Advances in Contact Angle, Wettability and Adhesion, Volume 2
eBook - ePub

Advances in Contact Angle, Wettability and Adhesion, Volume 2

  1. English
  2. ePUB (mobile friendly)
  3. Available on iOS & Android
eBook - ePub

Advances in Contact Angle, Wettability and Adhesion, Volume 2

About this book

This book is the second volume in the series "Contact Angle, Wettability and Adhesion." The premier volume was published in 2013.

Even a cursory glance at the literature show  that in recent years the interest in understanding and controlling wetting behavior has grown exponentially. Currently, there is tremendous research activity in rendering surfaces superhydrophobic, superhydrophilic, superoleophobic, superoleophilic, omniphobic and omniphilic because of their applications in many technologically important fields. Also the durability or robustness of materials with such super" characteristics is extremely significant, as well as the utilization of "green" (biobased) materials to obtain such surfaces.

This book containing 19 articles reflects more recent developments in certain areas covered in its predecessor volume as well as it includes some topics which were not covered before. Concomitantly, this book provides a medium to keep abreast of the latest research activity and developments in the arena of contact angle, wettability and adhesion.

The topics discussed include: Understanding of wetting hysteresis; fabrication of superhydrophobic materials; plasma treatment to achieve superhydrophilic surfaces; highly liquid repellent textiles; modification of paper surfaces to control liquid wetting and adhesion; Cheerios effect and its control; engineering materials with superwettability; laser ablation to create micro/nano-patterned surfaces; liquid repellent amorphous carbon nanoparticle networks; mechanical durability of liquid repellent surfaces; wetting of solid walls and spontaneous capillary flow; relationship between roughness and oleophilicity; superhydrophobic and superoleophobic green materials; computational analysis of wetting on hydrophobic surfaces: application to self-cleaning mechanisms; bubble adhesion to superhydrophilic surfaces; surface free energy of superhydrophobic materials; and role of surface free energy in pharmaceutical tablet tensile strength.

Trusted by 375,005 students

Access to over 1.5 million titles for a fair monthly price.

Study more efficiently using our study tools.

Information

Year
2015
Print ISBN
9781119116981
Edition
1
eBook ISBN
9781119117001

Part 1

FUNDAMENTAL AND GENERAL ASPECTS

Chapter 1

Wetting of Solid Walls and Spontaneous Capillary Flow

Jean Berthier1,* and Kenneth A. Brakke2
1CEA-LETI, CEA/University Grenoble-Alpes, Department of Technology for Life Sciences and Health Care, Grenoble, France
2Department of Mathematics, Susquehanna University, Selinsgrove, PA, USA
*Corresponding author: [email protected]

Abstract

Spontaneous capillary flows are of great importance in space and biophysics. In space, the gravitational forces are negligible and capillary forces govern liquid motion. In modern biotechnology, the scale of fluidic systems is so small that gravity can be neglected in comparison to capillary forces. In this chapter, we first derive the condition for onset of spontaneous capillary flow in open or confined microchannels; then we present an analysis of the dynamics of the capillary flow that generalizes the Lucas-Washburn-Rideal law to channels of arbitrary section. Finally, we illustrate the theoretical approach by considering the case of suspended capillary microflows.

Keywords: Spontaneous capillary flow (SCF), Gibbs free energy, Lucas-Washburn-Rideal (LWR) law, suspended microflows

1.1 Introduction: Capillary Flows and Contact Angles

At the macroscale, capillary forces seldom have a noticeable effect on physical phenomena. The reason is that their magnitude is much smaller than that of the usual macroscopic forces, such as gravity. However, in two cases capillary forces may become important: in space where gravity is negligible, and at the micro and nano-scale. In this chapter, we focus on the role and effect of capillarity at the microscale for microflows. More specifically, the relation between the wetting of the walls and the capillary flow is investigated, first from a static or quasi-static point of view, and then from a dynamic point of view.
Biotechnology, biology and medicine are domains where capillarity is now widely used. Let us recall that in all these domains, the concepts of point-of-care (POC) and home care are of increasing interest [1-5]. These systems allow for self-testing and telemedicine. Three main types of tests are targeted: first, the search for metabolites—such as cholesterol, glucose, and thyroid hormones; second, the search for viral load—such as viruses and bacteria; and third, blood monitoring—such as the measure of INR (international normalized ratio), coagulation time, prothrombin (PR) time, or blood cell counts. Monitoring at home or at the doctor’s office is an important improvement for the patient: frequent testing, immediate response, no visit to the hospital, and monitoring by telemedicine or directly by the doctor. Such systems must be low-cost, easily portable, sensitive, and robust.
In these domains where biological and chemical targets are transported by liquids, capillary actuation of liquids does not require bulky pumps or syringes, or any auxiliary energy sources. The energy source for the flow is the surface energy of the microchannel walls. On the other hand, conventional forced flow laboratory systems require the help of bulky equipment, which is expensive and not portable.
By definition, a spontaneous capillary flow (SCF) occurs when a liquid volume is moved spontaneously by the effect of capillary forces—without the help of auxiliary devices such as pumps or syringes. Capillary systems can be either confined or open, i.e. the liquid moves inside a closed channel or in a channel partially open to the air. On the other hand, composite channels—sometimes partly open or with apertures—are increasingly used, and spontaneous capillary flow is a convenient method to move liquids in such geometries. Some examples of SCF are shown in Figure 1.1.
Figure 1.1 Different examples of spontaneous capillary flows (SCF) in open-surface microchannels (channels etched in silicon and coated by an SiO2 layer): (a) serial SCF; (b) parallel SCF; (c) parallel channels; (d) winding channels crossing wells; (e) filling of a cylindrical cavity; (f) capillary filaments in a cylindrical well; (g) capillary filaments in corners. Photographs by N. Villard, D. Gosselin and J. Berthier (CEA-Leti).
In this chapter, we first investigate the conditions for spontaneous capillary flow in open or confined microchannels, composite or not, and we show that a generalized Cassie angle governs the onset of SCF [6]. Then we present the dynamics of the capillary flow with a generalized Lucas-Washburn-Rideal expression for the flow velocity and travel distance [7-9]. Finally, we focus on the particular effect of precursor capillary filaments—sometimes called Concus-Finn filaments [10,11]—that sometimes exist in sharp corners, depending on the wettability of the walls.

1.2 A General Condition for Spontaneous Capillary Flow (SCF)

In this section, we analyze the conditions for the onset of SCF, i.e. the equilibrium state that is the limit for a capillary flow. Any change in these conditions results either in an advancing SCF, or in the receding of the liquid in the channel. We shall see that SCF depends on the wetting angle of the liquid with the walls, and on the geometry of the channel. Geometry has a profound influence on the channel’s ability to allow for a capillary flow. Geometries facilitating the establishment of capillary flows in confined or open channels have been experimentally and numerically investigated [12-20].
From a theoretical standpoint, a first approach valid for confined or open channels with a single wall contact angle (uniform surface energy) has been recently proposed [21]. Later a general condition for SCF in confined or open microchannels, composite or not, was established based on the Gibbs free energy expression [6,22]. It is this latter condition—the most general—that we present next.
Let us consider the general case of a channel of uniform cross section, with a boundary with the surrounding air, and composite walls of different nature as sketched in Figure 1.2. We show that the condition for SCF onset is simply that the generalized Cassie angle for the composite surface be smaller than 90°. Let us recall that the generalized Cassie angle θ* is the average contact angle defined in the appropriate way, i.e.
(1.1)
equation
where the θi are the Young contact angles with each component i, and the fi are the areal fraction of each component i in a cross section of the flow (Figure 1.2). The free interface with air is denoted by the index F.
Figure 1.2 Cross section of a partly open composite microchannel: the lengths wi stand for the wetted perimeters and wF for free perimeter. The areal fractions are

1.2.1 Theoretical Condition

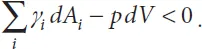
Our starting point is the Gibbs thermodynamic equation [22]
(1.2)
equation
where G is the Gibbs free energy, Ai the liquid contact areas with the different boundary materials, Îłi the liquid interface tensions with the different boundary materials, V the liquid volume, p the liquid pressure, S the entropy and T the temperature. Generally in biotechnology (except for the very special cases where heating is used, such as for polymerase chain reaction PCR), the temperature is kept constant and the last term of (1.2) vanishes. Assuming a constant temperature, we consider the two following cases: first, the liquid volume is constant, as for a drop with negligible or slow evaporation, and second, an increasing volume of liquid. In the first case, (1.2) reduces to
(1.3)
equation
The equilibrium position of the droplet is obtained by finding the minimum of the Gibbs free energy. In this case, the minimization of the Gibbs free energy is equivalent to the minimization of the liquid surface area.
The second case—that of an SCF—is different: the volume of liquid is not constant in the system (dV ≠ 0), and the system evolves in the direction of lower energy. Hence
(1.4)
equation
The morphology of the free surface is such that it evolves to reduce the Gibbs free energy G. For simplicity, we first consider a uniform channel with a single contact angle and open to the air. The liquid (L) then has contact with solid (S) and air (G) as sketched in Figure 1.3.
Figure 1.3 Sketch o...

Table of contents

  1. Cover
  2. Half Title page
  3. Title page
  4. Copyright page
  5. Preface
  6. Part 1: Fundamental and General Aspects
  7. Part 2: Wettability Modification
  8. Part 3: Surface Free Energy and Adhesion
  9. Index

Frequently asked questions

Yes, you can cancel anytime from the Subscription tab in your account settings on the Perlego website. Your subscription will stay active until the end of your current billing period. Learn how to cancel your subscription
No, books cannot be downloaded as external files, such as PDFs, for use outside of Perlego. However, you can download books within the Perlego app for offline reading on mobile or tablet. Learn how to download books offline
Perlego offers two plans: Essential and Complete
  • Essential is ideal for learners and professionals who enjoy exploring a wide range of subjects. Access the Essential Library with 800,000+ trusted titles and best-sellers across business, personal growth, and the humanities. Includes unlimited reading time and Standard Read Aloud voice.
  • Complete: Perfect for advanced learners and researchers needing full, unrestricted access. Unlock 1.5M+ books across hundreds of subjects, including academic and specialized titles. The Complete Plan also includes advanced features like Premium Read Aloud and Research Assistant.
Both plans are available with monthly, semester, or annual billing cycles.
We are an online textbook subscription service, where you can get access to an entire online library for less than the price of a single book per month. With over 1.5 million books across 990+ topics, we’ve got you covered! Learn about our mission
Look out for the read-aloud symbol on your next book to see if you can listen to it. The read-aloud tool reads text aloud for you, highlighting the text as it is being read. You can pause it, speed it up and slow it down. Learn more about Read Aloud
Yes! You can use the Perlego app on both iOS and Android devices to read anytime, anywhere — even offline. Perfect for commutes or when you’re on the go.
Please note we cannot support devices running on iOS 13 and Android 7 or earlier. Learn more about using the app
Yes, you can access Advances in Contact Angle, Wettability and Adhesion, Volume 2 by K. L. Mittal in PDF and/or ePUB format, as well as other popular books in Technology & Engineering & Materials Science. We have over 1.5 million books available in our catalogue for you to explore.