Organic Stereochemistry
eBook - ePub

Organic Stereochemistry

Experimental and Computational Methods

  1. English
  2. ePUB (mobile friendly)
  3. Available on iOS & Android
eBook - ePub

Organic Stereochemistry

Experimental and Computational Methods

About this book

Adopting a novel approach to the topic by combining theoretical knowledge and practical results, this book presents the most popular and useful computational and experimental methods applied for studying the stereochemistry of chemical reactions and compounds.
The text is clearly divided into three sections on fundamentals, spectroscopic and computational techniques, and applications in organic synthesis. The first part provides a brief introduction to the field of chirality and stereochemistry, while the second part covers the different methodologies, such as optical rotation, electronic circular dichroism, vibrational circular dicroism, and Raman spectroscopy. The third section then goes on to describe selective examples in organic synthesis, classified by reaction type, i.e. enantioselective, chemoselective and stereoselective reactions. A final chapter on total synthesis of natural products rounds off the book.
A valuable reference for researchers in academia and industry working in the field of organic synthesis, computational chemistry, spectroscopy or medicinal chemistry.

Tools to learn more effectively

Saving Books

Saving Books

Keyword Search

Keyword Search

Annotating Text

Annotating Text

Listen to it instead

Listen to it instead

Information

Publisher
Wiley-VCH
Year
2015
Print ISBN
9783527338221
eBook ISBN
9783527688173

Part I

Fundamentals

Chapter 1
Chirality

1.1 Introduction

A simple chiral molecule just contains one sp3-hybridized carbon that connects four different groups, such as chiral molecule 1 (
c01-math-0001
, Figure 1.1). Its mirror image structure, namely the enantiomer, is 2, which has the same relative configuration (RC) but different absolute configuration (AC); for example, when
c01-math-0002
, chiral molecule 1 has (R)-AC and 2 has (S)-AC. Both have the same chemical characteristics, such as the transition state (TS) barrier (reaction activation energy) in reactions in the absence of a chiral catalyst or a chiral auxiliary compound, and physical characteristics such as melting and boiling point and magnetic shielding constant for each corresponding atom. However, in a beam of circularly polarized light (CPL), the enantiomers exhibit opposite characteristics. For example, both have the same absolute optical rotation (OR) values, but their OR signs are reversed. The different optical characteristics are the basis allowing us to identify their AC.
nfgzgy001
Figure 1.1 Enantiomers and polarized light.
As a widely known phenomenon, chirality, also named as handedness, brings out many mysteries that we have not known until now. For example, the l-amino acids were selected in peptide formation for the origin of life instead of d-amino acids. d-sugars were used instead of l-sugars. That is the amazing natural choice. Although we do not know why Nature selected different chiral molecules in life, it does not affect us in the study of the handedness of molecules and other materials.
Absolutely, because of the natural selection of l-amino acids and d-sugars in life formation, different chiral compounds must, logically, have different effects on the life process. Historically, a mixture of the (R) and (S) enantiomers (3 and 4) was used as a medicine for preventing vomiting in pregnant women in European countries – but not in America – in the 1960s. Many infants with deformed limbs were born. This was caused by a chiral chemical compound, (S)-thalidomide (4), which can be isomerized from (R)-3 (Scheme 1.1) [1a–c]. In America, this tragic issue was avoided because Frances O. Kelsey in the Food and Drug Administration (FDA) could not find evidences from the documents handed by the pharmaceutical company to confirm that it was not harmless to the central nervous system. This doubt delayed the approval of this medicine for use in the United States, and just because of this action it saved many infants and families in the United States.
c01scy001
Scheme 1.1 Isomerization of (R)-thalidomide to its (S)-enantiomer [1].
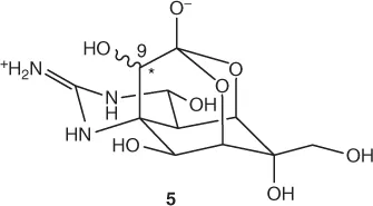
Tertodotoxin (5) is a strong toxic chiral compound that is isolated from globefish [1d]. The strong toxicity comes from the (S) AC of C9. Once C9 becomes (R) AC, its severe toxicity almost disappears.
chemical structure image
More examples can be found with different bioactivities. Some pairs of enantiome...

Table of contents

  1. Cover
  2. Related Titles
  3. Title Page
  4. Copyright
  5. Table of Contents
  6. Preface
  7. Acknowledgments
  8. List of Abbreviations
  9. Part I: Fundamentals
  10. Part II: Techniques
  11. Part III: Reactions
  12. Index
  13. End User License Agreement

Frequently asked questions

Yes, you can cancel anytime from the Subscription tab in your account settings on the Perlego website. Your subscription will stay active until the end of your current billing period. Learn how to cancel your subscription
No, books cannot be downloaded as external files, such as PDFs, for use outside of Perlego. However, you can download books within the Perlego app for offline reading on mobile or tablet. Learn how to download books offline
Perlego offers two plans: Essential and Complete
  • Essential is ideal for learners and professionals who enjoy exploring a wide range of subjects. Access the Essential Library with 800,000+ trusted titles and best-sellers across business, personal growth, and the humanities. Includes unlimited reading time and Standard Read Aloud voice.
  • Complete: Perfect for advanced learners and researchers needing full, unrestricted access. Unlock 1.4M+ books across hundreds of subjects, including academic and specialized titles. The Complete Plan also includes advanced features like Premium Read Aloud and Research Assistant.
Both plans are available with monthly, semester, or annual billing cycles.
We are an online textbook subscription service, where you can get access to an entire online library for less than the price of a single book per month. With over 1 million books across 990+ topics, we’ve got you covered! Learn about our mission
Look out for the read-aloud symbol on your next book to see if you can listen to it. The read-aloud tool reads text aloud for you, highlighting the text as it is being read. You can pause it, speed it up and slow it down. Learn more about Read Aloud
Yes! You can use the Perlego app on both iOS and Android devices to read anytime, anywhere — even offline. Perfect for commutes or when you’re on the go.
Please note we cannot support devices running on iOS 13 and Android 7 or earlier. Learn more about using the app
Yes, you can access Organic Stereochemistry by Hua-Jie Zhu in PDF and/or ePUB format, as well as other popular books in Naturwissenschaften & Organische Chemie. We have over one million books available in our catalogue for you to explore.