Financial Management for Technology Start-Ups
eBook - ePub

Financial Management for Technology Start-Ups

How to Power Growth, Track Performance and Drive Innovation

  1. English
  2. ePUB (mobile friendly)
  3. Available on iOS & Android
eBook - ePub

Financial Management for Technology Start-Ups

How to Power Growth, Track Performance and Drive Innovation

About this book

More than a third of start-ups fail due to founders having a poor understanding of financial management. Become financially savvy with this easy to understand guide and learn how to effectively grow your business, communicate with investors and progress to the next level.

Start-ups face many challenges but managing the finances does not need to be one. Financial Management for Technology Start-Ups offers a complete financial toolkit on how to use this area of your business to your advantage. This book contains invaluable tools and insights designed specifically for tech start-ups, with a concentrated focus on what is important in financial terms for technology-based and innovation focused entrepreneurial businesses.

The fully updated second edition offers greater analysis of financial statements directly from real-world start-ups, charts the success of businesses that went from start-up to scale-up with all new case studies and covers new digital technologies, emerging opportunities in the ecosystem, developing markets and much more. For entrepreneurs and tech innovators, this is a must-have book to help take your idea from concept to company with clear and effective financial insights.

Trusted by 375,005 students

Access to over 1.5 million titles for a fair monthly price.

Study more efficiently using our study tools.

Information

Publisher
Kogan Page
Year
2022
Print ISBN
9781398603066
Edition
2
eBook ISBN
9781398603073
Subtopic
Accounting
08

Tracking your start-up’s growth

Now you have your investor’s monies, you will need to focus on your costs, revenues, profits and investment returns. In this chapter, we look at a few financial management concepts to use in moving your start-up forward. Both you and your investors will expect the time, resources and money put into your business to yield some return. We will start by considering the all-important return-on-investment metric. Based on that, we will discuss how a basic costing approach can be beneficial, although sometimes we will need to use ‘activity accounting’ to really drive profits. This comes in handy, particularly when investment in technology and a growing product range means that your costs start to mushroom. We will find that it’s essential to know the cost of reaching customers and then working out their lifetime value for your start-up. You will learn here how you can use all this information to gauge your strategy along the way and decide on turning points and pivoting your business. Possibly, there may come a time when you decide to leave your successful start-up behind – what exit strategies are open? Finally, we end the chapter with the ‘Tech Start-up Tracker’, which brings together all that we’ve discussed into a scorecard enabling you to assess your start-up’s performance and progress. This chapter will discuss the following points and concepts:
  • Your return on investment concerns you and your investors.
  • You need to cost your products and know when you go off track.
  • Activity accounting could help you make more money.
  • Getting and keeping customers can be costly – what to monitor.
  • What to do if you want out.
  • Tracking your start-up!

Are your returns what they should be?

All investors seek returns on their investments. In Chapter 5, we looked at how you can use ratios to analyse your start-up’s performance. Once you know what your investors want from you via the term sheet, you can use the return on investment (ROI) measure to assess performance. Angels and venture capitalists pay extreme attention to ROI. It reveals how able you are to deliver a return by showing the income yielded for the amount invested. We can calculate it as follows:
Return on investment = Income / Investment
So, an investor will look at it from this perspective:
Return on investment equals start fraction left parenthesis gains from investment minus cost of investment right parenthesis over cost of investment.
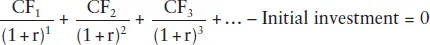
As suggested in the previous chapter, we can assume that business angels are looking to make 20–30 per cent return on their portfolio of investments, with many venture capital firms seeking to make no less than 30 per cent. But, what do investors mean when they stipulate, say, a 30 per cent minimal hurdle rate of return? What they’re referring to is the internal rate of return (IRR). This is the rate that discounts the future cash amounts resulting from an investment. It ensures that the sum of the present values of these amounts are equal to the cash paid now to make the investment. The formula looks like this:
An equation to find the rate of future cash amount discounts from an investment. The equation is as follows: start fraction caps C caps F subscript 1 baseline over left parenthesis 1 plus r right parenthesis superscript 1 baseline end fraction plus start fraction caps C caps F subscript 2 baseline over left parenthesis 1 plus r right parenthesis squared baseline end fraction plus start fraction caps C caps F subscript 3 baseline over left parenthesis 1 plus r right parenthesis cubed baseline end fraction plus etcetera minus initial investment equals 0.
In the above, r is the IRR; CF1 is the Period 1 net cash inflow; CF2 is the Period 2 net cash inflow; CF3 is the Period 3 net cash inflow, and so on.
Suppose you’ve secured $1,000,000 in funding. Table 8.1 shows what your investor wants.
Table 8.1 What the investor wants
Skip table
Investment
Return on investment
Return of investment
Cash flow
$1,000,000
×
30% = $300,000
+
– $300,000
$0
$1,300,000
×
30% = $390,000
+
– $390,000
$0
$1,690,000
×
30% = $507,000
+
$1,690,000
$2,197,000
Whilst your venture capital investor expects to earn 30 per cent on average, they do not really want a cash payment at the end of each year. And since there’s no cash to be paid out at the end of Years 1 or 2, they will want the expected 30 per cent on these unpaid cash flows accruing from year to year on a compounded basis. That is, the IRR is 30 per cent because the internal amount continues to gain 30 per cent on the investment made. An investment of $1,000,000 put into your start-up today could be worth $2,197,000 in three years, as shown above. But, we all know things do not always turn out as planned. For a venture capitalist, maybe one out of...

Table of contents

  1. About the author
  2. Preface
  3. List of abbreviations
  4. Acknowledgements
  5. 01 Now is the time
  6. 02 Tech start-ups: why they’re different
  7. 03 Start-up contribution analysis
  8. 04 Start-up financial analysis
  9. 05 Start-up progress analysis
  10. 06 The importance of being liquid
  11. 07 What’s it worth to you?
  12. 08 Tracking your start-up’s growth
  13. Glossary
  14. Resources
  15. Index

Frequently asked questions

Yes, you can cancel anytime from the Subscription tab in your account settings on the Perlego website. Your subscription will stay active until the end of your current billing period. Learn how to cancel your subscription
No, books cannot be downloaded as external files, such as PDFs, for use outside of Perlego. However, you can download books within the Perlego app for offline reading on mobile or tablet. Learn how to download books offline
Perlego offers two plans: Essential and Complete
  • Essential is ideal for learners and professionals who enjoy exploring a wide range of subjects. Access the Essential Library with 800,000+ trusted titles and best-sellers across business, personal growth, and the humanities. Includes unlimited reading time and Standard Read Aloud voice.
  • Complete: Perfect for advanced learners and researchers needing full, unrestricted access. Unlock 1.5M+ books across hundreds of subjects, including academic and specialized titles. The Complete Plan also includes advanced features like Premium Read Aloud and Research Assistant.
Both plans are available with monthly, semester, or annual billing cycles.
We are an online textbook subscription service, where you can get access to an entire online library for less than the price of a single book per month. With over 1.5 million books across 990+ topics, we’ve got you covered! Learn about our mission
Look out for the read-aloud symbol on your next book to see if you can listen to it. The read-aloud tool reads text aloud for you, highlighting the text as it is being read. You can pause it, speed it up and slow it down. Learn more about Read Aloud
Yes! You can use the Perlego app on both iOS and Android devices to read anytime, anywhere — even offline. Perfect for commutes or when you’re on the go.
Please note we cannot support devices running on iOS 13 and Android 7 or earlier. Learn more about using the app
Yes, you can access Financial Management for Technology Start-Ups by Alnoor Bhimani in PDF and/or ePUB format, as well as other popular books in Business & Accounting. We have over 1.5 million books available in our catalogue for you to explore.