
- 200 pages
- English
- ePUB (mobile friendly)
- Available on iOS & Android
Localisation 2011 - Proceedings Of The Satellite Conference Of Lt 26
About this book
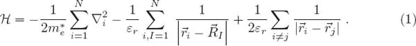
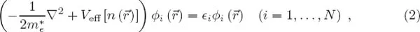
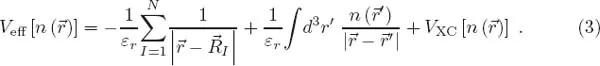
The proceedings of Localisation 2011, a satellite conference of the 26th International Conference on Low Temperature Physics (LT26), comprise both invited and contributed papers that discuss the latest progress on localisation phenomena. The main topics include quantum transport in disordered systems (Anderson localisation, effects of interactions on localisation, Anderson–Mott transition, mesoscopics), the superconductor–insulator transition, quantum Hall effects (fractional and integer), topological insulators, graphene, dynamical localisation, heavy fermions (Kondo effect, Kondo lattice, effects of disorder), and many body localisation (spin-glass, Coulomb glass). The volume is also dedicated to Professor Bernard Coqblin, former CNRS Directeur de Recherche and a Honorary Chairman of the AMS-APCTP Conference Localisation 2011, whose contribution to condensed matter theory will always be remembered.
Contents:
- Wave Propagation and Localization via Quasi-Normal Modes and Transmission Eigenchannels (J Wang, Z Shi, M Davy and A Z Genack)
- Quantized Intrinsically Localized Modes: Localization Through Interaction (P S Riseborough)
- Aspects of Localization Across the 2D Superconductor–Insulator Transition (N Trivedi, Y L Loh, K Bouadim and M Randeria)
- The Spin Glass-Kondo Competition in Disordered Cerium Systems (S G Magalhaes, F Zimmer and B Coqblin)
- Transport via Classical Percolation at Quantum Hall Plateau Transitions (M Flöser, S Florens and T Champel)
- Finite Size Scaling of the Chalker–Coddington Model (K Slevin and T Ohtsuki)
- Bulk and Edge Quasihole Tunneling Amplitudes in the Laughlin State (Z-X Hu, K H Lee and X Wan)
- “Rare” Fluctuation Effects in the Anderson Model of Localization (R N Bhatt and S Johri)
- Effect of Electron–Electron Interaction Near the Metal–Insulator Transition in Doped Semiconductors Studied within the Local Density Approximation (Y Harashima and K Slevin)
- Can Diffusion Model Localization in Open Media? (C-S Tian, S-K Cheung and Z-Q Zhang)
- Local Pseudogaps and Free Magnetic Moments at the Anderson Metal–Insulator Transition: Numerical Simulation Using Power-Law Band Random Matrices (I Varga, S Kettemann and E R Mucciolo)
- Finite Size Scaling of the Typical Density of States of Disordered Systems within the Kernel Polynomial Method (D Jung, G Czycholl and S Kettemann)
- Critical Exponent for the Quantum Spin Hall Transition in ℤ 2 Network Model (K Kobayashi, T Ohtsuki and K Slevin)
- Disorder Induced BCS–BEC Crossover (A Khan)
- A Comparison of Harmonic Confinement and Disorder in inducing Localization Effects in a Superconductor (P Dey, A Khan, S Basu and B Tanatar)
- Quasi Two-Dimensional Nucleon Superfluidity Under Localization with Pion Condensation (T Takatsuka)
- Enhancement of Graphene Binding Energy by Ti 1ML Intercalation between Graphene and Metal Surfaces (T Kaneko and H Imamura)
- Generalization of Chiral Symmetry for Tilted Dirac Cones (T Kawarabayashi, Y Hatsugai, T Morimoto and H Aoki)
- Electronic States and Local Density of States Near Graphene Corner Edge (Y Shimomura, Y Takane and K Wakabayashi)
- Perfectly Conducting Channel and Its Robustness in Disordered Carbon Nanostructures (Y Ashitani, K-I Imura and Y Takane)
- Direction Dependence of Spin Relaxation in Confined Two-Dimensional Systems (P Wenk and S Kettemann)
- Analysis of Quantum Corrections to Conductivity and Thermopower in Graphene — Numerical and Analytical Approaches (A P Hinz, S Kettemann and E R Mucciolo)
- Indirect Exchange Interactions in Graphene (H Lee, E R Mucciolo, G Bouzerar and S Kettemann)
- Critical Exponents for Antiferromagnetic Spin Chains Obtained from Bosonisation (M Kossow, P Schupp and S Kettemann)
Readership: Academics and scientists interested in condensed matter physics.
Frequently asked questions
- Essential is ideal for learners and professionals who enjoy exploring a wide range of subjects. Access the Essential Library with 800,000+ trusted titles and best-sellers across business, personal growth, and the humanities. Includes unlimited reading time and Standard Read Aloud voice.
- Complete: Perfect for advanced learners and researchers needing full, unrestricted access. Unlock 1.4M+ books across hundreds of subjects, including academic and specialized titles. The Complete Plan also includes advanced features like Premium Read Aloud and Research Assistant.
Please note we cannot support devices running on iOS 13 and Android 7 or earlier. Learn more about using the app.
Information













Table of contents
- Cover Page
- Title Page
- Copyright Page
- Preface
- Contents
- Invited Talks
- Contributed Talks