
Physik für Ingenieure und Naturwissenschaftler
Band 2: Elektrizität, Optik und Wellen
- German
- ePUB (handyfreundlich)
- Über iOS und Android verfügbar
Physik für Ingenieure und Naturwissenschaftler
Band 2: Elektrizität, Optik und Wellen
Über dieses Buch
Mit diesem zweibändigen Werk liegt wiederum eine erneuerte und verbesserte Auflage des bewährten Lehrbuchs von Friedhelm Kuypers vor.
Band 2 umfasst die Elektrodynamik, Optik und Wellenlehre. Unter anderem werden folgende Themen behandelt: LCD-Fernseher, Laserdrucker, CD- und DVD-Spieler, Lichtleiter, Abschirmung von Feldern, Drehstrom. Zusammenhänge zwischen technischen Anwendungen, alltäglichen Phänomenen und physikalischen Gesetzen werden beleuchtet. Der Aufbau und die Aufbereitung des Stoffes sind auf eine effektive Prüfungsvorbereitung zugeschnitten. Jedes Kapitel endet mit einer Zusammenfassung des Basiswissens und der wichtigsten Lernschritte. Zahlreiche Aufgaben in verschiedenen Schwierigkeitsgraden mit ausführlichen Lösungen bieten ideale Trainingsmöglichkeiten.
Häufig gestellte Fragen
- Elementar ist ideal für Lernende und Profis, die sich mit einer Vielzahl von Themen beschäftigen möchten. Erhalte Zugang zur Basic-Bibliothek mit über 800.000 vertrauenswürdigen Titeln und Bestsellern in den Bereichen Wirtschaft, persönliche Weiterentwicklung und Geisteswissenschaften. Enthält unbegrenzte Lesezeit und die Standardstimme für die Funktion „Vorlesen“.
- Pro: Perfekt für fortgeschrittene Lernende und Forscher, die einen vollständigen, uneingeschränkten Zugang benötigen. Schalte über 1,4 Millionen Bücher zu Hunderten von Themen frei, darunter akademische und hochspezialisierte Titel. Das Pro-Abo umfasst auch erweiterte Funktionen wie Premium-Vorlesen und den Recherche-Assistenten.
Bitte beachte, dass wir Geräte, auf denen die Betriebssysteme iOS 13 und Android 7 oder noch ältere Versionen ausgeführt werden, nicht unterstützen können. Mehr über die Verwendung der App erfahren.
Information
C
Elektrizität
17
Elektrostatische Felder
17.1 Elektrische Ladung

- Es gibt positive und negative elektrische Ladungen. Willkürlich wurde das Vorzeichen so festgelegt, dass die Ladung der Elektronen negativ ist. Ladungen mit gleichem bzw. verschiedenem Vorzeichen stoßen sich ab bzw. ziehen sich an. Im Gegensatz zur Gravitationskraft, die nur anziehend ist, gibt es hier also anziehende und abstoßende Kräfte.
- Es existiert eine kleinste Ladungsmenge, die sog. Elementarladung


- In abgeschlossenen Systemen, d. h. in Systemen, denen weder Ladungen zugeführt noch entzogen werden, ist die Summe aller Ladungen konstant:

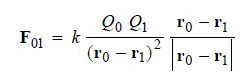
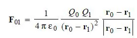
17.2 Die Coulombkraft
- proportional zum Produkt Q0 Q1 der beiden Ladungen
- indirekt proportional zum Quadrat (r0 – r1)2 des Abstandes
- parallel zur Verbindungslinie der beiden Ladungen.










Inhaltsverzeichnis
- Cover
- Series Page
- Title Page
- Autor
- Copyright
- Vorwort
- C: Elektrizität
- D: Optik
- E: Wellen
- Lösungen
- Register