In Situ Tests in Geotechnical Engineering
eBook - ePub

In Situ Tests in Geotechnical Engineering

  1. English
  2. ePUB (mobile friendly)
  3. Available on iOS & Android
eBook - ePub

In Situ Tests in Geotechnical Engineering

About this book

This book deals with in-situ tests that are performed in geotechnics to identify and characterize the soil. These measurements are then used to size the Civil Engineering works

This book is intended for engineers, students and geotechnical researchers. It provides useful information for use and optimal use of in-situ tests to achieve a better book adaptation of civil engineering on the ground

Trusted by 375,005 students

Access to over 1.5 million titles for a fair monthly price.

Study more efficiently using our study tools.

Information

Publisher
Wiley-ISTE
Year
2015
Print ISBN
9781848218499
Edition
1
eBook ISBN
9781119145615

1
Measuring Water Content and Density

1.1. Sample collection method

1.1.1. Measuring water content using the frying pan method

This method of measuring water content is carried out on site. It is subject to a standard [AFN 96c]. The procedure is as follows:
  • – weigh an empty and dry container: tare T;
  • – yake the soil sample to be studied;
  • – weigh the container filled with the soil to be tested: the total wet mass mth;
  • – heat the soil enough to dry it out completely but without breaking it down (for clay). A Bunsen burner, camping gas or methylated spirits can be used…;
  • – weigh the container with the dry soil: the total dry mass mtd.
The water content of the soil w is then given by the formula:
[1.1]
image

1.1.2. Measuring water content using the oven-dry method

This method is carried out in a laboratory and is subject to a standard [AFN 95c]. The approach is the same as before, but the soil is heated using an electric oven at 105°C for a minimum of 4 and 24 h if possible. This method enables:
  • – the prevention of clay decomposition;
  • – the evaporation of all the free water contained within the soil.
It is also possible to use a microwave oven. This process is subject to a standard [AFN 96b].

1.3.1. Measuring dry density using a membrane densitometer

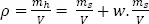
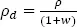
This measurement is carried out in situ with a membrane densitometer or a sample of soil on a core taken from the soil. In both cases, a wet density is measured and then converted into a dry density as follows:
  • – the water content of the soil taken is measured using one of the previous methods, with w as the water content;
  • – a sample of soil of mass mh is taken, which then breaks down into a grain mass ms and a mass of water mw [1.2]. If the water content w is known, the water mass of the sample can be determined [1.3]. If the volume of the sample V is known, the wet density can be determined [1.4] and the dry density deduced [1.6]. Measuring the volume is done following the membrane densitometer method or using the external volume of the core.
[1.2]
image
[1.3]
image
[1.4]
image
[1.5]
image
[1.6]
image
The densitometer is a device that measures cavity volume (Figure 1.1). To use it, a hole is dug in the soil whose volume is to be determined. The device is first filled with water and a membrane is placed at its base. The procedure is as follows:
  • – the densitometer is positioned at the surface of the ground to be tested after some surface stripping;
  • – the piston is pressed so that the flexible membrane is applied onto the ground surface and an initial volume reading is taken;
  • – the superior part of the device is removed, leaving the perforated disk (on the left in Figure 1.1);
  • – a hole is made in the ground to match the diameter of the densitometer;
  • – the extracted soil is weighed and its water content determined;
  • – the densitometer is repositioned back onto the perforated disk;
  • – the membrane is pushed into the hole by pushing on the densitometer’s piston, and a final volume reading is taken;
  • – the volume of the hole is determined by the difference between the two volumes;
  • – the wet density is determined following the formula [1.4] and the dry density fol...

Table of contents

  1. Cover
  2. Table of Contents
  3. Title
  4. Copyright
  5. Foreword
  6. Symbols and Notations
  7. Introduction
  8. Chapter 1: Measuring Water Content and Density
  9. Chapter 2: Soil and Rock Sampling Methods
  10. Chapter 3: Measuring the Total Pressuring, the Interstitial Pressure and the Groundwater Table Rating
  11. Chapter 4: Measuring Movement, Settling and Force
  12. Chapter 5: Static Loading Tests
  13. Chapter 6: Tests by Flat Dilatometer (DMT)
  14. Chapter 7: Penetrometer Test (CPT, CPTU, SPT, DCPT) and Variants
  15. Chapter 8: Direct Shear Tests In Situ
  16. Chapter 9: Pressuremeter Tests (PMT, SBP) and Variants
  17. Chapter 10: Water Tests in Soils
  18. Chapter 11: Characterization of Sites and Soils by In Situ Tests
  19. Bibliography
  20. Index
  21. End User License Agreement

Frequently asked questions

Yes, you can cancel anytime from the Subscription tab in your account settings on the Perlego website. Your subscription will stay active until the end of your current billing period. Learn how to cancel your subscription
No, books cannot be downloaded as external files, such as PDFs, for use outside of Perlego. However, you can download books within the Perlego app for offline reading on mobile or tablet. Learn how to download books offline
Perlego offers two plans: Essential and Complete
  • Essential is ideal for learners and professionals who enjoy exploring a wide range of subjects. Access the Essential Library with 800,000+ trusted titles and best-sellers across business, personal growth, and the humanities. Includes unlimited reading time and Standard Read Aloud voice.
  • Complete: Perfect for advanced learners and researchers needing full, unrestricted access. Unlock 1.5M+ books across hundreds of subjects, including academic and specialized titles. The Complete Plan also includes advanced features like Premium Read Aloud and Research Assistant.
Both plans are available with monthly, semester, or annual billing cycles.
We are an online textbook subscription service, where you can get access to an entire online library for less than the price of a single book per month. With over 1.5 million books across 990+ topics, we’ve got you covered! Learn about our mission
Look out for the read-aloud symbol on your next book to see if you can listen to it. The read-aloud tool reads text aloud for you, highlighting the text as it is being read. You can pause it, speed it up and slow it down. Learn more about Read Aloud
Yes! You can use the Perlego app on both iOS and Android devices to read anytime, anywhere — even offline. Perfect for commutes or when you’re on the go.
Please note we cannot support devices running on iOS 13 and Android 7 or earlier. Learn more about using the app
Yes, you can access In Situ Tests in Geotechnical Engineering by Jacques Monnet in PDF and/or ePUB format, as well as other popular books in Technology & Engineering & Civil Engineering. We have over 1.5 million books available in our catalogue for you to explore.