Microalgae
5.4.4.2 Yeasts and Fungi
5.4.4.3 Bacteria
5.5 Conclusions
References
Abstract
Biofuels are defined in the beginning of this chapter, followed by the information about lipid-based biomasses and first-generation feedstocks for biofuel production. Fatty acids commonly found in lipid-based biomasses, molecular weight of general plant oils, and acidity of lipid-based biomasses are briefly described. Since the introduction of first-generation biomasses, mostly plant oils have been utilized as transportation fuels and their costs keep fluctuating due to food or fuel dilemma. Hence, many lipid-based biomasses were introduced as second-generation feedstock worldwide. The second-generation feedstock should not be aligned with the food industry. Wastes and industrial by-products are inexpensive feedstock, but their productivity and quality are not consistent. Sources of waste cooking oil (WCO), animal fat, oilseed, and other industrial and municipal wastes are mentioned. Moreover, wastes’ and by-products’ costs are low; however, pretreatment, collection, and handling might increase their costs. Among these wastes and by-products, WCO from restaurants acquired earliest attention. Thus, advantages and disadvantages of biofuel production using WCO as feedstock are summarized. In contrast, lipid-based biomasses derived from nonedible oils, insects, and oleaginous microorganisms were demonstrated to resolve problems on unstable productivity and feedstock quality. However, their costs when produced in a large scale remain questionable because they are in initial developmental stages in a small scale. Moreover, agricultural science research is necessary for increasing nonedible oil plants’ productivity. Studies on insects having the abilities to convert several wastes to lipid-based biomasses have been recently reported. Although oleaginous microorganisms are promising due to high productivity and simplicity of genetic engineering, microalgal cultivation and harvesting systems have been debated. Carbon sources are used to cultivate oleaginous yeasts and fungi; however, resultant lipid-based biomasses are somewhat involved in food or fuel dilemma. In the conclusion section, the topics of practical importance for each lipid-based biomass are summarized.
5.1 Introduction
Alternative fuels derived from renewable resources, the first-generation feedstocks, are a promising new energy source for transportation in many countries. For example, bioethanol produced primarily from corn, sugarcane, and cassava is used as an automotive fuel in spark-ignition engines in the United States, Brazil, and Thailand. Furthermore, biodiesel synthesized from lipid-based biomasses is also a promising biofuel for compression-ignition engine. Nowadays, edible oils such as those from sunflower, soybean, and oil palm are the first-generation feedstocks used in the industrial production of biodiesel.
The term “biofuels” in this chapter includes biodiesel, fatty acid alkyl esters (FAAE), and other biofuels that are thermochemically produced via pyrolysis, catalytic decarboxylation, catalytic hydrodeoxygenation, and supercritical techniques. Specifically, the term “lipid-based biofuels” will be used within this chapter. Please bear in mind that the term “biofuels” in this chapter excludes other biofuels synthesized from sugar-based or lignocellulosic biomasses, such as methane (biogas), methanol, ethanol, and butanol. Additionally, the term “lipid-based biofuels” mostly refers to biodiesel that is chemically synthesized by transesterification and/or esterification reactions.
The 24 properties of biodiesel are strictly specified by international standards, such as EN14214 and ASTM D6751-14. Thermochemically produced lipid-based biofuels normally fail to meet the 96.5% ester content designated in the international standard for biodiesel (EN14214), so they cannot be classified as biodiesels. However, their properties, which are very similar to those of petrodiesel or gasoline, make them of interest as alternative transportation fuels. This chapter aims to emphasize the discovery of lipid-based feedstocks for biofuel production.
Because of the food or fuel dilemma, the use of the second-generation feedstocks, lignocellulosic biomasses, to produce bioethanol was demonstrated over 50 years ago (FitzPatrick et al. 2010). The second-generation feedstocks for lipid-based biomasses were discovered later than those for lignocellulosic biomasses. In this chapter, brief details concerning lipid-based biomasses are introduced first followed by the first-generation feedstocks for lipid-based biofuel production. Further, the second-generation feedstocks are categorized according to the consistency of their productivity. For example, the productivity of waste cooking oil (WCO) is inconsistent, whereas increasing cultivation could increase the consistency of nonedible oil plant production. Finally, the challenges involved in the production of lipid-based feedstocks for biofuel production are summarized.
5.2 Lipid-Based Biomasses
Lipids are a group of compounds found in living organisms that are completely miscible with nonpolar organic solvents. Thus, lipids naturally include many compounds, such as fatty acids, glycerides, fat-soluble vitamins, cholesterols, phospholipids, and glycolipids. The chemical structures of lipids depend on their source, the type of organism, and their biological function in the cell. However, the lipid-based biomasses, considered feedstocks for biofuel production, consist primarily of glycerides because their primary structure consists of C8–C24 straight-chain fatty acids.
Glycerides, a collective name for the esterification products of glycerol and fatty acids, include triglycerides, diglycerides, and monoglycerides. The backbone of a glyceride molecule is glycerol, which consists of three hydroxyl groups (–OH) attached to three individual carbon atoms (see Figure 5.1). The carboxylic acid (–COOH) groups of fatty acids can be esterified, one by one, with the hydroxyl groups of glycerol. For example, an esterification between palmitic acid and glycerol is illustrated in Figure 5.1.
When the three hydroxyl groups of glycerol are completely esterified with three fatty acids, this molecule is called a “triglyceride.” Molecules having two of the three hydroxyl groups of glycerol esterified are called “diglycerides” and so on. Thus, the variety of glyceride structures originates from the number of fatty acids that can be esterified with the three hydroxyl groups of glycerol. It should be noted that the distribution of fatty acids in glycerides is not completely random; however, the detailed molecular structure of the glycerides is still unclear. The distribution of triacylglycerides can be estimated by reverse-phase HPLC, as described elsewhere (Christie et al. 2007).

Figure 5.1 An acid-catalyzed esterification reaction between glycerol and palmitic acid (C16:0).
Fatty acids are monocarboxylic acids with a straight chain of 4–22 carbon atoms, mostly in even numbers. The hydrocarbon chains of fatty acids can be categorized by the number of double bonds (C=C) between the carbon atoms in the chain. Consequently, they are divided into saturated chains, which contain no double bonds, and unsaturated chains, which contain at least one double bond. Furthermore, fatty acids containing multiple double bonds between carbon atoms are called “polyunsaturated fatty acids” or “PUFAs.” The nomenclature of fatty acids is symbolized as CX:Y, where X and Y are the number of carbon atoms and C=C double bonds, respectively. For example, the symbol (shorthand name) for palmitic acid—a saturated fatty acid containing 16 carbon atoms—is C16:0. For additional details, consult the definitive work on fatty acids available elsewhere (Harwood and Scrimgeour 2007). The common fatty acids generally found in the lipid-based biomasses used for biofuel production are summarized in Table 5.1.
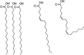
The distribution of fatty acids in glycerides, commonly called the fatty acid profile, fatty acid composition, or fatty acid component, is individually specified by the nature of each lipid-based biomass. For example, animal fat is typically composed of saturated fatty acids with high carbon numbers (up to 16 atoms), and thus it is a solid at ambient temperature. In addition, the linear structure of saturated fatty acids allows the individual molecules to get closer to each other than does the bent structure of unsaturated fatty acids, as illustrated in Figure 5.2. Consequently, the glycerides that contain a large number of PUFAs are liquids at ambient, even low temperature, because of the steric hindrance among the fatty acid chains. For instance, PUFAs are usually found in fish oils, particularly arctic marine fish oils. On the other hand, the oil plants such as oil palm (Elaeis guineensis) and coconut (Cocos nucifera) have a high amount of saturated fatty acids, whereas some of them, such as olive (Olea europaea) and sunflower (Helianthus annuus), have a high amount of unsaturated fatty acids. It could be concluded that the exact molecular structure of each lipid-based biomass is unclear. For further analytical methods and discussions of triglycerides’ structure, authoritative literature is available (Christie et al. 2007).
TABLE 5.1 Fatty Acids Commonly Found in Lipid-Based Biomasses
Common Name | IUPAC Name | Number of Carbon | Number of Double Bond | Shorthand Name | Molecular Weight |
Caprylic acid | Octanoic acid | 8 | 0 | C8:0 | 144.21 |
Capric acid | Decanoic acid | 10 | 0 | C10:0 | 172.26 |
Lauric acid | Dodecanoic acid | 12 | 0 | C12:0 | 200.32 |
Myristic acid | Tetradecanoic acid | 14 | 0 | C14:0 | 228.37 |
Palmitic acid | Hexadecanoic acid | 16 | 0 | C16:0 | 256.42 |
Stearic acid | Octadecanoic acid | 18 | 0 | C18:0 | 284.47 |
Oleic acid | Octadecenoic acida | 18 | 1 | C18:1 | 282.46 |
Linoleic acid | Octadecadienoic acida | 18 | 2 | C18:2 | 280.45 |
Linolenic acid | Octadecatrienoic acida | 18 | 3 | C18:3 | 278.44 |
a The position(s) of the double bond(s) in this fatty acid molecule is(are) not specified.

Figure 5.2 Chemical structures of saturated (three molecules of C18:0) and unsaturated fatty acids (C18:1 and C18:2).
The fatty acid profiles of fats and oils can be conveniently analyzed using the two American Oil Chemists’ Society (AOCS) standard methods (Christie et al. 2007). First, AOCS Ce 2-97 can be applied to prepare methyl esters of fatty acids using boron trifluoride (BF3) in methanol (MeOH) as the reactant. The bottom layer, which contains glycerol, is removed by phase separation. Because of the high boiling point of the glycerides, conversion into a fatty acid methyl ester can prevent the thermal decomposition of glycerides before they are volatized. Second, the amount of each fatty acid in the top layer can be quant...
Table of contents
- Cover
- Half Title
- Title Page
- Copyright Page
- Table of Contents
- Preface
- Editors
- Contributors
- SECTION I Overview of Biofuels
- SECTION II Production of Biofuels
- SECTION III Biofuels from Algae
- SECTION IV Future Perspectives of Biofuels
- Index