
Chi-squared Goodness-of-fit Tests for Censored Data
- English
- ePUB (mobile friendly)
- Available on iOS & Android
Chi-squared Goodness-of-fit Tests for Censored Data
About this book
This book is devoted to the problems of construction and application of chi-squared goodness-of-fit tests for complete and censored data. Classical chi-squared tests assume that unknown distribution parameters are estimated using grouped data, but in practice this assumption is often forgotten. In this book, we consider modified chi-squared tests, which do not suffer from such a drawback. The authors provide examples of chi-squared tests for various distributions widely used in practice, and also consider chi-squared tests for the parametric proportional hazards model and accelerated failure time model, which are widely used in reliability and survival analysis. Particular attention is paid to the choice of grouping intervals and simulations.
This book covers recent innovations in the field as well as important results previously only published in Russian. Chi-squared tests are compared with other goodness-of-fit tests (such as the Cramer-von Mises-Smirnov, Anderson-Darling and Zhang tests) in terms of power when testing close competing hypotheses.
Trusted by 375,005 students
Access to over 1 million titles for a fair monthly price.
Study more efficiently using our study tools.
Information
1
Chi-squared Goodness-of-fit Tests for Complete Data


1.1. Classical Pearson’s chi-squared test

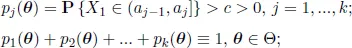
- 1) There exists a positive number c such that:

- 2) The functions pj(θ) have continuous first- and second-order partial derivatives on the set Θ;
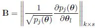
- 3) The matrix [1.3]

- has rank s.
Table of contents
- Cover
- Table of Contents
- Title
- Copyright
- Introduction
- 1 Chi-squared Goodness-of-fit Tests for Complete Data
- 2 Chi-squared Test for Censored Data
- 3 Comparison of the Chi-squared Goodness-of-fit Test with Other Tests
- 4 Chi-squared Goodness-of-fit Tests for Regression Models
- Appendices
- Bibliography
- Index
- End User License Agreement
Frequently asked questions
- Essential is ideal for learners and professionals who enjoy exploring a wide range of subjects. Access the Essential Library with 800,000+ trusted titles and best-sellers across business, personal growth, and the humanities. Includes unlimited reading time and Standard Read Aloud voice.
- Complete: Perfect for advanced learners and researchers needing full, unrestricted access. Unlock 1.4M+ books across hundreds of subjects, including academic and specialized titles. The Complete Plan also includes advanced features like Premium Read Aloud and Research Assistant.
Please note we cannot support devices running on iOS 13 and Android 7 or earlier. Learn more about using the app