Transport and Coherent Structures in Wall Turbulence
eBook - ePub

Transport and Coherent Structures in Wall Turbulence

  1. English
  2. ePUB (mobile friendly)
  3. Available on iOS & Android
eBook - ePub

Transport and Coherent Structures in Wall Turbulence

About this book

Wall bounded turbulent flows are of major importance in industrial and environmental fluid mechanics. The structure of the wall turbulence is intrinsically related to the coherent structures that play a fundamental role in the transport process. The comprehension of their regeneration mechanism is indispensable for the development of efficient strategies in terms of drag control and near wall turbulence management. This book provides an up-to-date overview on the progress made in this specific area in recent years.

Trusted by 375,005 students

Access to over 1.5 million titles for a fair monthly price.

Study more efficiently using our study tools.

Information

Publisher
Wiley-ISTE
Year
2014
Print ISBN
9781848213951
Edition
1
eBook ISBN
9781118576779

1

General Points

1.1 Introduction

This book is the continuation of [TAR 11a] and [TAR 11b]. The series as a whole gives a broad-ranging presentation of the statistical properties of turbulent flows delimited by rigid walls. It is preferable, though not obligatory, for the readers to consult [TAR 11a] and [TAR 11b]. This chapter lays out the basic elements and the literature necessary for the understanding of this book. We limit ourselves to give an overview as brief as possible, without going into details, which the interested readers can find out in numerous publications referenced herein.
First, we provide a summary of the fundamental equations in fluid dynamics (the Navier–Stokes (NS) momentum balance equations and the conservation of mass equations). We then proceed to discuss the Reynolds-averaged equations. We lay down a number of exact solutions related to fully developed turbulent flows in a two dimensional (2D) channel, before providing a brief reminder about turbulent boundary layers and their overall characteristics. Wall turbulent scales are then introduced, alongside closures at a single point. We then present the characteristics of the mean velocity distribution and the effects of the Reynolds number, analyzed in detail in [TAR 11a] and [TAR 11b]. Turbulence intensities of the velocity components are discussed in a separate section. The chapter ends with some reminders concerning vorticity, and its statistical characteristics in wall turbulent flows.

1.2 General equations

It will be assumed in this book that the readers are familiar with the basic concepts of fluid dynamics. Here, we will recap the basic equations applicable to fluid dynamics, limiting our examination to incompressible flows.

1.2.1 Eulerian relations

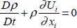
The two local equations that are fundamental in fluid dynamics express the conservation of mass and the first law of general mechanics, which results in the momentum balance equation. They are both expressed in terms of the material derivative1 defined by
[1.1]
images
The component of the instantaneous local velocity vector in direction xi is written as U i (
images
, t). The position vector is
images
(x1, x2, x3) and t is the time. The Einstein summation notation is applied to the above relation. The material derivative expresses the variation of a physical value, tracking the particle in the flow.

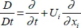
1.2.1.1 Continuity equation

The continuity equation expresses the conservation of mass throughout an elementary volume of fluid. It can be written in various forms, including
[1.2]
images
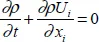
where ρ is the density. This equation can also be written as
[1.3]
images
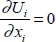
using the definition of the material derivative. In the context of the applications envisaged in this book, the density ρ is considered to be constant in this equation; so the continuity equation is reduced to
[1.4]
images

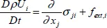
1.2.1.2. Momentum balance equations

We obtain the momentum balance equations by applying Newton’s first law to an elementary volume. We obtain
[1.5]
images
In this relation, fext,i represents the external forces and σji is the shear stress tensor defined by
[1.6]
images
for a Newtonian fluid.2 In this equation, P(
images
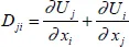
, t) represents the field of local instantaneous pressure, μ is the dynamic viscosity and δji is the Kronecker delta (δji = 1 if j = i, and 0 if not). The value Dij is the strain tensor, which is expressed by
[1.7]
images
The momentum balance equation [1.4] can be reduced to the NS equation for an incompressible Newtonian flui...

Table of contents

  1. Cover
  2. Contents
  3. Title Page
  4. Copyrights
  5. Introduction
  6. Main Notations
  7. 1 General Points
  8. 2 Transport Phenomena in Wall Turbulence
  9. 3 Near-Wall Coherent Structures: History, Identification and Detection
  10. 4 Coherent Wall Structures: Dynamics and Contribution to Turbulent Activity
  11. 5 Regeneration and Self-Maintaining of Coherent Structures
  12. 6 Large- and Very Large-scale Structures
  13. Bibliography
  14. Index

Frequently asked questions

Yes, you can cancel anytime from the Subscription tab in your account settings on the Perlego website. Your subscription will stay active until the end of your current billing period. Learn how to cancel your subscription
No, books cannot be downloaded as external files, such as PDFs, for use outside of Perlego. However, you can download books within the Perlego app for offline reading on mobile or tablet. Learn how to download books offline
Perlego offers two plans: Essential and Complete
  • Essential is ideal for learners and professionals who enjoy exploring a wide range of subjects. Access the Essential Library with 800,000+ trusted titles and best-sellers across business, personal growth, and the humanities. Includes unlimited reading time and Standard Read Aloud voice.
  • Complete: Perfect for advanced learners and researchers needing full, unrestricted access. Unlock 1.5M+ books across hundreds of subjects, including academic and specialized titles. The Complete Plan also includes advanced features like Premium Read Aloud and Research Assistant.
Both plans are available with monthly, semester, or annual billing cycles.
We are an online textbook subscription service, where you can get access to an entire online library for less than the price of a single book per month. With over 1.5 million books across 990+ topics, we’ve got you covered! Learn about our mission
Look out for the read-aloud symbol on your next book to see if you can listen to it. The read-aloud tool reads text aloud for you, highlighting the text as it is being read. You can pause it, speed it up and slow it down. Learn more about Read Aloud
Yes! You can use the Perlego app on both iOS and Android devices to read anytime, anywhere — even offline. Perfect for commutes or when you’re on the go.
Please note we cannot support devices running on iOS 13 and Android 7 or earlier. Learn more about using the app
Yes, you can access Transport and Coherent Structures in Wall Turbulence by Sedat Tardu in PDF and/or ePUB format, as well as other popular books in Technology & Engineering & Civil Engineering. We have over 1.5 million books available in our catalogue for you to explore.