Long-standing artworks and monuments show the wisdom and cultural identity of an ancient society along with the educational, material and spiritual merits of the people of that time. However, many historical artifacts and cultural monuments have been eroded over time and are in danger of deterioration beyond repair. There is a need to protect and conserve these artifacts. Restoration and preservation requires a multidisciplinary understanding of the inherent properties of these works based on the type of material and sufficient information in the properties of protective and conservation materials and research methods. Protective Material Coatings For Preserving Cultural Heritage Monuments and Artwork aims to familiarize students with the recent practices in conservation and restoration science in recent years by presenting a modern orientation on the subject focused on material coatings. Readers will be able to understand the properties of different materials in antique objects and how to adopt appropriate treatment methods based on these properties. This book consists of 5 chapters. In the first chapter, materials analysis techniques are described for historical monuments along with coatings used to preserve them. The second chapter introduces the properties of metals, alloys, and their common corrosion and explains protection strategies for metal monuments. An emphasis is given to nanocomposite coatings to prevent decay, especially through electrochemical corrosion. Chapter 3 is devoted to studying natural leather and parchments and their conservation from damage by environmental factors such as UV radiation, temperature, and humidity. The fourth chapter deals with stone works, which are in many historical objects. Chapter 5 introduces the reader to additional preservation materials and innovative methods employed to protect historical monuments and cultural heritage sites. Information about the removal of materials, cleaning of improper prior repairs is also given. Protective Material Coatings For Preserving Cultural Heritage Monuments and Artwork is an ideal book for students of archeology, architecture, materials science and contemporary arts courses who are required to learn about the techniques of preserving antique buildings and works of art. It also serves as a handy reference for professionals and general readers interested in the curation of museums and the conservation of buildings, and cultural heritage sites.

eBook - ePub
Protective Material Coatings for Preserving Cultural Heritage Monuments and Artwork
- English
- ePUB (mobile friendly)
- Available on iOS & Android
eBook - ePub
Protective Material Coatings for Preserving Cultural Heritage Monuments and Artwork
About this book
Trusted by 375,005 students
Access to over 1.5 million titles for a fair monthly price.
Study more efficiently using our study tools.
Information
Topic
ArchitectureSubtopic
Architecture GeneralOrganic-Inorganic Nanocomposites Coatings in Conservation of Historical Monuments and Artworks
Amir Ershad-Langroudi
Abstract
Various destruction factors, such as vandalism and weathering, e.g., humidity and light (UV), threaten historical monuments and artworks. It is possible to produce organic and inorganic materials in nanometer dimensions and compose them to produce wide varieties of organic-inorganic nanocomposites with various properties and functionalities such as self-cleaning and anti-bacterial. Besides, the technology of using these materials has also undergone a fundamental change that has created nanotechnologies in the preservation, conservation, and consolidation of historical and cultural monuments. Nanocomposite hybrid coatings can be applied to various substrates of historical and artistic objects such as glass, paper, and stone to improve their performance, such as corrosion resistance or paper deacidification and improving hydrophobicity. The sol-gel method is one of the promising approach to prepare nanocomposite coatings with a variety of functionalities. In addition, sol-gel methods allow preparing nanoparticles with more efficiency. Furthermore, nanotechnology provides the opportunity to conserve and restore artworks like the consolidation of wall paintings and cleaning surfaces from aged polymers and the consolidation of cellulosic papers against fungal growth by monitoring degradation processes such as water destruction and salt contamination.
Keywords: Coating, Hydrophobic, Inorganic nanoparticles, Protection, Sol-gel.
INTRODUCTION
Conservation and protection of historical monuments and cultural heritages are essential for each nation [1-4]. Many valuable treasures are endangered or destroyed for different reasons [5-7]. In recent years, nanomaterials and nanotechnologies have been suggested to preserve and conserve historical monuments [6-13]. The sol-gel process is one of the conventional methods of preparing nanoparticles, and nanocomposite coatings [14-22]; some practical examples in this field are mentioned, like consolidation and corrosion resistance improvement [22-37]. It also refers to nanomaterials' applications to deacidification from cellulose artworks and removing aging polymeric layers from cultural objects [29-36].
Features of Protective Coatings
Materials, especially organic-based material used to protect historical artifacts, must be tested by multiple and rigorous tests [37-40]. Each material's characteristics and operating conditions are determined with these experiments, especially by applying accelerated weathering conditions [41-46].
The essential features are considered in this regard include the following:
- Study properties and stability of materials, specifically chemical structure, physical and mechanical properties, service time, and aging test. Because cultural artifacts should have long-term protection, any treatment must be long-term to minimize intervention and the number of taken actions [47-53].
- Evaluate the interaction between protective materials and historical materials on whether antiquities and preservatives can be placed together without adverse interaction [54-56].
- Evaluation of durability and aging before and after applying protective material [57-62].
- Provide plans to remove the protective material from the monument without severe damage to the work in case of emergency or when a more suitable option is available [63-67].
- Research on maintaining the aesthetic appearance of historical objects after applying the coating [68, 69].
- Research on color change over time or under light radiation [70-74].
In some cases, the above items may conflict. Therefore, it may be necessary to ignore some of them due to their lesser importance and make the best choice with a set of factors.
Polymeric Materials
Various organic and inorganic materials apply to the conservation and restoration of historical artworks [75-79]. However, several severe tests must evaluate and approve these materials before using them in practical conditions. These materials' characteristics and performance are considered, especially under critical situations such as artificial aging by accelerating weathering tests. Besides, the probable interactions measure the protective coating materials and the historical materials in the artworks. They should be compatible with each other without any adverse interactions. The conservation and protection coating must preserve the original aesthetic of artworks from any side effects, especially under light irradiation and aging time. Furthermore, eliminating the protective layer from the historical art-
works must be done without severe damage if necessary or when better alternative coatings or protective materials are available.
The following categories are more prevalent in protection, conservation, and restoration fields:
- 1- Silanes and siloxanes [80-83]
- 2- Epoxies and alkoxysilane with a functional group [84-89]
- 3- Acrylics and alkoxysilane with double bond functional groups [90-93]
The use of silanes and alkoxysilane compounds can strengthen and stabilize the substrates, such as ancient stones, by deep penetration. Due to the possibility of covalent bonding with the background, it is not easily possible to remove them. The following three sections are devoted to explaining these types of coatings.
Silanes and Siloxanes
Silanes and siloxane-based coatings have been used for many years in various fields to consolidate and protect historical monuments and artworks [94-96].
Sol-gel Process
The silanes can be hydrolyzed by water or alcohol and converted to silanols, which are then reacted to by condensation reactions and eventually form polymers called polysiloxanes or silicones [97-99]. The absorbing humidity in the historical monument or the moisture in the atmosphere supplies the water required to form silanol. Therefore, hydrolysis and condensation reactions may occur after absorbing the protective coating in the monument and penetrating its cavities [100-102]. On the other hand, cosolvents improve homogenizing the reactant mixture and catalysts to accelerate reactions [103-105]. Scheme. (1) represents the hydrolysis reaction of alkoxysilane to silanol (reaction 1) and the condensation reactions of silanol to siloxanes (reactions 2 and 3). Using various identification methods, hydrolysis and condensation of alkoxysilanes have been studied [105-113].
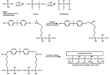
Trimethoxysilane and tetra-ethoxy (or methoxy) silane precursors are widely popular in the conservation and protection field. However, other silane precursors with formula, R'nSi(OR)4-n also used in which R and R' are organic groups, and n is a number (i.e., n≤4). Moreover, R' contains a functional group such as vinyl, acrylate, or epoxy for separate polymerization. Scheme. (2) shows hydrolysis and condensation of silanes to siloxanes followed by curing reaction of its epoxy functional group with Bisphenol A [114-116].

Hydrolysis and condensation of alkoxysilanes.

(a) Hydrolysis and condensation of silane (trialkoxysilane with R' functional group) and creating polysiloxane (b) reaction of Bisphenol A with the epoxy-functional group of hybrid sol (with siloxane), (c) curing and coating thin film on the substrate [122].
In addition to alkoxysilanes, other metallic alkoxides such as calcium and magnesium consolidate historical objects such as wooden artworks and stone monuments [117-120]. Table 1 indicates some research on calcium, magnesium alkoxides, conservation of historical objects, and monuments. These studies show that calcium alkoxides can react with moisture in the atmosphere and carbon dioxide to form calcium carbonate and alc...
Table of contents
- Welcome
- Table of Content
- Cover
- Instrumental Techniques for Characterization of Historical Materials: Conservation and Protection
- Conservation and Protection Coatings for Historical Metallic Artworks
- A Survey on Appearance Changes of Historical Parchment and Leather by the Surface Coatings
- Challenges of Stone Artifacts Protection and Providing the Solutions using Consolidation and Hydrophobic Coating Treatments
- Organic-Inorganic Nanocomposites Coatings in Conservation of Historical Monuments and Artworks
- Preface
Frequently asked questions
Yes, you can cancel anytime from the Subscription tab in your account settings on the Perlego website. Your subscription will stay active until the end of your current billing period. Learn how to cancel your subscription
No, books cannot be downloaded as external files, such as PDFs, for use outside of Perlego. However, you can download books within the Perlego app for offline reading on mobile or tablet. Learn how to download books offline
Perlego offers two plans: Essential and Complete
- Essential is ideal for learners and professionals who enjoy exploring a wide range of subjects. Access the Essential Library with 800,000+ trusted titles and best-sellers across business, personal growth, and the humanities. Includes unlimited reading time and Standard Read Aloud voice.
- Complete: Perfect for advanced learners and researchers needing full, unrestricted access. Unlock 1.5M+ books across hundreds of subjects, including academic and specialized titles. The Complete Plan also includes advanced features like Premium Read Aloud and Research Assistant.
We are an online textbook subscription service, where you can get access to an entire online library for less than the price of a single book per month. With over 1.5 million books across 990+ topics, we’ve got you covered! Learn about our mission
Look out for the read-aloud symbol on your next book to see if you can listen to it. The read-aloud tool reads text aloud for you, highlighting the text as it is being read. You can pause it, speed it up and slow it down. Learn more about Read Aloud
Yes! You can use the Perlego app on both iOS and Android devices to read anytime, anywhere — even offline. Perfect for commutes or when you’re on the go.
Please note we cannot support devices running on iOS 13 and Android 7 or earlier. Learn more about using the app
Please note we cannot support devices running on iOS 13 and Android 7 or earlier. Learn more about using the app
Yes, you can access Protective Material Coatings for Preserving Cultural Heritage Monuments and Artwork by Amir Ershad Langroudi in PDF and/or ePUB format, as well as other popular books in Architecture & Architecture General. We have over 1.5 million books available in our catalogue for you to explore.