
Evolution Equations With A Complex Spatial Variable
- 204 pages
- English
- ePUB (mobile friendly)
- Available on iOS & Android
Evolution Equations With A Complex Spatial Variable
About this book
This book investigates several classes of partial differential equations of real time variable and complex spatial variables, including the heat, Laplace, wave, telegraph, Burgers, Black–Merton–Scholes, Schrödinger and Korteweg–de Vries equations.
The complexification of the spatial variable is done by two different methods. The first method is that of complexifying the spatial variable in the corresponding semigroups of operators. In this case, the solutions are studied within the context of the theory of semigroups of linear operators. It is also interesting to observe that these solutions preserve some geometric properties of the boundary function, like the univalence, starlikeness, convexity and spirallikeness. The second method is that of complexifying the spatial variable directly in the corresponding evolution equation from the real case. More precisely, the real spatial variable is replaced by a complex spatial variable in the corresponding evolution equation and then analytic and non-analytic solutions are sought.
For the first time in the book literature, we aim to give a comprehensive study of the most important evolution equations of real time variable and complex spatial variables. In some cases, potential physical interpretations are presented. The generality of the methods used allows the study of evolution equations of spatial variables in general domains of the complex plane.
Contents:
- Historical Background and Motivation
- Heat and Laplace Equations of Complex Spatial Variables
- Higher-Order Heat and Laplace Equations with Complex Spatial Variables
- Wave and Telegraph Equations with Complex Spatial Variables
- Burgers and Black–Merton–Scholes Equations with Complex Spatial Variables
- Schrödinger-Type Equations with Complex Spatial Variables
- Linearized Korteweg–de Vries Equations with Complex Spatial Variables
- Evolution Equations with a Complex Spatial Variable in General Domains
Readership: Graduates and researchers in partial differential equations and in classical analytical function theory of one complex variable.
Key Features:
- For the first time in literature, the study of evolution equations of real time variable and complex spatial variables is made
- The study includes some of the most important classes of partial differential equations: heat, Laplace, wave, telegraph, Burgers, Black–Merton–Scholes, Schrodinger and Korteweg–de Vries equations
- The book is entirely based on the authors' own work
Tools to learn more effectively

Saving Books

Keyword Search

Annotating Text

Listen to it instead
Information
Chapter 1
Historical background and motivation
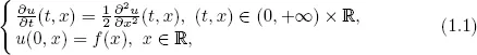
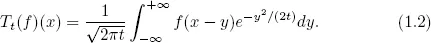
1.1Historical background on the heat equation



Table of contents
- Cover Page
- Title
- Copyright
- Dedication
- Preface
- Contents
- 1. Historical background and motivation
- 2. Heat and Laplace equations of complex spatial variables
- 3. Higher-order heat and Laplace equations with complex spatial variables
- 4. Wave and telegraph equations with complex spatial variables
- 5. Burgers and Black-Merton-Scholes equations with complex spatial variables
- 6. Schrödinger-type equations with complex spatial variables
- 8. Evolution equations with a complex spatial variable in general domains
- Bibliography
- Index
Frequently asked questions
- Essential is ideal for learners and professionals who enjoy exploring a wide range of subjects. Access the Essential Library with 800,000+ trusted titles and best-sellers across business, personal growth, and the humanities. Includes unlimited reading time and Standard Read Aloud voice.
- Complete: Perfect for advanced learners and researchers needing full, unrestricted access. Unlock 1.4M+ books across hundreds of subjects, including academic and specialized titles. The Complete Plan also includes advanced features like Premium Read Aloud and Research Assistant.
Please note we cannot support devices running on iOS 13 and Android 7 or earlier. Learn more about using the app