
- 272 pages
- English
- ePUB (mobile friendly)
- Available on iOS & Android
Limit Theorems For Nonlinear Cointegrating Regression
About this book
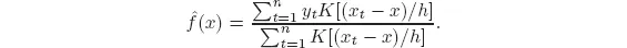
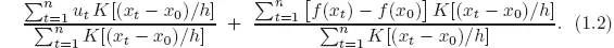
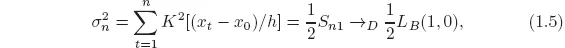
This book provides the limit theorems that can be used in the development of nonlinear cointegrating regression. The topics include weak convergence to a local time process, weak convergence to a mixture of normal distributions and weak convergence to stochastic integrals. This book also investigates estimation and inference theory in nonlinear cointegrating regression.
The core context of this book comes from the author and his collaborator's current researches in past years, which is wide enough to cover the knowledge bases in nonlinear cointegrating regression. It may be used as a main reference book for future researchers.
This book provides the limit theorems that can be used in the development of nonlinear cointegrating regression. The topics include weak convergence to a local time process, weak convergence to a mixture of normal distributions and weak convergence to stochastic integrals. This book also investigates estimation and inference theory in nonlinear cointegrating regression.
The core context of this book comes from the author and his collaborator's current researches in past years, which is wide enough to cover the knowledge bases in nonlinear cointegrating regression. It may be used as a main reference book for future researchers.
Readership: Graduate students and researchers interested in nonlinear cointegrating regression.
Key Features:
- First of all, this book extends the classical martingale limit theorem. Unlike previous books, for a certain class of martingales, weak convergence to a mixture of normal distributions is established under the convergence in distribution for the conditional variance
- This extension partially removes a barrier in applications of the classical martingale limit theorem to non-parametric estimation and inference with non-stationarity
- This extension enhances the effectiveness of the classical martingale limit theorem in the investigation of asymptotics in statistics, econometrics and other fields
- Secondly, this book systemically introduces weak convergence to a local time process and weak convergence to stochastic integrals beyond martingale and semi-martingale structures (This kind of context is new to the field and is particularly useful in the framework of nonlinear cointegration)
- Finally, this book does not look for the most general theory from the view of probability, but provides enough details for those who are interested in nonlinear cointegrating regression
Trusted by 375,005 students
Access to over 1 million titles for a fair monthly price.
Study more efficiently using our study tools.
Information
Chapter 1
Introduction


















Table of contents
- Cover Page
- Title Page
- Copyright
- Contents
- Preface
- 1. Introduction
- 2. Convergence to local time
- 3. Convergence to a mixture of normal distributions
- 4. Convergence to stochastic integrals
- 5. Nonlinear cointegrating regression
- Appendix A Concepts of stochastic processes
- Appendix B Metric space
- Appendix C Convergence of probability measure
- Bibliography
- Index
Frequently asked questions
- Essential is ideal for learners and professionals who enjoy exploring a wide range of subjects. Access the Essential Library with 800,000+ trusted titles and best-sellers across business, personal growth, and the humanities. Includes unlimited reading time and Standard Read Aloud voice.
- Complete: Perfect for advanced learners and researchers needing full, unrestricted access. Unlock 1.4M+ books across hundreds of subjects, including academic and specialized titles. The Complete Plan also includes advanced features like Premium Read Aloud and Research Assistant.
Please note we cannot support devices running on iOS 13 and Android 7 or earlier. Learn more about using the app