Directed Selectivity in Organic Synthesis
eBook - ePub

Directed Selectivity in Organic Synthesis

A Practical Guide

  1. English
  2. ePUB (mobile friendly)
  3. Available on iOS & Android
eBook - ePub

Directed Selectivity in Organic Synthesis

A Practical Guide

About this book

Bringing together examples that until now were often hidden and widely spread throughout the original literature, this textbook shows how to use the correct reagents, conditions or reaction sequences to have access to all possible stereoisomers when beginning synthesis with only a single starting material.

Adopting a didactic approach, the authors have chosen general and simple examples throughout the book so that these reactions can be transferred easily to other reaction types.

While of major interest to master and PhD students alike, this book is also a source of valuable information for organic chemists in both academia and industry.

Additional material for lectures at www.wiley-vch.de/textbooks

Trusted by 375,005 students

Access to over 1 million titles for a fair monthly price.

Study more efficiently using our study tools.

Information

Publisher
Wiley-VCH
Year
2014
Print ISBN
9783527333752
eBook ISBN
9783527667291

Chapter 1
General Methods to Direct Selectivity

In the first chapter, we shall focus on the different modes of selectivity dealt with in organic synthesis and we shall describe the most important general methods to direct selectivity in these fields.

1.1 Chemoselectivity

The most obvious area that has already been intensely treated over many years is chemoselectivity [1].
The majority of the problems here have been solved to date, mainly with the help of protecting groups.
This is a broad field, but since it has been expertly and comprehensively covered in books [2] and review articles [3], we shall not engage in the same here.
In addition, there is a tendency in the last years to leave protecting groups altogether [4], since their removal may sometimes create problems at a later stage and since they mean additional steps, it translates into additional time and efforts.
Consequently, we nowadays aim at chemoselectivity without protecting groups.
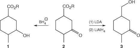
A very simple solution is to hide the functional group in a reversible manner as, for instance, with the enolate of a carbonyl group [5].
image
While the higher δ
c01-math-0001
– character of the keto group in ketoester 2 allows for mild borohydride reduction to yield hydroxyester 1, this may lead to preferential enolate formation followed by selective hydride reduction of the ester group to generate hydroxyketone 3.
As polarization and enolization of carbonyl groups are the crucial steps in these efforts, one is not surprised that oxophilic countercations such as aluminum and magnesium are particularly helpful and that they manage to trigger the in situ enolate formation.
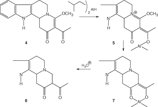
This is nicely demonstrated with the selective diisobutylaluminum hydride (DIBAL)-reduction of β-dicarbonyl compound 4 [6].
image
Probably the oxophilic aluminum compound attacks the carbonyl groups to form 5, which is then reduced to enolate 7. As long as this enolate is not quenched by protonation, one could continue with other transformations in a molecule of this type without touching the 1,3-dicarbonyl moiety. As predicted, this type of enolate formation can also be exercised with magnesium as the countercation, and as an example one notices the dimerization of cyanoacetate to form the β-dicarbonyl system 10 [7].
While deprotonation with sodium methoxide leads to nitrile attack forming enamine 9, the employment of magnesium methoxide favors chelation of the Claisen intermediate, giving rise to the 1,3-dicarbonyl compound 10.
In situ manipulation also plays a vital role in the selective reduction of ketoaldehyde 11 in the presence of cerium trichloride [8]
image
as well as in the allene formation from the butynediol derivatives 13 [9].
image
While in all these cases we dealt with complexation of the substrate to modify the electronic behavior, one may also use complexation to enhance or to reduce the reactivity of reagents [10].
Typical and very well-established borohydride complexes range from cyanoborohydride 15 via the various alkoxy compounds 16 to tris-acetoxyborohydride 17 and tris-alkylborohydride 19.
image
Very similar to the trisacetoxy compound 17, which is simply obtained by dissolving sodium borohydride in acetic acid, the tris-tert-butoxy-alanate complex 18 is formed also on treatment of lithium alanate with tert-butyl alcohol.
In both cases, only three hydride anions are displaced, leading in the case of complex 18 to not only a very mild but also a space-demanding reducing agent.
Of particular importance is the in situ complexation of the strong and highly oxophilic dialkyl aluminum hydrides, for example, DIBAL [6, 11].
On treatment of the multifunctional indolo-quinolizidine 20 with a plain toluene solution of this reagent, one observes a very unselective and also unreliable reduction, leading to an unattractive mixture of compounds.
If, however, the toluene solution is pretreated with glycol dimethyl ether, the very selective and highly reproducible formation of hydroxyester 21 is noted [12].
The warming up of the hydride solution on addition of the diether indicates complex formation, to slow down the reactivity of the reducing reagent.
image
The high tendency for aluminum–oxygen interaction may also be responsible for the highly selective reduction of nitrile ester 22 with DIBAL in the absence of the diether at low temperature [13].
While the polarization of carbonyl groups and the Lewis base capacity of hydroxy groups offer a number of options for complexation, the situation is quite different with carbon–carbon double bonds.
Nevertheless, there are various possibilities to influence their reactivity along these ...

Table of contents

  1. Cover
  2. Table of Contents
  3. Related Titles
  4. Title
  5. The Authors
  6. Copyright
  7. Preface
  8. Acknowledgement
  9. Chapter 1: General Methods to Direct Selectivity
  10. Chapter 2: Directed Selectivity: Acetylenes and Alkenes
  11. Chapter 3: Directed Selectivity with Carbonyl Derivatives
  12. Chapter 4: Selectivity at sp3 – Centers and Heteroatoms
  13. Index
  14. End User License Agreement

Frequently asked questions

Yes, you can cancel anytime from the Subscription tab in your account settings on the Perlego website. Your subscription will stay active until the end of your current billing period. Learn how to cancel your subscription
No, books cannot be downloaded as external files, such as PDFs, for use outside of Perlego. However, you can download books within the Perlego app for offline reading on mobile or tablet. Learn how to download books offline
Perlego offers two plans: Essential and Complete
  • Essential is ideal for learners and professionals who enjoy exploring a wide range of subjects. Access the Essential Library with 800,000+ trusted titles and best-sellers across business, personal growth, and the humanities. Includes unlimited reading time and Standard Read Aloud voice.
  • Complete: Perfect for advanced learners and researchers needing full, unrestricted access. Unlock 1.4M+ books across hundreds of subjects, including academic and specialized titles. The Complete Plan also includes advanced features like Premium Read Aloud and Research Assistant.
Both plans are available with monthly, semester, or annual billing cycles.
We are an online textbook subscription service, where you can get access to an entire online library for less than the price of a single book per month. With over 1 million books across 990+ topics, we’ve got you covered! Learn about our mission
Look out for the read-aloud symbol on your next book to see if you can listen to it. The read-aloud tool reads text aloud for you, highlighting the text as it is being read. You can pause it, speed it up and slow it down. Learn more about Read Aloud
Yes! You can use the Perlego app on both iOS and Android devices to read anytime, anywhere — even offline. Perfect for commutes or when you’re on the go.
Please note we cannot support devices running on iOS 13 and Android 7 or earlier. Learn more about using the app
Yes, you can access Directed Selectivity in Organic Synthesis by Tanja Gaich,Ekkehard Winterfeldt in PDF and/or ePUB format, as well as other popular books in Physical Sciences & Physical & Theoretical Chemistry. We have over one million books available in our catalogue for you to explore.