
Optimization for Engineering Problems
- English
- ePUB (mobile friendly)
- Available on iOS & Android
Optimization for Engineering Problems
About this book
Optimization is central to any problem involving decision-making in engineering. Optimization theory and methods deal with selecting the best option regarding the given objective function or performance index. New algorithmic and theoretical techniques have been developed for this purpose, and have rapidly diffused into other disciplines. As a result, our knowledge of all aspects of the field has grown even more profound. In Optimization for Engineering Problems, eminent researchers in the field present the latest knowledge and techniques on the subject of optimization in engineering. Whereas the majority of work in this area focuses on other applications, this book applies advanced and algorithm-based optimization techniques specifically to problems in engineering.
Tools to learn more effectively

Saving Books

Keyword Search

Annotating Text

Listen to it instead
Information
1
Review of some Constrained Optimization Schemes
With rapid breakthroughs in the metaheuristic optimization methods in recent times, applications of conventional optimization solution techniques have been reduced. However, in some cases, where the computational issues are of major concern, these standard schemes are still in use. Modification to these core approaches can be appropriately incorporated to handle them more effectively. This chapter summarizes the existing important constrained optimization schemes. Many engineering problems are usually multi-objective in nature. Even though several solution approaches are available; a unified method is always preferred to solve such problems. This chapter will review some direct solution schemes including complex search, random search and method of feasible directions, and their performance in terms of accuracy, computational requirements and time at par with commonly used modern heuristic algorithms.
1.1. Introduction
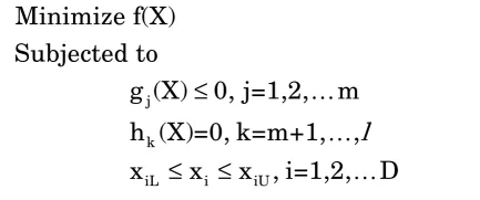
1.2. Constrained optimization problems

1.3. Direct solution techniques
1.3.1. Complex search method
Table of contents
- Cover
- Table of Contents
- Preface
- 1 Review of some Constrained Optimization Schemes
- 2 Application of Flower Pollination Algorithm for Optimization of ECM Process Parameters
- 3 Machinability and Multi-response Optimization of EDM of Al7075/SIC/WS2 Hybrid Composite Using the PROMETHEE Method
- 4 Optimization of Cutting Parameters during Hard Turning using Evolutionary Algorithms
- 5 Development of a Multi-objective Salp Swarm Algorithm for Benchmark Functions and Real-world Problems
- 6 Water Quality Index: is it Possible to Measure with Fuzzy Logic?
- List of Authors
- Index
- End User License Agreement
Frequently asked questions
- Essential is ideal for learners and professionals who enjoy exploring a wide range of subjects. Access the Essential Library with 800,000+ trusted titles and best-sellers across business, personal growth, and the humanities. Includes unlimited reading time and Standard Read Aloud voice.
- Complete: Perfect for advanced learners and researchers needing full, unrestricted access. Unlock 1.4M+ books across hundreds of subjects, including academic and specialized titles. The Complete Plan also includes advanced features like Premium Read Aloud and Research Assistant.
Please note we cannot support devices running on iOS 13 and Android 7 or earlier. Learn more about using the app