Volume 1 gives overviews on a variety of topics of characterization of green and sustainable advanced materials including biopolymers, biocomposites, nanomaterials, polymeric materials, green functional textiles materials and hybrid materials, as well as processing chapters on the design and process aspects of nanofabrication.

eBook - ePub
Green and Sustainable Advanced Materials, Volume 1
Processing and Characterization
- English
- ePUB (mobile friendly)
- Available on iOS & Android
eBook - ePub
Green and Sustainable Advanced Materials, Volume 1
Processing and Characterization
About this book
Sustainable development is a very prevalent concept of modern society. This concept has appeared as a critical force in combining a special focus on development and growth by maintaining a balance of using human resources and the ecosystem in which we are living. The development of new and advanced materials is one of the powerful examples in establishing this concept. Green and sustainable advanced materials are the newly synthesized material or existing modified material having superior and special properties. These fulfil today's growing demand for equipment, machines and devices with better quality for an extensive range of applications in various sectors such as paper, biomedical, textile, and much more.
Trusted by 375,005 students
Access to over 1.5 million titles for a fair monthly price.
Study more efficiently using our study tools.
Information
Chapter 1
Green and Sustainable Advanced Materials: An Overview
Tanvir Arfin*, Arshiya Tarannum and Kamini Sonawane
Environmental Materials Division, CSIR-NEERI, Nehru Marg, Nagpur, India
*Corresponding author: [email protected]
Abstract
In today’s developing and challenging environment, the need of quality material for fulfilling the requirements of various sectors is increasing. Hence, to satisfy this task there is a growing need for advanced materials. Advanced material is a material that either synthesises or modifies the existing material by using various advanced technologies to get improved properties such as physical, chemical, mechanical, and optical properties and that gives better performance than the conventional material. There are various advanced materials including polymeric materials (polystyrene, dendrimer, etc.), metal oxide (TiO2, ZnO, etc.), biomaterial (dextran, cellulose, gelatine, pollulan, etc.), and nanomaterial (CNT, GO, etc.). Owing to their excellent mechanical, physical, electrical, chemical, and optical properties, ability to make composite with other materials, ease of availability, and low toxicity, they are used in various applications such as energy storage, water treatment (heavy metal, dyes, and pollutant removal), solar cell, electronics, paint, and textile industries.
Keywords: Nanomaterial, heavy metal, dye, pollutant, environment
1.1 History
The study of advanced materials is offering a new concept in the field of material science continuously since 25 years. The primary target for the study is the interdisciplinary behaviour of materials science and the concern related to the aspects of the materials. The limitations of the advance materials and the future outlook in the upcoming generations are the main topic of interest. In this chapter, the main emphasis is laid on the fundamental theories and the uses of advanced materials which on the other hand clarify about the recent growth in research field by different sources such as catalysis applicability, electrochemical, and semiconductor.
1.2 Biomaterials
Various types of biomaterials are described in the following subsections.
1.2.1 Dextran
Dextran is a material that can be produced quickly and from the cheap source of nitrogen or carbohydrates. Vegetable wastes, wheat bran, straws, and molasses can be used for the production of dextran. Different species of bacteria are required for the synthesis of dextran. In the food processing industries, dextran synthesis is carried out with the help of some strains such as Lactobacillus plantarum, Leuconostoc mesenteroides, and Lactobacillus sanfransisco. The fermentation process produces dextran by using energy source with sucrose as the primary energy source. In 1930, scientist Pederson and Hucker were the two who discovered the dextran production from the one specific strain ‘Leuconostoc’.
There are different derivatives of dextran that can be used on the commercial level such as diethylaminoethyl cellulose (DEAE) dextran, dextran sulphate, and fluorescein labelled dextran. Among these, the dextran sulphate is the one exhibiting low molecular weight and applicable in various sectors due to its favourable properties.
1.2.1.1 Chemical Structure
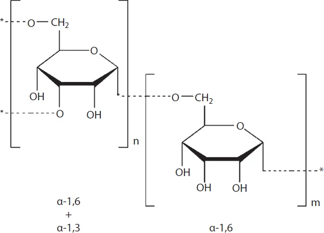
The smallest glucose molecules form the polysaccharides called as dextran. Dextran has two types of structures: straight chain comprises α-1,6 glycosidic linkages; whereas, the branched structure of dextran includes α-1,4 glycosidic linkages as shown in Figure 1.1. The molecular weight is about 9 × 106–500 × 106 Da.

Figure 1.1 Structure of dextran.
1.2.1.2 Properties
- Completely soluble in water.
- Retain moisture.
- Excellently stable.
1.2.1.3 Applications
Dextran has its application in the waste water treatment process. By using dextran, the process becomes economic and environmental friendly, as it is biodegradable. It also has utilisation in the photographic industries to some extent but only when it shows properties such as low chloride concentration and high clarity. Dextran has various applications in different fields. The frozen product such as ice-cream contains dextran as a stabiliser. About 2–4% of dextran is present in the blend [1]. It provides viscosity and stability to frozen product and frozen dairy product.
1.2.2 Cellulose
Cellulose serves as the raw material. It is produced by plants in massive quantity in the world. There are various forms of cellulose namely cellulose nanocrystal [2], bacterial cellulose [3], nanofilbrillated cellulose [4], and ethyl cellulose [5]. Cellulose was discovered by Peyen in 1838. The most significant storage of organic carbon is the cellulose. The advantage is that it is a renewable resource of the polymer. The common source of cellulose is the forest area possessing wood through which the commercial production of cellulose is possible. Cotton maintains the maximum concentration of cellulose. Cellulose production by plants is about 180 billion per year, and it can serve the significant amount of carbon source. When the cellulose is present in the combined form in other compounds such as polysaccharides and lignin, it can be said to be hemicellulose. However, during the modification of cellulose, sometimes the problems arise from the naturally occurring cellulose. Cellulose was prepared on the lab scale by using the bacterial species Gluconacetobacter xylinus and Acanthamoeba catellani. In 1991, it was discovered by Tarchevsky and Marchenko.
Frequently, it serves as raw materials for the production of various products in textile and fabric. Cellulose is present in the crystalline form as crystalline I, cellulose II, and crystalline III. Among these three types, type II is the more suitable for the commercial use. Type II is also obtained from type I, and it is more stable than the other two.
1.2.2.1 Chemical Structure
It is formed by the glucose linkage of α-1,4 bond...
Table of contents
- Cover
- Title page
- Copyright page
- Preface
- Chapter 1: Green and Sustainable Advanced Materials: An Overview
- Chapter 2: Characterization of Green and Sustainable Advanced Materials
- Chapter 3: Green and Sustainable Advanced Biopolymeric and Biocomposite Materials
- Chapter 4: Green and Sustainable Advanced Nanomaterials
- Chapter 5: Biogenic Approaches for SiO2 Nanostructures: Exploring the Sustainable Platform of Nanofabrication
- Chapter 6: Green and Sustainable Advanced Composite Materials
- Chapter 7: Design and Processing Aspects of Polymer and Composite Materials
- Chapter 8: Seaweed-Based Binder in Wood Composites
- Chapter 9: Green and Sustainable Textile Materials Using Natural Resources
- Chapter 10: Green Engineered Functional Textile Materials
- Chapter 11: Advances in Bio-Nanohybrid Materials
- Chapter 12: Green and Sustainable Selenium Nanoparticles and Their Biotechnological Applications
- Index
- End User License Agreement
Frequently asked questions
Yes, you can cancel anytime from the Subscription tab in your account settings on the Perlego website. Your subscription will stay active until the end of your current billing period. Learn how to cancel your subscription
No, books cannot be downloaded as external files, such as PDFs, for use outside of Perlego. However, you can download books within the Perlego app for offline reading on mobile or tablet. Learn how to download books offline
Perlego offers two plans: Essential and Complete
- Essential is ideal for learners and professionals who enjoy exploring a wide range of subjects. Access the Essential Library with 800,000+ trusted titles and best-sellers across business, personal growth, and the humanities. Includes unlimited reading time and Standard Read Aloud voice.
- Complete: Perfect for advanced learners and researchers needing full, unrestricted access. Unlock 1.5M+ books across hundreds of subjects, including academic and specialized titles. The Complete Plan also includes advanced features like Premium Read Aloud and Research Assistant.
We are an online textbook subscription service, where you can get access to an entire online library for less than the price of a single book per month. With over 1.5 million books across 990+ topics, we’ve got you covered! Learn about our mission
Look out for the read-aloud symbol on your next book to see if you can listen to it. The read-aloud tool reads text aloud for you, highlighting the text as it is being read. You can pause it, speed it up and slow it down. Learn more about Read Aloud
Yes! You can use the Perlego app on both iOS and Android devices to read anytime, anywhere — even offline. Perfect for commutes or when you’re on the go.
Please note we cannot support devices running on iOS 13 and Android 7 or earlier. Learn more about using the app
Please note we cannot support devices running on iOS 13 and Android 7 or earlier. Learn more about using the app
Yes, you can access Green and Sustainable Advanced Materials, Volume 1 by Shakeel Ahmed, Chaudhery Mustansar Hussain, Shakeel Ahmed,Chaudhery Mustansar Hussain in PDF and/or ePUB format, as well as other popular books in Biological Sciences & Biotechnology. We have over 1.5 million books available in our catalogue for you to explore.