Timed Arrays
eBook - ePub

Timed Arrays

Wideband and Time Varying Antenna Arrays

  1. English
  2. ePUB (mobile friendly)
  3. Available on iOS & Android
eBook - ePub

Timed Arrays

Wideband and Time Varying Antenna Arrays

About this book

Introduces timed arrays and design approaches to meet the new high performance standards

The author concentrates on any aspect of an antenna array that must be viewed from a time perspective. The first chapters briefly introduce antenna arrays and explain the difference between phased and timed arrays. Since timed arrays are designed for realistic time-varying signals and scenarios, the book also reviews wideband signals, baseband and passband RF signals, polarization and signal bandwidth. Other topics covered include time domain, mutual coupling, wideband elements, and dispersion. The author also presents a number of analog and digital beamforming networks for creating and manipulating beams. The book concludes with an overview of the methods to integrate time delay into the array design and of several other adaptive arrays that prove useful in many different systems. 

  • Examines RF signal concepts such as polarization and signal bandwidth and their applications to timed antenna arrays
  • Covers arrays of point source, elements in timed antenna arrays, active electronically scanned array technology, and time delay in corporate fed arrays
  • Includes complete design examples for placing time delay in arrays
Timed Arrays: Wideband and Time Varying Antenna Arrays is written for practicing engineers and scientists in wireless communication, radar, and remote sensing as well as graduate students and professors interested in advanced antenna topics.

Trusted by 375,005 students

Access to over 1.5 million titles for a fair monthly price.

Study more efficiently using our study tools.

Information

Year
2015
Print ISBN
9781118860144
Edition
1
eBook ISBN
9781119071914

1
TIMED AND PHASED ARRAY ANTENNAS

This chapter briefly introduces antenna arrays and the difference between phased and timed arrays. Not long after the invention of antenna arrays, researchers experimented with moving the main beam by modifying the phase of the signals fed at the elements [1]. Manual beamsteering eventually led to the invention of the phased array where the main beam was electronically steered to a desired direction by applying a pre-calculated phase to all the elements [2]. Phase is a narrow band concept, though. Today’s applications of antenna arrays require high data rates and wide bandwidths. The term “timed arrays” applies to several classes of antenna arrays that are becoming more important with the development of new technologies that must be designed, analyzed, and tested in the time domain, rather than the steady-state, time harmonic forms used with phased arrays. One author defined timed arrays as [3]“…timed-domain equivalent of phased arrays, where each radiating element is excited by pulsed instead of narrowband signals.” This book adds adaptive arrays, reconfigurable arrays, and other time-dependent arrays to that definition of timed arrays.

1.1 LARGE ANTENNAS

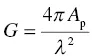
Large antennas collect more electromagnetic radiation than small antennas. They have the potential to detect very faint signals—the reason they are popular for radio astronomy and radar. Consequently, an antenna has gain that magnifies the received or transmitted signal in the direction it is pointing. An approximate relationship between the physical size or aperture area (Ap) and gain is given by
(1.1)
images
where λ is the wavelength. Note that this formula assumes the antenna only transmits over a hemisphere. “Large antenna” may indicate its physical size but more often refers to its electrical size: area /λ2. For a given aperture size, higher frequency means higher gain.
Antenna arrays are frequently used in communications and radar systems. The power received by a communications antenna is given by the Friis transmission formula:
(1.2)
images
And the power received by a monostatic radar antenna is given by the radar range equation:
(1.3)
images
where Pt = power transmitted (W), σ = radar cross section (m2), R = distance (m2), λ = wavelength (m), Gt = gain of transmitting antenna, and Gr = gain of receiving antenna.
Both (1.2) and (1.3) point out that a bigger antenna increases the received power through a higher gain.
Large antennas come in two forms: reflectors and arrays. Figure 1.1 has examples of a large reflector (Green Bank Telescope, GBT) used for radio astronomy and a large phased array (PAVE PAWS) used for radar. The Green Bank reflector is a 100 m diameter offset-fed reflector that operates from 0.1 to 116 GHz [4]. The GBT mechanically steers to access 85% of the celestial sphere. The PAVE PAWS radar has two apertures with each covering 240° in azimuth and from 3–85° in elevation [5]. It operates at 420–450 MHz. Each face is 22.1 m in diameter and has 1792 active T/R modules and 885 passive elements resulting in a gain of 37.9 dB with a 2.2° beamwidth. The nominal peak power per face is 600 kW, with a power of 150 kW.
c1-fig-0001
FIGURE 1.1 (a) Green Bank Telescope reflector [4]. (b) PAVE PAWS radar [5].
(Courtesy of BMDO)
(Courtesy of NRAO)
Reflectors and arrays compete to fulfill the role of a large antenna in systems that detect weak signals The reflector is cheap compared to the array, and that is why it is the antenna of choice for commercial activities, such as satellite television. Moving a large reflector in order to locate or track a signal requires gimbals, servomotors, and other mechanical parts that result in a reliability and maintenance problem and leads to significant lifecycle costs [6]. Mechanical steering is too slow for some systems, such as radars on airplanes that need high-speed electronic steering offered by arrays.
An array makes many performance promises for a price. Some potential advantages of an array over a reflector antenna include the following [7]:
  1. Fast, wide-angle scanning without moving the antenna
  2. Adaptive beamforming
  3. Graceful degradation in performance over time
  4. Distributed aperture
  5. Multiple beams
  6. Potential for low radar cross section
Reflectors have the following advantages:
  1. High G/T
  2. Wide bandwidth
  3. Relatively low cost
The missio...

Table of contents

  1. COVER
  2. TITLE PAGE
  3. TABLE OF CONTENTS
  4. LIST OF FIGURES
  5. PREFACE
  6. 1 TIMED AND PHASED ARRAY ANTENNAS
  7. 2 RF SIGNALS
  8. 3 ARRAYS OF POINT SOURCES
  9. 4 ELEMENTS IN TIMED ARRAYS
  10. 5 ARRAY BEAMFORMING
  11. 6 ACTIVE ELECTRONICALLY SCANNED ARRAY TECHNOLOGY
  12. 7 TIME DELAY IN A CORPORATE-FED ARRAY
  13. 8 ADAPTIVE ARRAYS
  14. LIST OF SYMBOLS AND ABBREVIATIONS
  15. INDEX
  16. END USER LICENSE AGREEMENT

Frequently asked questions

Yes, you can cancel anytime from the Subscription tab in your account settings on the Perlego website. Your subscription will stay active until the end of your current billing period. Learn how to cancel your subscription
No, books cannot be downloaded as external files, such as PDFs, for use outside of Perlego. However, you can download books within the Perlego app for offline reading on mobile or tablet. Learn how to download books offline
Perlego offers two plans: Essential and Complete
  • Essential is ideal for learners and professionals who enjoy exploring a wide range of subjects. Access the Essential Library with 800,000+ trusted titles and best-sellers across business, personal growth, and the humanities. Includes unlimited reading time and Standard Read Aloud voice.
  • Complete: Perfect for advanced learners and researchers needing full, unrestricted access. Unlock 1.5M+ books across hundreds of subjects, including academic and specialized titles. The Complete Plan also includes advanced features like Premium Read Aloud and Research Assistant.
Both plans are available with monthly, semester, or annual billing cycles.
We are an online textbook subscription service, where you can get access to an entire online library for less than the price of a single book per month. With over 1.5 million books across 990+ topics, we’ve got you covered! Learn about our mission
Look out for the read-aloud symbol on your next book to see if you can listen to it. The read-aloud tool reads text aloud for you, highlighting the text as it is being read. You can pause it, speed it up and slow it down. Learn more about Read Aloud
Yes! You can use the Perlego app on both iOS and Android devices to read anytime, anywhere — even offline. Perfect for commutes or when you’re on the go.
Please note we cannot support devices running on iOS 13 and Android 7 or earlier. Learn more about using the app
Yes, you can access Timed Arrays by Randy L. Haupt in PDF and/or ePUB format, as well as other popular books in Technology & Engineering & Electrical Engineering & Telecommunications. We have over 1.5 million books available in our catalogue for you to explore.