Creative Problem Solving for Managers
eBook - ePub

Creative Problem Solving for Managers

Developing Skills for Decision Making and Innovation

  1. 374 pages
  2. English
  3. ePUB (mobile friendly)
  4. Available on iOS & Android
eBook - ePub

Creative Problem Solving for Managers

Developing Skills for Decision Making and Innovation

About this book

Stimulating and developing the creative potential of all members of an organisation is widely seen as contributing to performance and results. This prestigious textbook provides a complete overview of the creative problem-solving process and its relevance to modern managers in the private and public sectors. It introduces ideas, skills and models to help students understand how creative thinking can aid problem solving, and how different techniques may help people who have different thinking and learning styles.

This updated fifth edition includes fresh case studies, exercises and suggested reading, alongside extensive diagrams and thought-provoking questions. A new chapter considers the use of heuristics in decision-making situations faced by managers, and examines how aspects of creative problem solving can relate to such situations. It also introduces a complex in-tray exercise, which demonstrates how the conflicting demands on an individual manager can be considered in practice. Supporting PowerPoint slides for lecturers are available for each chapter.

Creative Problem Solving for Managers will continue to be an ideal resource for undergraduate and postgraduate students studying problem solving, strategic management, creativity and innovation management, as well as managers looking to develop their decision-making abilities.

Tools to learn more effectively

Saving Books

Saving Books

Keyword Search

Keyword Search

Annotating Text

Annotating Text

Listen to it instead

Listen to it instead

Information

Publisher
Routledge
Year
2018
Print ISBN
9781138312364
eBook ISBN
9780429857171

Chapter 1
Creativity and its importance in business

Creative thinking plus new technology leads to a competitive advantage
The internet comprises an immense network of interconnected computers, and the World Wide Web is a collection of webpages found on this network of computers. The World Wide Web was invented by Sir Tim Berners-Lee when he was attempting to find an easier way for scientists to share data from their experiments. Its creation opened up the internet to everyone, allowing people to share their work and thoughts through social networking sites, blogs and video sharing. Moreover, the World Wide Web is not only useful to individuals but has come to be recognised as a way for organisations and firms to conduct business in an efficient manner. One such organisation is Amazon. From its origins as an online bookseller in the late 1990s Amazon has expanded to offer many different products. Technological innovation has played an important part in this. In addition, the firm’s marketing strategy of focusing on making the online shopping experience as seamless as possible has been a key element in its success. With one click of a button the customer is able to place and pay for their order, and the system also remembers key details such as the delivery address.

Introduction

In this chapter we first review the changing times and look at the impact it has on us and on the need for creative thinking. Next we review definitions of creativity and highlight the importance of creative problem solving in assisting business executives get to grips with novel or new problems. Next we distinguish creativity from innovation. Creativity in business is extremely important since it is the means of generating new ideas which are required to deal with previously unmet situations. It also gives businesses a competitive edge in the marketplace, enabling them to survive and even stay ahead of the competition. We pick out those instances where creativity is most needed, noting in particular the phenomenon of paradigm shift. Paradigm shifts occur when a totally new way of doing things becomes universally adopted. This chapter sets the scene for the next chapter, where we discuss some of the blocks people may encounter in coming up with ideas and how these blocks may be overcome.
Aircraft Pollution
With the advent of the jet engine and advanced navigational instrumentation the airline industry was born. The death knell was sounded for the transatlantic passenger liner, and as one product life-cycle drew to a close a new one began. The jet engine heralded a paradigm shift in civil aviation, and creativity was needed to harness, exploit and market the applications of the newfound technology. Some fifty years on, serious questions are now being raised about the viability of air travel in the long term. High levels of environmental pollution from aircraft emissions during flight and the environmental impact of the growth of airports in densely populated areas are only two of the issues that are becoming a cause for concern. Creative thinking is required to find ways of dealing with both of these issues.

Changing Times

The first few years of the present century saw technology advancing in line with that experienced during the last years of the twentieth century. The trend has continued, but alongside the prominence of technology in creating change, economic, political and social pressures have come to dominate the scene. In the past few years the latter have begun to produce problems which are difficult to solve. In business there is a need to gain insight into such problems. Questions such as ‘How does one stimulate growth in sales and profits when there is no growth to be had?’ may be at the back of managers’ minds. Or even, ‘How can we ensure that the business will survive?’ They cannot, however, assume, like Dickens’ Wilkins Micawber, that ‘something will turn up’. Challenging assumptions is at the heart of creative problem solving.
In Chapter 2 of this book we will examine the reasons why people have difficulty in challenging assumptions and thinking in a creative manner about such problems. In Chapter 5 we will explore this topic further and see how and why people have different approaches and different preferences in relation to thinking and how this can impact on their approach to finding solutions to some kinds of challenging problems. Of course, it is helpful to understand something about how people get ideas and how this can be encouraged in individuals and organisations. In Chapters 3 and 4 we look at the theoretical ideas relating to creativity and creative problem solving. The techniques sections of the book are intended as guides to help people generate ideas. Chapter 11, which features paradigm breaking approaches and comments on the positive and the negative consequences of disruptive technology, may be of particular interest.
In Chapters 13 to 15 we examine how ideas might be evaluated (Ch. 13), decisions made (Ch. 14) and the problems that might be encountered in implementing decisions and how these might be overcome (Ch. 15). Evaluating ideas, making decisions and implementing those decisions is perhaps the hardest part of the creative problem-solving process. Ideas arise sequentially and what we determine is the best idea today we may not prefer tomorrow. In addition, just how certain can we be that our judgements are sound? Are we really using the right criteria by which to judge ideas? When it comes to implementing ideas the situation is equally obscure. Moreover, it is all well and good coming up with what seem to us to be good ideas, but will those who have to put the ideas into practice have the same view?
Technology marches steadily onwards, developing new, more powerful and convenient devices to improve people’s lives both inside and outside of work. The internet has grown like some giant spider’s web across the vast emptiness of hyperspace, providing hubs of activity for social and business networking and communication exchange. It provides a mechanism for the exchange of creative ideas and insights into intransigent problems. At the same time technology has not stood still in developing more convenient and sophisticated personal computers and communication devices. ‘Apps’ are one of the buzzwords of the day and they abound in huge numbers; some even facilitate the use of creative problem-solving techniques. These are all developments that we will examine in Chapter 16.
Let us now turn to look at creativity and how people have tried to define it.

Some Definitions of Creativity

What is creative thinking?

Creativity is a concept which we often come across in our everyday conversation. We hear of creative people, admire creative objects of art or read creative books. Yet, despite our almost innate understanding of what it means to be creative, there is much confusion about the nature of creativity.
It is useful to examine how ideas about the nature of creativity have developed over the years. Wertheimer ([1945] 1959) suggested that creative thinking involved breaking down and restructuring our knowledge about something in order to gain new insights into its nature. Understanding our own cognitive model of reality may therefore be an important determinant of our ability to think creatively (Kelly,1955; Rogers,1954). Creativity is something which occurs when we are able to organise our thoughts in a way that leads to a different and even better understanding of the subject or situation we are considering.
Maslow (1954) thought of creativity as having two levels. He envisaged primary creativity as the source of new discovery, real novelty, or ideas which depart from what exists at a given point in time. He saw secondary creativity as a characteristic possessed by many scientists in their collective search for discovery and achieved by working alongside other people, extending the work of previous researchers, and exercising prudence and caution in their claims about new insights or ideas. He envisaged creativity as an aspect of human nature to be found universally in all human beings. In children he felt it to be an easily observable phenomenon, but he suggested it was something that adults lose, surfacing mainly in dreams with the relaxation of repressions and defences. It was a view that was echoed subsequently by Stein (1974), who argued that without such an assumption the techniques for stimulating creativity would have no application.
Rickards (1985: 5) defines creativity as ‘the personal discovery process, partially unconscious, which leads to new and relevant insights’. Rickards (1988: 225) also advocates a view of creativity as a universal human process resulting in the escape from assumptions and the discovery of new and meaningful perspectives, or as an ‘escape from mental stuckness’. In broad terms he believes creativity is to do with personal, internal restructuring.
More simply, creativity can be thought of as ‘the production of novel and useful ideas in any domain’ (Amabile et al., 1996: 1155) – and in a business context, ‘creativity is the production of new ideas that are fit for a particular business purpose’ (Pryce, 2005).
Parkhurst (1999) points out the lack of consensus regarding the definition of creativity but that many researchers agree that creativity may be defined in relation to the terms ‘new and useful’ (Mumford, 2003), which suggests that a creative product is that which is deemed to be novel or original and useful or adaptive (Batey, 2012). Indeed, Simonton (2017) points out that there is no dearth of alternative definitions of creativity and that some would claim that there is a ‘standard definition’, namely, originality and effectiveness (Runco and Jaeger, 2012). However, he suggests that even this definition has some deficiencies. These various definitions seem to agree that creativity involves an ability to come up with new, different and even useful viewpoints. However, any definition of creativity is complicated because the concept is multifaceted.
Creative thinking becomes extremely important when considering what to do when a change in the status quo has occurred or is about to occur. New ways of looking at a situation may be required and an existing paradigm for dealing with the perceived new situation may appear to be inadequate. This is the case when a paradigm shift has occurred.

Paradigm Shift

Kuhn (1962) defined and popularised the concept of ‘paradigm shift’ (p. 10). Kuhn argued that science does not evolve, rather it follows a ‘series of peaceful interludes punctuated by intellectually violent revolutions’, and in those revolutions ‘one conceptual world view is replaced by another’.
A paradigm is a set of rules and regulations that defines boundaries and helps us to be successful within those boundaries, where success is measured by the problems solved using these rules and regulations. Paradigm shifts are different from continuous improvement. Examples include: going from donkey cart or horse-drawn carriage to car or travelling long distances by aeroplane instead of bus or ocean liner. Paradigm shifts have made it possible to send complex, accurate messages over great distances: they have facilitated moving from primitive methods such as shouting, smoke, fire, drum, flag signals to highly sophisticated mechanisms such as telegraph, telephone, fax, live video by wire, optical fibre, and communications satellite.
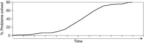
Paradigms have life-cycles, and towards the end of the life-cycle problem solving becomes more costly, more time-consuming and less satisfactory (Figure 1.1). Solutions no longer fit the larger context because of changes that have occurred elsewhere. Nowhere is this better illustrated than in the case of needing to improve parts of the UK motorway network. Widening sections not only involves millions of pounds of taxpayers’ money but also place an additional unestimated burden on motorists in terms of long delays, excessive fuel consumption while negotiating the sections involved, and psychological stress which is difficult even to estimate. The paradigm of widening busy stretches of motorway must surely be in the final stages of its life-cycle. A paradigm shift is urgently required.
Towards the end of the life-cycle, problem solving becomes more costly, more time-consuming and less satisfactory. Solutions no longer fit the larger context because of changes that have occurred elsewhere.
Figure 1.1 Paradigm life-cycle curve
Figure 1.1
Paradigm life-cycle curve
Paradigm shifts require a change in perspective on the subject. Blinkered thinking associated with holding too rigorously to a paradigm can lead to missing opportunities and overlooking threats which may have a critical impact on a business. Two competitors may see the same opportunity or threat in different ways, and the one that is able to make the best response can gain a sustainable competitive advantage over its rival.
The process of paradigm shift can be encouraged and effected early through the use of creative thinking. Creative thinking introduces notions and ideas that would not normally be contemplated in problem solving. Creative problem-solving methods make extensive use of techniques and approaches that help to find solutions to recalcitrant...

Table of contents

  1. Cover
  2. Half Title
  3. Title
  4. Copyright
  5. Contents
  6. List of Illustrations
  7. Preface to the fifth edition
  8. 1 CREATIVITY AND ITS IMPORTANCE IN BUSINESS
  9. 2 BLOCKS TO CREATIVITY
  10. 3 THEORIES OF CREATIVITY AND THE CREATIVE PROBLEM-SOLVING PROCESS
  11. 4 PROBLEM SOLVING AND IMPROVISATION
  12. 5 FACTORS INFLUENCING PEOPLE'S ABILITY TO UNDERTAKE IDEATION
  13. 6 OBJECTIVE FINDING, FACT FINDING AND PROBLEM FINDING/DEFINITION
  14. 7 MORPHOLOGICAL ANALYSIS AND RELATED TECHNIQUES
  15. 8 BRAINSTORMING AND ITS VARIANTS
  16. 9 LATERAL THINKING AND ASSOCIATED METHODS
  17. 10 SYNECTICS
  18. 11 PARADIGM-BREAKING TECHNIQUES
  19. 12 MISCELLANEOUS IDEATION TECHNIQUES
  20. 13 EVALUATION
  21. 14 DECISION MAKING AND PROBLEM SOLVING
  22. 15 IMPLEMENTING IDEAS
  23. 16 COMPUTER-ASSISTED CREATIVE PROBLEM SOLVING
  24. Appendix 1: Case example of the creative problem-solving process
  25. Appendix 2: Notes on problems
  26. References
  27. Author index
  28. Subject index

Frequently asked questions

Yes, you can cancel anytime from the Subscription tab in your account settings on the Perlego website. Your subscription will stay active until the end of your current billing period. Learn how to cancel your subscription
No, books cannot be downloaded as external files, such as PDFs, for use outside of Perlego. However, you can download books within the Perlego app for offline reading on mobile or tablet. Learn how to download books offline
Perlego offers two plans: Essential and Complete
  • Essential is ideal for learners and professionals who enjoy exploring a wide range of subjects. Access the Essential Library with 800,000+ trusted titles and best-sellers across business, personal growth, and the humanities. Includes unlimited reading time and Standard Read Aloud voice.
  • Complete: Perfect for advanced learners and researchers needing full, unrestricted access. Unlock 1.4M+ books across hundreds of subjects, including academic and specialized titles. The Complete Plan also includes advanced features like Premium Read Aloud and Research Assistant.
Both plans are available with monthly, semester, or annual billing cycles.
We are an online textbook subscription service, where you can get access to an entire online library for less than the price of a single book per month. With over 1 million books across 990+ topics, we’ve got you covered! Learn about our mission
Look out for the read-aloud symbol on your next book to see if you can listen to it. The read-aloud tool reads text aloud for you, highlighting the text as it is being read. You can pause it, speed it up and slow it down. Learn more about Read Aloud
Yes! You can use the Perlego app on both iOS and Android devices to read anytime, anywhere — even offline. Perfect for commutes or when you’re on the go.
Please note we cannot support devices running on iOS 13 and Android 7 or earlier. Learn more about using the app
Yes, you can access Creative Problem Solving for Managers by Tony Proctor in PDF and/or ePUB format, as well as other popular books in Business & Business General. We have over one million books available in our catalogue for you to explore.