
eBook - ePub
Information Approach To Mitochondrial Dysfunction, An: Extending Swerdlow's Hypothesis
Extending Swerdlow's Hypothesis
- 164 pages
- English
- ePUB (mobile friendly)
- Available on iOS & Android
eBook - ePub
Information Approach To Mitochondrial Dysfunction, An: Extending Swerdlow's Hypothesis
Extending Swerdlow's Hypothesis
About this book
The monograph applies sophisticated topological symmetry tools to biological applications of information theory, along with a Black–Scholes model invocation of the Data Rate Theorem which links information and control theories. The focus is on statistical mechanics and other models that explore pathological phase transitions — driven by changes in available rates of mitochondrial free energy — in physiological functions, a cutting-edge topic in the study of chronic disease. One of the key focuses is Alzheimer's disease — a relatively simple canonical example.
Contents:
- Mathematical Preliminaries
- A Symmetry-Breaking Model
- A Data Rate Theorem Model
- A Mutual Information Model
- A Fragment Size Model
- Extending the Perspective
- Embodiment and Environment
- Chronic Inflammation
- What is to be Done?
- Mathematical Appendix
Readership: Graduate students and researchers interested in biological applications of information theory.
Key Features:
- Significantly extends current thinking on Alzheimer's and related chronic diseases
Frequently asked questions
Yes, you can cancel anytime from the Subscription tab in your account settings on the Perlego website. Your subscription will stay active until the end of your current billing period. Learn how to cancel your subscription.
No, books cannot be downloaded as external files, such as PDFs, for use outside of Perlego. However, you can download books within the Perlego app for offline reading on mobile or tablet. Learn more here.
Perlego offers two plans: Essential and Complete
- Essential is ideal for learners and professionals who enjoy exploring a wide range of subjects. Access the Essential Library with 800,000+ trusted titles and best-sellers across business, personal growth, and the humanities. Includes unlimited reading time and Standard Read Aloud voice.
- Complete: Perfect for advanced learners and researchers needing full, unrestricted access. Unlock 1.4M+ books across hundreds of subjects, including academic and specialized titles. The Complete Plan also includes advanced features like Premium Read Aloud and Research Assistant.
We are an online textbook subscription service, where you can get access to an entire online library for less than the price of a single book per month. With over 1 million books across 1000+ topics, we’ve got you covered! Learn more here.
Look out for the read-aloud symbol on your next book to see if you can listen to it. The read-aloud tool reads text aloud for you, highlighting the text as it is being read. You can pause it, speed it up and slow it down. Learn more here.
Yes! You can use the Perlego app on both iOS or Android devices to read anytime, anywhere — even offline. Perfect for commutes or when you’re on the go.
Please note we cannot support devices running on iOS 13 and Android 7 or earlier. Learn more about using the app.
Please note we cannot support devices running on iOS 13 and Android 7 or earlier. Learn more about using the app.
Yes, you can access Information Approach To Mitochondrial Dysfunction, An: Extending Swerdlow's Hypothesis by Rodrick Wallace in PDF and/or ePUB format, as well as other popular books in Biological Sciences & Science General. We have over one million books available in our catalogue for you to explore.
Information
Chapter 1
Mathematical preliminaries
We begin with some standard results from information theory, make a significant extension based on the homology between information and free energy noted by Feynman (2000) and others that will prove useful in later chapters, and end with a statement of the Data Rate Theorem that connects information and control theories.
1.1 The coding and tuning theorems
Messages from a source, seen as symbols xj from some alphabet, each having probabilities Pj associated with a random variable X, are ‘encoded’ into the language of a transmission channel, a random variable Y with symbols yk, having probabilities Pk, possibly with error. Someone receiving the symbol yk then retranslates it (without error) into some xk, which may or may not be the same as the xj that was sent.
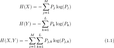
More formally, the message sent along the channel is characterized by a random variable X having the distribution P(X = xj) = Pj, j = 1, ..., M.
The channel through which the message is sent is characterized by a second random variable Y having the distribution P(Y = yk) = Pk, k = 1, ..., L.
Let the joint probability distribution of X and Y be defined as P(X = xj, Y = yk) = P(xj, yk) = Pj,k, and the conditional probability of Y given X as P(Y = yk|X = xj) = P(Yk|xj).
Then the Shannon uncertainty of X and Y independently and the joint uncertainty of X and Y together are defined respectively as

The conditional uncertainty of Y given X is defined as

For any two stochastic variates X and Y, H(Y) ≥ H(Y|X), as knowledge of X generally gives some knowledge of Y. Equality occurs only in the case of stochastic independence.
Since P(xj, yk) = P(xj)P(Yk|xj), then H(X|Y) = H(X, Y) − H(Y).
The information transmitted by translating the variable X into the channel transmission variable Y – possibly with error – and then retranslating without error the transmitted Y back into X is defined as I(X; Y) H(X) − H(X|Y) = H(X) + H(Y) − H(X, Y). See Cover and Thomas (2006) for details. If there is no uncertainty in X given the channel Y, then there is no loss of information through transmission. In general this will not be true, and in that is the essence of the theory.
Given a fixed vocabulary for the transmitted variable X, and a fixed vocabulary and probability distribution for the channel Y, we may vary the probability distribution of X in such a way as to maximize the information sent. The capacity of the channel is defined as C ≡ maxP(X) I(X; Y), subject to the subsidiary condition that Σ P(X) = 1.
The critical trick of the Shannon Coding Theorem for sending a message with arbitrarily small error along the channel Y at any rate R < C is to encode it in longer and longer ‘typical’ sequences of the variable X; that is, those sequences whose distribution of symbols approximates the probability distribution P(X) above which maximizes C.
If S(n) is the number of such ‘typical’ sequences of length n, then log[S(n)] ≈ nH(X), where H(X) is the uncertainty of the stochastic variable defined above. Some consideration shows that S(n) is much less than the total number of possible messages of length n.
As n → ∞, only a vanishingly small fraction of all possible messages is meaningful in this sense. This, after some development, allows the Coding Theorem to work so well. The prescription is to encode messages in typical sequences, which are sent at very nearly the capacity of the channel. As the encoded messages become longer and longer, their maximum possible rate of transmission without error approaches channel capacity as a limit.
The argument can, however, be turned on its head, in a sense, to provide a ‘tuning theorem’ variant to the coding theorem.
Telephone lines, optical wave guides and the tenuous plasma through which a planetary probe transmits data to earth may all be viewed in traditional information-theoretic terms as a noisy channel around which it is necessary to structure a message so as to attain an optimal error-free transmission rate. Telephone lines, wave guides and interplanetary plasmas are, however, fixed on the timescale of most messages, as are most sociogeographic networks. Indeed, the capacity of a channel is defined by varying the probability distribution of the message X so as to maximize I(X; Y).
Assume, now, however, that some message X so critical that its probability distribution must remain fixed. The trick is to fix the distribution P(X) but now to modify the channel, to tune it, to maximize I(X; Y). A dual channel capacity C* can be defined as C* ≡ maxP(Y),P(Y |X) I(X; Y).
But C* = maxP(Y),P(Y |X) I(Y ; X) since I(X; Y) = H(X) + H(Y) − H(X, Y) = I(Y ; X).
Thus, in a formal mathematical sense, the message ‘transmits the channel’, and there will be, according to the Coding Theorem above, a channel distribution P(Y) which maximizes C*.
Thus modifying the channel may be a far more efficient means of ensuring transmission of an important message than encoding that message in a ‘natural’ language which maximizes the rate of transmission of information on a fixed channel.
We have examined the two ...
Table of contents
- Cover Page
- Title
- Copyright
- Preface
- Contents
- 1. Mathematical preliminaries
- 2. A symmetry-breaking model
- 3. A Data Rate Theorem model
- 4. A mutual information model
- 5. A fragment size model
- 6. Extending the perspective
- 7. Embodiment and environment
- 8. Chronic inflammation
- 9. What is to be done?
- 10. Mathematical Appendix
- Bibliography
- Index