Traditional Chinese Medicine
eBook - ePub

Traditional Chinese Medicine

Scientific Basis for Its Use

  1. English
  2. ePUB (mobile friendly)
  3. Available on iOS & Android
eBook - ePub

Traditional Chinese Medicine

Scientific Basis for Its Use

About this book

Traditional Chinese medicine has a strong scientific basis, but the science of these important preparations is often rarely discussed. Western approaches often simplify traditional Chinese medicine to drug discovery in Chinese plants, however, the majority of traditional Chinese medications use complex mixtures of plant extracts, rather than single purified drugs. The combination of different extracts is based on yin, yang and chi theories, which are often poorly understood in the West.

Yin and yang are known to be the balance of agonists and antagonists, whereas chi derives from signalling processes in the body and regulates bodily functions. Traditional Chinese medical practitioners understand that yin, yang and chi constantly interact in the body to maintain health.Western medical practitioners understand how to use agonists and antagonists and how to modify signalling processes, but generally do not accept the use of complex plant extracts to perform these functions.

Aimed at medical scientists, and including detailed explanations of the theories behind the science, this text may help researchers to understand, and communicate more effectively with, Chinese medical practitioners and will lead to greater acceptance of traditional medications in the West. Presenting a clear rationale for the use of traditional Chinese medications in Western medical facilities, it enables scientists to find new directions in experimental design and encourage examination of these useful, but often poorly understood, preparations in clinical trials.

Trusted by 375,005 students

Access to over 1.5 million titles for a fair monthly price.

Study more efficiently using our study tools.

Information

Year
2015
Edition
1
eBook ISBN
9781782624936
CHAPTER 1
The Traditional and Scientific Bases for Traditional Chinese Medicine: Communication Between Traditional Practitioners, Physicians and Scientists
JAMES D. ADAMS JR* AND ERIC J. LIEN
Department of Pharmacology and Pharmaceutical Sciences, School of Pharmacy, University of Southern California, Los Angeles, CA, 90089, USA
*E-mail: [email protected]

1.1 Introduction

The species Homo sapiens has existed for 200 000 years or so. Medicinal plants have been important to humans as indicated by plants in prehistoric burial sites, mummy wrappings and ancient legends. It is likely that during the entire period of human existence, plants have been used as medicines. This means there has been a tremendous natural selection, such that those who responded to plant medicines survived. Our genome has been altered by this natural selection. It has only been during the past 50 years or so that Science has tried to displace traditional medicine. However, even today, the majority of purified drugs used clinically are derived directly or indirectly from plants and other natural sources. It is critical to realize that the alteration of the human genome by the use of plant medicines makes humans more responsive to plant medicines today. We should continue to use plant medicines.
There is an old Chinese saying, “Thousands of prescriptions are easy to come by. A really good drug is hard to find.” This is still true today in spite of modern advances in biomedical technology. It is humbling to realize that while drugs can treat symptoms, only Mother Nature, the body, can cure and heal. Extension of life expectancy is accompanied by many lifestyle-related diseases such as diabetes, obesity, hypertension, cancer, drug addiction and degeneration of various organs and tissues. None of these diseases can be easily overcome by a quick fix with a miracle pill or surgical procedure. Fundamental changes are needed to reverse the downward spiral trend in healthcare effectiveness.
It is a sad fact that modern lifestyles cause the incidence of heart disease, diabetes, arthritis and cancer to increase every year, as shown by Centers for Disease Control statistics. In fact, heart disease, diabetes and arthritis are enabled by non-traditional medicine, since only the symptoms are treated, allowing patients to live with their disease. Efforts to cure these diseases are almost completely ineffective. Traditional Chinese medicine has much to teach in terms of preventing and curing these conditions.

1.2 The Basis of Traditional Chinese Medicine

There is a strong scientific basis for traditional Chinese medicine. However, the Science of traditional Chinese medicine is rarely discussed and needs to be more widely known. Currently, the scientific approach to traditional Chinese plant medicines is to purify them into single components. This is simply modern drug discovery in Chinese plants. However, traditional Chinese medicine usually uses complex mixtures of plant extracts, not single purified drugs. This is based on yin, yang and chi theories that are not widely understood by scientists.
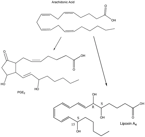
Yin is cold, wet and female. Yang is hot, dry and male. Yin and yang are constant influences in the body and must be kept in balance to prevent disease.1,2 Disease is treated by re-establishing the balance of yin and yang. Yin and yang are the balance of endogenous agonists and antagonists. This includes the balance between the sympathetic and parasympathetic nervous systems and also other systems (Figure 1.1). For instance, pain can be caused by prostaglandins, whereas pain relief can come from lipoxins.3,4 Prostaglandins interact with prostaglandin receptors such as DP, EP, FP and IP. Lipoxins interact with lipoxin receptors, such as ALXR. Both prostaglandins and lipoxins are endogenous compounds, are products of arachidonic acid and exist in a balance that controls pain (Figure 1.2). Pain is a necessary part of normal life, but should not be excessive. Pain relief can result from balancing prostaglandins and lipoxins.
image
Figure 1.1 Many therapeutic applications have be developed based on neurotransmitter (NT) agonists and antagonists. Each receptor has an agonist, NT, that is made locally, excreted when it is needed and cleared quickly. Each receptor also has an endogenous antagonist that is made locally, excreted when it is needed and cleared quickly. However, the endogenous antagonists for the NT shown are not known. Modified from Kuo et al.14
image
Figure 1.2 Arachidonic acid is the source of prostaglandin E2, which causes pain, and lipoxin A4, which relieves pain.
Chi is the life force, flows in the body in acupuncture channels and has several components. Chi derives from signaling processes in the body, such as phosphorylation/dephosphorylation, G protein signaling, cAMP production and degradation, calcium release and sequestration and others, and regulates bodily functions.5 For instance, anxiety is a learned response that alters the functions of several receptor signal transduction systems in the brain, serotonergic, GABAergic, noradrenergic, dopaminergic and others.6 Anxiety can greatly increase the risk of developing some diseases. It is necessary to unlearn anxiety in order to have a productive life. This involves a volitional act of restoring the balance or chi, of signal transduction systems. Chi also has a genetic component that is passed down from ancestors. Therefore, chi is controlled by genes. Chi controls yin and yang. Conversely, yin and yang influence chi. Chi can also be described as the Gibbs free energy (△G) available to do useful work according to the laws of thermodynamics.7
Yin, yang and chi constantly interact in the body to maintain health. Western medicine understands very well how to use drugs that are agonists and antagonists to modify signaling processes. However, Western medicine does not accept the use of complex plant extracts to perform these functions. Traditional Chinese medicine has learned experimentally over the centuries how to restore the chi, yin and yang of a patient to restore health with plant medicines.

1.3 Disease Causation

In traditional Chinese medicine, disease is caused by an imbalance in the body, usually caused by too much yin or too much yang.1,2 For instance, a cold may be caused by too much exposure to cold, wet wind. The cold is then counterbalanced by a fever that heats up the body. Yin in this case is an external influence. Yang, the fever, results from endogenous factors in the body. Hypertension may be caused by too much yang that results in more blood flow to cool the body. In this case, yang and yin are endogenous factors.
Science has only learned in the past few years that many diseases are caused by an imbalance in endogenous agonists and antagonists. For instance, arthritis, hypertension, atherosclerosis, diabetes and other conditions are caused by obesity that produces an abundance of toxic adipokines and toxic lipids in the body.5 These are endogenous agonists and antagonists that work at specific receptors to cause inflammation, increase blood pressure, damage blood vessels and the heart and cause insulin resistance (Figure 1.3). AIDS is caused by a virus-induced imbalance in T cells, which the body cannot correct. Infections are usually caused by external pathogens that infect the body, but are only able to infect because the body cannot mount an adequate immune response through endogenous leukocytes.
image
Figure 1.3 Adipokines produced by visceral fat. As visceral fat accumulates, adiponectin, an anti-inflammatory adipokine [1], decreases and many inflammatory adipokines increase [2], including tumor necrosis factor alpha (TNF-α), interleukin-6 (IL-6), visfatin, resistin, C-reactive protein (CRP), leptin and monocyte chemoattractant protein-1 (MCP-1). Toxic lipids are also produced excessively throughout the body as visceral fat accumulates, including ceramide and the endocannabinoids, anandamide and 2-arachidonylglycerol. Expanding adipocytes may become hypoxic and die through endoplasmic reticular stress (ER stress) that involves activation of inflammatory kinases, JNK and IKK [3]. Macrophages [4] and T cells [6] accumulate and secrete cytokines as visceral fat increases and activate inflammatory kinases in fat [5]. Macrophages express the MCP-1 receptor, chemokine C-C motif receptor 2 (CCR2). Adipokines in the plasma can increase liver production of inflammatory mediators and coagulation factors [7], including fibrinogen, CRP and plasminogen activator inhibitor-1 (PAI-1). Modified from Rocha and Folco.15
Cancer is caused by endogenous or external factors that damage DNA. Cancer is able to grow only because the body cannot kill the cancer cells with endogenous factors. Recent evidence has found that obesity increases cancer risk and mortality.8 Visceral fat releases adipokines, including IL-6, TNF and leptin, that increase the growth and malignancy of tumor-initiating stem cells.9 This leads to tumor growth, malignancy and mortality.
In non-traditional medicine, diseases are detected too late, after the disease has already progressed to an intolerable state. This is true of diabetes, arthritis, heart disease, cancer and most other diseases. The patient may benefit from an early disease prevention program that prevents diseases from progressing to an intolerable state. Patients can be taught to avoid toxic lifestyles that cause diseases.

1.4 Disease Prevention

One of the vital functions of traditional practitioners is to keep their patients healthy and working. They do this with strong programs in disease prevention. Most of us are born healthy and could remain healthy if we knew how. Disease prevention is the key to staying healthy. Traditional practitioners have learned over the centuries that people who keep themselves thin and strong stay healthy, people who stay away from alcohol stay healthy, people who stay away from abuse of some plant-derived medicines and smoking stay healthy and people who minimize stress in their lives stay healthy. Toxic lifestyles lead to disease.5 All people should be encouraged to perform 60–70 minutes’ of aerobic exercise daily for disease prevention and to encourage healing. Exercise increases the production of stem cells in every organ examined so far.
Today, keeping people alive is the priority in many non-traditional medical practices, not disease prevention. Even people with substantial multiple organ pathology from diabetes, heart disease, congestive heart failure, stroke and other conditions are kept alive with modern medicines. Many non-traditional medical practitioners ignore the traditional approach to disease prevention since it is easier simply to treat the patient with a drug that manages symptoms. Hypertension, high blood cholesterol, high blood sugar and other specific symptoms can be managed with drugs. This approach does not cure the underlying disease, but keeps the patient alive. These drugs are used for the rest of the patient’s life. The problem then becomes managing the toxicity of the drugs. Some statins used in hypercholesterolemia cause muscle toxicity and diabetes. Pioglitazone, used in diabetes, causes congestive heart failure and kidney cancer. Some calcium channel blockers, used in hypertension, can cause bradycardia. Most drugs used to control blood sugar in diabetes can cause hypoglycemia. Non-steroidal anti-inflammatory drugs (NSAIDs) used in arthritis cause ulcers, kidney damage, heart attacks and strokes. Acetaminophen causes liver damage, kidney damage, heart attacks and strokes.

1.5 The Traditional Approach to the Treatment of Disease

Science still has much to learn from traditional Chinese medicine.10,11 The traditional approach is pragmatic, experimental and based on what helps the patient get back to a productive life. For instance, a patient crippled by stroke may be treated for up to 6 months with plant preparations and physical therapy in order to decrease paralysis and get them back to work. Scientists frequently do not understand the mechanisms involved in traditional medicine and should continue searching.
Traditional Chinese medicine requires expertise to find the proper mixture of plant medicines to achieve balance in the body. This is a difficult experimental process in each patient. Each disease in each patient requires an individualized approach to achieve balance.
Meditation, tai chi, yoga, prayer and other calming influences are critical to disease treatment and prevention in the traditional approach. Chi increases because of these calming influences and can maintain the balance of yin and yang. These calming influences help treat anxiety that greatly magnifies the risk of developing some diseases and decreases the chance of recovering from many diseases.

1.6 Randomized, Placebo-Controlled Clinical Trials

Non-traditional medicine is currently based on randomized, double-blin...

Table of contents

  1. Cover
  2. Title
  3. Copyright
  4. Preface
  5. Contents
  6. Chapter 1 The Traditional and Scientific Bases for Traditional Chinese Medicine: Communication Between Traditional Practitioners, Physicians and Scientists
  7. Chapter 2 Structure–Activity Relationship Analysis of Plant-Derived Compounds
  8. Chapter 3 Huang Di Nei Jing and the Treatment of Low Back Pain
  9. Chapter 4 Understanding Ch’i: The Life-Force Energy that Determines Vitality, Health and Wellbeing
  10. Chapter 5 When Modern Computational Systems Biology Meets Traditional Chinese Medicine
  11. Chapter 6 Modern Drug Discovery from Chinese Materia Medica Used in Traditional Chinese Medicine
  12. Chapter 7 PI3K–AKT Signaling in Cell Growth and Metabolism
  13. Chapter 8 The Scientific Evidence for Using Astragalus in Human Diseases
  14. Chapter 9 Traditional Chinese Medicine: Anti-Inflammation for Cancer Prevention
  15. Chapter 10 Treatment of Stroke with Dan Shen, Salvia miltiorrhiza
  16. Chapter 11 Drug Discovery from Traditional Chinese Medicine for Neurogenesis: Implications for Stroke and Neurodegenerative Diseases
  17. Chapter 12 Medicinal Uses of Seaweed in Traditional Chinese Medicine
  18. Chapter 13 The Preventive Effect of Traditional Chinese Medicinal Herbs on Type 2 Diabetes Mellitus
  19. Chapter 14 Translational Approach to Treating Diabetes Using Acupuncture or Electroacupuncture
  20. Subject Index

Frequently asked questions

Yes, you can cancel anytime from the Subscription tab in your account settings on the Perlego website. Your subscription will stay active until the end of your current billing period. Learn how to cancel your subscription
No, books cannot be downloaded as external files, such as PDFs, for use outside of Perlego. However, you can download books within the Perlego app for offline reading on mobile or tablet. Learn how to download books offline
Perlego offers two plans: Essential and Complete
  • Essential is ideal for learners and professionals who enjoy exploring a wide range of subjects. Access the Essential Library with 800,000+ trusted titles and best-sellers across business, personal growth, and the humanities. Includes unlimited reading time and Standard Read Aloud voice.
  • Complete: Perfect for advanced learners and researchers needing full, unrestricted access. Unlock 1.5M+ books across hundreds of subjects, including academic and specialized titles. The Complete Plan also includes advanced features like Premium Read Aloud and Research Assistant.
Both plans are available with monthly, semester, or annual billing cycles.
We are an online textbook subscription service, where you can get access to an entire online library for less than the price of a single book per month. With over 1.5 million books across 990+ topics, we’ve got you covered! Learn about our mission
Look out for the read-aloud symbol on your next book to see if you can listen to it. The read-aloud tool reads text aloud for you, highlighting the text as it is being read. You can pause it, speed it up and slow it down. Learn more about Read Aloud
Yes! You can use the Perlego app on both iOS and Android devices to read anytime, anywhere — even offline. Perfect for commutes or when you’re on the go.
Please note we cannot support devices running on iOS 13 and Android 7 or earlier. Learn more about using the app
Yes, you can access Traditional Chinese Medicine by James D Adams, Eric J Lien in PDF and/or ePUB format, as well as other popular books in Biological Sciences & Biochemistry. We have over 1.5 million books available in our catalogue for you to explore.