Metal Ions in Biochemistry
eBook - ePub

Metal Ions in Biochemistry

  1. 274 pages
  2. English
  3. ePUB (mobile friendly)
  4. Available on iOS & Android
eBook - ePub

About this book

The second edition of Metal Ions in Biochemistry deals with the multidisciplinary subject of bio-inorganic chemistry, encompassing the disciplines of inorganic chemistry, biochemistry and medicine.

The book deals with the role of metal ions in biochemistry, emphasising that biochemistry is mainly the chemistry of metal-biochemical complexes. Hence, the book starts with the structures of biochemicals and the identification of their metal binding sites. Thermodynamic and kinetic properties of the complexes are explained from the point of view of the nature of metal-ligand bonds. Various catalytic and structural roles of metal ions in biochemicals are discussed in detail.

Features

  • The role of Na+ and K+ in brain chemistry.
  • The role of zinc insulin in glucose metabolism and its enhancement by vanadium and chromium compounds.
  • Discussion of the role of zinc signals, zinc fingers and cascade effect in biochemistry.
  • Haemoglobin synthesis and the role of vitamin B12 in it.
  • The role of lanthanides in biochemical systems.
  • A detailed discussion of the role of non-metals in biochemistry, a topic missing in most of the books on bio-inorganic chemistry.

The study of bio-inorganic chemistry makes biochemists rethink the mechanistic pathways of biochemical reactions mediated by metal ions. There is a realisation of the role of metal complexes and inorganic ions as therapeutics such as iron in leukaemia, thalassemia and sickle cell anaemia, iodine in hypothyroidism and zinc, vanadium and chromium in glucose metabolism. The most recent realisation is of the use of zinc in the prevention and treatment of COVID-19.

Trusted by 375,005 students

Access to over 1.5 million titles for a fair monthly price.

Study more efficiently using our study tools.

Information

Publisher
CRC Press
Year
2020
Print ISBN
9780367622251
eBook ISBN
9781000292664

1

Structure of Cells and Introduction to Bioinorganic Chemistry

The living matter is, almost entirely, made up of cells. Human body consists of nearly 1011 cells, whereas amoeba has single cell. The average diameter of the cell is 10−3 cm, and the average weight is 10−6 g (Figure 1.1).
Image
FIGURE 1.1 Animal cell.
Except the red blood corpuscles of some mammals, the cells contain a nucleus. Its area is one-third of the cell and is darker in colour. Each nucleus contains a definite number of chromosomes, which are highly linearly organised DNA–RNA–protein complexes, called chromatin. The daughter cell formed by the mitotic division of a cell contains the same number of chromosomes as the parent cell. The interior of the nucleus has a dense and more spherical region, mostly made of RNA, called nucleolus or nucleoplasm.
The nucleus is separated from the surrounding cytoplasm by a 75 Å thick membrane. The macromolecules, like RNA, are synthesised inside the nucleus and then passed on to the cytoplasm through the holes in the nuclear membrane.
The cytoplasm, surrounding the nucleus, is a jelly-like substance. The cytoplasmic fluid contains water, carbohydrates, phosphates, enzyme proteins, and alkali metal and chloride ions. The cytoplasm also consists of rigid ellipsoidal structures, called mitochondria and granular, globular or rod-like bodies, called Golgi bodies. The mitochondria are next to nucleus in size and are the powerhouse of the cell, being the sites for production of intracellular energy. The biological processes, such as oxidation, respiration, formation and breakdown of the proteins and synthesis of fats and glycogens, take place in different parts of the mitochondria. The Golgi bodies are specialised for the production and secretion of hormones, proteins, etc.
The cytoplasm also consists of lipoprotein membranes, in the form of tubules and vesicles, which act as interconnecting channels between nuclear membrane and cell membrane. Such complex network is called endoplasmic reticulum. There are millions of granules of ribonucleoproteins, attached to endoplasmic reticulum. These granules are called ribosomes. The Golgi bodies collect the proteins and other secretions, produced by the ribosomes, and pass these outside the cell.
Besides these, there are vesicles in the cytoplasm, filled with watery fluids and also vacuole-like cytoplasmic bodies called lysosomes. The lysosomes are third in order in size after nucleus and mitochondria and are surrounded by a membrane. They mainly store hydrolytic enzymes useful for the digestion of ingested micronutrients. In living cells, these hydrolytic enzymes remain confined inside the membrane. On the death of the cell, the lysosome membrane breaks, and the hydrolytic enzymes are released, leading to rapid disintegration of the dead cell. Thus, the lysosomes act as scavengers in quick elimination of the dead cell.
The cells are surrounded by 70 Å thick biomolecular membrane. It is strong and insoluble, and thus protects the cell and maintains its structure. The cell membrane can discriminate between useful and harmful substances. It allows access to nutrients and prevents the entry of toxic substances.
The cell membrane is made of phospholipids, coated on both the sides with proteins. The general structure of the lipid molecule is shown in Figure 1.2.
Image
FIGURE 1.2 Lipid structure.
The phospholipids have a hydrophobic and a hydrophilic end, and exhibit surfactant properties. In the cell membrane, the lipids have a bilayer structure, with the polar heads of the lipids pointing outwards. Depending on the hydrophobic or hydrophilic nature of the protein, it occupies different parts of the lipids. The protein is considered to float like icebergs in the “fluid mosaic model” of the cell membrane (Figure 1.3).
Image
FIGURE 1.3 Cell membrane.

Biomolecules and Their Metal Coordination Behaviour

Seventy to ninety per cent of most form of life is made up of water. The H bonding between water molecules leads to molecular association, resulting in its unusual physical properties, such as high melting point (m.p.) and boiling point (b.p.), high specific gravity and specific heat, and high latent heat of fusion and evaporation. The dipolar water molecule can form only weak bonds with the metal ions.
Besides water, other molecules present in biosystems are as follows:
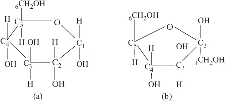
  1. Sugars: They serve as source of energy in biochemical systems. Oxidation of glucose in the respiration liberates energy and sustains life. Hexose sugar (C6H12O6) occurs in the form of aldohexoses (glucose, galactose, mannose being more important, having six-membered ring structure) and ketohexose (fructose, having five-membered ring structure) (Figure 1.4).
    Image
    FIGURE 1.4 (a) Aldohexose. (b) Ketohexose.
    Various hexoses condense, forming glycosidic linkages, and result in polysaccharides (C6H10O5)n,e.g. starch and cellulose.
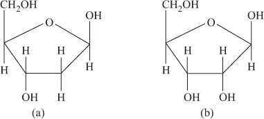
    Pentose sugar ribose (C5H10O5) and deoxyribose (C5H10O4) are the constituents of RNA and DNA, respectively (Figure 1.5).
    Image
    FIGURE 1.5 (a) Deoxyribose. (b) Ribose.
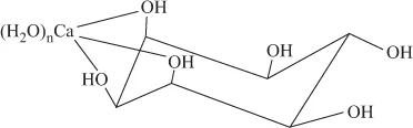
    Sugars have weak binding tendency with metal ions. Weak complexes are formed by the coordination of sugars from –OH sites. Mainly, sugar complexes of hard acid metal ions, like Ca2+, are known. The structure of Ca(II) complex of inositol is shown in Figure 1.6.
    Image
    FIGURE 1.6 Calcium complex of inositol.
    Allose, lactose and ribose form relatively more stable complexes, but are not abundant in nature. The gel formation of the polysaccharide alginic acid, in the presence of Ca, is attributed to the binding of the Ca(II) ions to the –OH and –O groups of the two constituent molecules, β-d-mannuronic acid and α-l-gluconic acid, of the polysaccharide.
  2. Amino acids: Amino acids are the basic constituents of the polypeptides and proteins. Essentially, they have an acidic –COOH group and a basic –NH2 group and hence in neutral solution exist as zwitterion (Figure 1.7a).
    Image
    FIGURE 1.7 (a) Glycine. (b) Glutamic acid. (c) Aspartic acid.
    In the case of polycarboxylic amino acids (glutamic acid, aspartic acid), there are additional acidic sites (Figure 1.7a, b and c), whereas the amino acids histidine and arginine have additional basic imidazole or secondary amine sites, respectively (Figure 1.8a and b).
    Image
    FIGURE 1.8 (a) Histidine. (b) Arginine.
    The ionic properties of amino acids are responsible for their buffering activity in biological systems.
    Amino acids are strongly coordinating molecules, binding to the metal ion from NH2 and COO sites, resulting in the formation of chelate rings.
    The formation constants of the metal complexes KMLM should increase with the basicity of the amino acid, that is proton binding capacity of NH2 site.
    M+LMLKMLM=[ML][M][L](1.1)
    If the amino acid has additional coordinating sites, it can form more stable complex. For example, aspartic acid has an additional acidic carboxylic group. It forms more stable complex, as there is coordination from two carboxylates and NH2 site, resulting in greater stability (Figure 1.9a).
    Image
    FIGURE 1.9 (a) Aspartate. (b) Cysteine.
    Cysteine, with an additional SH coordinating site, is ambidentate in character (Figure 1.9b). It can coordinate from NH2 and SH sites or from NH2 and COO sites. It has, however, been confirmed that the coordination is of the former type, as the formation constant of Zn(II) cysteine complex is comparable with that of ...

Table of contents

  1. Cover
  2. Half Title
  3. Title Page
  4. Copyright Page
  5. Dedication
  6. Table of Contents
  7. Preface to First Edition
  8. Preface to Second Edition
  9. Acknowledgements
  10. Authors
  11. 1. Structure of Cells and Introduction to Bioinorganic Chemistry
  12. 2. Thermodynamic and Kinetic Properties of Metal Complexes
  13. 3. Alkali and Alkaline Earth Metal Ions in Biochemical Systems
  14. 4. Zinc in Biochemical Systems
  15. 5. Iron in Biochemical Systems
  16. 6. Copper in Biochemical Systems
  17. 7. Cobalt in Vitamin B12 in Biochemical System
  18. 8. Molybdenum in Nitrogen Fixation in Plants
  19. 9. Magnesium and Manganese in Photosynthesis in Plants
  20. 10. Less Common Trace Metal Ions in Biochemical Systems
  21. 11. Metal Ion Toxicity in Biochemical Systems
  22. 12. Metal Complexes in Therapeutics
  23. 13. Role of Trace Nonmetals in Biochemical Systems
  24. Answers
  25. Suggested Reading
  26. Index

Frequently asked questions

Yes, you can cancel anytime from the Subscription tab in your account settings on the Perlego website. Your subscription will stay active until the end of your current billing period. Learn how to cancel your subscription
No, books cannot be downloaded as external files, such as PDFs, for use outside of Perlego. However, you can download books within the Perlego app for offline reading on mobile or tablet. Learn how to download books offline
Perlego offers two plans: Essential and Complete
  • Essential is ideal for learners and professionals who enjoy exploring a wide range of subjects. Access the Essential Library with 800,000+ trusted titles and best-sellers across business, personal growth, and the humanities. Includes unlimited reading time and Standard Read Aloud voice.
  • Complete: Perfect for advanced learners and researchers needing full, unrestricted access. Unlock 1.5M+ books across hundreds of subjects, including academic and specialized titles. The Complete Plan also includes advanced features like Premium Read Aloud and Research Assistant.
Both plans are available with monthly, semester, or annual billing cycles.
We are an online textbook subscription service, where you can get access to an entire online library for less than the price of a single book per month. With over 1.5 million books across 990+ topics, we’ve got you covered! Learn about our mission
Look out for the read-aloud symbol on your next book to see if you can listen to it. The read-aloud tool reads text aloud for you, highlighting the text as it is being read. You can pause it, speed it up and slow it down. Learn more about Read Aloud
Yes! You can use the Perlego app on both iOS and Android devices to read anytime, anywhere — even offline. Perfect for commutes or when you’re on the go.
Please note we cannot support devices running on iOS 13 and Android 7 or earlier. Learn more about using the app
Yes, you can access Metal Ions in Biochemistry by Pabitra Krishna Bhattacharya,Prakash B. Samnani in PDF and/or ePUB format, as well as other popular books in Biological Sciences & Biochemistry in Medicine. We have over 1.5 million books available in our catalogue for you to explore.