The Asian Development Review is a professional journal for disseminating the results of economic and development research carried out by staff and resource persons of the Asian Development Bank (ADB). The Review seeks high-quality papers with relevance to policy issues and operational matters done in an empirically-rigorous way. Articles are intended for readership among economists and social scientists in government, private sector, academia, and international organizations. In this issue---Creating Good Employment Opportunities for the Rural Sector; Winners and Losers of Multinational Firm Entry into Developing Countries: Evidence from the Special Economic Zones of the People's Republic of China; Rural-Urban Migration and Employment Quality: A Case Study From Thailand; ADB Forum on the Use of Capital Controls.

eBook - ePub
Asian Development Review
Volume 29, Number 1, 2012
- 142 pages
- English
- ePUB (mobile friendly)
- Available on iOS & Android
eBook - ePub
Asian Development Review
Volume 29, Number 1, 2012
About this book
Trusted by 375,005 students
Access to over 1.5 million titles for a fair monthly price.
Study more efficiently using our study tools.
Information
Rural–Urban Migration and Employment Quality: A Case Study From Thailand
MULUBRHAN AMARE, LENA HOHFELD, SOMCHAI JITSUCHON, AND HERMANN WAIBEL
This study investigates the effects of rural–urban migration on economic development in Thailand. It draws upon a panel database of 2,000 rural households collected from 2008 to 2010 in three provinces from Northeast Thailand and a survey of 650 migrants in the Greater Bangkok area conducted in 2010. The study offers some new findings on migration in Thailand. First, there is evidence that there is a need for better social protection for urban migrants. Second, the study shows that migration offers the benefit of income growth for rural households but is less effective in reducing inequality and relative poverty in rural areas. Generally, migrants are more educated albeit at an overall low education level in the rural areas. The message emerging from this paper is that poor rural households tend to produce poor migrants which could be one of the reasons for the continuous existence of a wide rural–urban divide in welfare. The crucial importance of good quality education for migrants to achieve higher quality employment calls for more investment in education quality in rural areas.
JEL classification: O15, O53, I3, J81
I. INTRODUCTION
The movement of rural people out of agriculture in order to find jobs in urban centers is a major ingredient of the development process especially in emerging market economies. Thailand is a particularly good example not only because of its long history of rural–urban migration, high rates of economic growth, and good records of poverty reduction, but also because of its experience with economic and political shocks and a still large share of the population living in rural areas. The country has developed social protection policies for the poor, but empirical evidence on their success is still sparse.
Migration has profound consequences for the rural areas, i.e., the migrants’ natal villages. For a household in a rural village, temporary out-migration is a labor-diversification-based livelihood strategy, as migrants send remittances to their natal household. For migrants, the rural household remains the nucleus. Mostly, migrants are still members of the rural household regardless of their duration of absence, frequency of home visits, or place of official registration. However, not all migration decisions lead to the expected success. Sometimes migrants end up in so-called “bad employment” including prostitution and child labor. Policy makers tend to accept these negative externalities as an unavoidable by-product of development with the notion that it is still better to be “poor in the city” than “poor in the village”.
The aggregate effect of migration can have strong implications for the institutional and social conditions in the village. When the younger and economically more active population moves out of agriculture a decline in production and productivity can result unless structural change and agricultural modernization is facilitated. Most empirical studies on migration investigate either the impact on urban development or on the rural areas (e.g., Brown and Jimenez 2008, Shen et al. 2010, Goedecke and Waibel 2011). Hence, there is a need for more empirical evidence of the effects of migration on both the rural village and on the prospects of the migrants in their urban environment.
Both aspects are addressed in this paper by asking the following three questions. First, what are the underlying forces that motivate rural households to send some of their members to urban industrial centers for work? Second, what determines the success of such livelihood strategies from the point of view of the rural household and from the point of view from of a migrant? The third question is to what extent the migrant’s success of finding quality employment is supportive to the welfare of her natal household.
The empirical basis of this study is a rural household panel database that includes over 2,000 rural households from three provinces in Northeast Thailand combined with a migrant tracking survey carried out in the Greater Bangkok area. The database is unique as it combines comprehensive household level data and information on migrant household members.
The paper proceeds as follows. In Section II, a brief review of the migration literature in the context of economic development is provided. This allows establishing some hypotheses for this study. In Section III the database used for the descriptive and econometric analysis is introduced. Section IV describes the methodology including the econometric models, while Section V presents the results of the study including the factors that determine migration and migration success. Section VI concludes and identifies remaining gaps.
II. CONCEPTUAL FRAMEWORK
Quantitative modeling of migration processes date back to Harris and Todaro (1970) who emphasized the wage differential hypothesis. Microeconomic models of migration (e.g., Sjaastad 1962, Todaro and Maruszko 1987) consider migration as an investment in human capital. Traveling costs, costs of job search and training, and also psychological costs are included on the cost side. On the benefit side, the expected wage differential as well as nonmarket benefits of migration such as better access to health are considered. In later papers, e.g., Taylor and Fletcher (2007) and Hagen-Zanker (2008), migration is seen as a measure of ex ante risk mitigation and ex post coping, hypothesizing that the risks in rural areas are mostly uncorrelated or negatively correlated with those in urban areas. The net benefits of migration are also influenced by social network variables (Massey 1990), e.g., interpersonal relationships among, as well as between, migrants and their natal household. Lucas (2004) in a seminal article has proposed thinking of rural–urban migration in terms of “life learning”. In his models, urban areas are places where migrants can accumulate the skills required by modern production technologies. Thus, he introduces the notions of a skills differentiation with high skills jobs available for people who migrated some time ago and low skills jobs for new arrivals. He also points to the aspect of timing and speed on migration with returns to the migrant’s human capital investment as a major factor.
Models of migration provide a good benchmark for the factors that can determine the success of migration. However, few studies have established the impact of migration on rural households and the impact of the migrant’s employment quality on migration success. In theory, if migration is successful after several decades of migration one should be able to observe a declining gap in welfare between rural and urban areas. However, as shown in the 2008 World Development Report (World Bank 2007), this is not the case, and Thailand remains among the countries with a very high rural–urban divide.
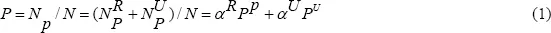
Inequality as a result of economic growth of poor countries was first postulated by Kuznets (1955). It has been shown that industrialization and urbanization change the distribution of income in a developing economy. Urbanization through rural–urban migration raises the gap in per capita income between the urban and the rural population as productivity in urban areas grows faster than in rural areas. During the first stages of industrialization, urbanization pursued by the migration process inherently raises inequality. Invariably, this process has implications for poverty. As the population moves from rural to urban areas, a change in aggregate poverty incidence will occur even if respective poverty incidences for rural and urban areas remain constant. Overall poverty is expressed as the shares in population and poverty incidence between rural and urban areas

where P is the ratio of the poor in the population N, R stands for the rural population and U for the urban population, while a is the proportion of the poor in these groups.
Consequently, a change in the poverty (dP) of a country can be viewed subject to the change in population shares and the changes in the relative rates of poverty

and can be decomposed as the change in rural poverty and the change in urban poverty. The reduction in poverty is adjusted by the movement of populations from rural to urban areas and is weighted by the difference in poverty. Kuznets hypothesized that migration will benefit the rural population and eventually close the gap in poverty between urban and rural areas. However, Lipton (1980) has pointed out that rural–urban migration tends to increase inter-household inequality within and between villages. Rodriguez (1998) found that migration increases inequality in the Philippines while Brown and Jimenez (2008) showed that remittances helped to decrease poverty in Fiji and Tonga with little impact on reducing inequality.
Rural–urban linkages have received considerable attention in Thailand and have been explicitly mentioned in the Ninth Development Plan of Thailand. Official data are problematic however. For example in 2000, only some 20% of the population of Thailand resided in urban areas according to United Nations data (Yap 2002). The problem was that many migrants residing in urban areas did not change their civil registration and were therefore counted as part of the rural population. Many studies on female labor migration in Thailand focus on the country’s sex industry (e.g. Pasuk et al. 1998). Mills (1999) complements this line of research with a study of female migrants working in less visible occupations such as factories and sweatshops in the Bangkok...
Table of contents
- Front Cover
- Title Page
- Contents
- Creating Good Employment Opportunities for the Rural Sector
- Winners and Losers of Multinational Firm Entry into Developing Countries: Evidence from the Special Economic Zones of the People’s Republic of China
- Rural–Urban Migration and Employment Quality: A Case Study from Thailand
- Managing Capital Flows: What Tools to Use?
- Comments on: Managing Capital Flows: What Tools to Use?
- Empirical Evidence on the Efficacy of Capital Controls: A Summary Evaluation
- Panel Presentations
- Panel Discussion
- List of Referees
- Flagship Publications
- Economics Titles From ADB
- New ADB Titles
- Back Cover
Frequently asked questions
Yes, you can cancel anytime from the Subscription tab in your account settings on the Perlego website. Your subscription will stay active until the end of your current billing period. Learn how to cancel your subscription
No, books cannot be downloaded as external files, such as PDFs, for use outside of Perlego. However, you can download books within the Perlego app for offline reading on mobile or tablet. Learn how to download books offline
Perlego offers two plans: Essential and Complete
- Essential is ideal for learners and professionals who enjoy exploring a wide range of subjects. Access the Essential Library with 800,000+ trusted titles and best-sellers across business, personal growth, and the humanities. Includes unlimited reading time and Standard Read Aloud voice.
- Complete: Perfect for advanced learners and researchers needing full, unrestricted access. Unlock 1.5M+ books across hundreds of subjects, including academic and specialized titles. The Complete Plan also includes advanced features like Premium Read Aloud and Research Assistant.
We are an online textbook subscription service, where you can get access to an entire online library for less than the price of a single book per month. With over 1.5 million books across 990+ topics, we’ve got you covered! Learn about our mission
Look out for the read-aloud symbol on your next book to see if you can listen to it. The read-aloud tool reads text aloud for you, highlighting the text as it is being read. You can pause it, speed it up and slow it down. Learn more about Read Aloud
Yes! You can use the Perlego app on both iOS and Android devices to read anytime, anywhere — even offline. Perfect for commutes or when you’re on the go.
Please note we cannot support devices running on iOS 13 and Android 7 or earlier. Learn more about using the app
Please note we cannot support devices running on iOS 13 and Android 7 or earlier. Learn more about using the app
Yes, you can access Asian Development Review by Andrew Foster, Avraham Ebenstein, Mulubrhan Amare, Lena Hohfeld, Somchai Jitsuchon, Hermann Waibel, Jonathan D. Ostry, Michael M. Hutchison, Chalongphob Sussangkarn, Eli Remolona, Masahiro Kawai in PDF and/or ePUB format, as well as other popular books in Economía & Economía del desarrollo. We have over 1.5 million books available in our catalogue for you to explore.