Mathe für Biologen
eBook - ePub

Mathe für Biologen

  1. German
  2. ePUB (handyfreundlich)
  3. Über iOS und Android verfügbar
eBook - ePub

Mathe für Biologen

Über dieses Buch

Um ein biologisches Experiment richtig planen, durchf hren und auswerten zu k nnen, muss man ber fundierte Kenntnisse grundlegender mathematischer und statistischer Operationen verf gen. Mathe f r Biologen bietet einen leicht verst ndlichen Zugang zur Mathematik, Statistik und Datenverarbeitung. Ob in Form von Exponentialrechnungen, Logarithmen oder bei der Berechnung von Molarit ten, Verd nnungen und Volumina - ohne Mathematik geht im Labor gar nichts. Die Kenntnis aller relevanten Ma einheiten und Umrechnungsverh ltnisse ist ebenso unverzichtbar wie eine sichere Beherrschung der wichtigsten statistischen Methoden und der Prinzipien der Wahrscheinlichkeitsrechnung. All dies vermittelt Mathe f r Biologen. Besonders junge Wissenschaftler, Diplomanden, Doktoranden und Angeh rige des technischen Personals d rften die einf hlsame Didaktik, den klaren Aufbau und die verst ndliche Sprache des Bandes zu sch tzen wissen. Jedes der elf Kapitel enth lt Kontrollfragen, anhand derer der Leser seine Lernfortschritte berpr fen kann. Die L sungen werden im Anhang ausf hrlich hergeleitet und erl utert. Das umfangreiche Glossar erschlie t die wichtigsten Fachbegriffe. So empfiehlt sich der Band sowohl als Begleiter bei der t glichen Laborarbeit als auch zum Nachschlagen beim Verfassen wissenschaftlicher Arbeiten.

375,005 Studierende vertrauen auf uns

Zugang zu über 1 Million Titeln zu einem fairen monatlichen Preis.

Mit unseren Lerntools kannst du noch effizienter lernen.

Information

Jahr
2012
ISBN drucken
9783527311835
eBook-ISBN:
9783527662593

1

Mathe in der Biologie

Mathematik, aus dem Griechischen „manthano“: lernen
Manche Leute entscheiden sich für ein Biologiestudium in der (bewussten oder unbewussten) Annahme, dass es eine Möglichkeit wäre, Karriere in der Wissenschaft zu machen und dabei gleichzeitig die Mathematik zu vermeiden. Dieses Buch wurde entworfen, um Studenten einen einfachen Zugang zu ermöglichen, die, mit oder ohne formale mathematische Kenntnisse, von der vermeintlichen „Schwierigkeit“ der Mathematik geängstigt sind und die deshalb nicht gewillt sind, ihre womöglich vorhandenen mathematischen Kenntnisse anzuwenden. Haben Sie jemals bemerkt, dass Sie, nachdem Ihnen beigebracht worden war, wie Sie ein mathematisches Problem zu lösen haben, immer noch nicht wussten, warum Sie einen bestimmten Rechenschritt machen müssen? Dies ist die Wurzel vieler Probleme mit der Mathematik, und deswegen wird dieses Buch versuchen, das Warum der Mathe zu erklären, zusätzlich zum Wie. Manchmal scheinen diese Erklärungen unnötig zu sein, aber ich rate Ihnen ernsthaft, sie nicht zu überspringen – verstehen, warum man etwas machen muss, ist der Schlüssel dazu, sich zu merken, wie man es machen muss. Ich beabsichtige dabei, zwanglos zu schreiben und Vertrauen aufzubauen, um sicherzustellen, dass alle Leser eine allgemeine Wertschätzung der grundlegenden mathematischen, statistischen und Datenverarbeitungs-Methoden, die für die Biologie angemessen sind, erlangen. Ich werde versuchen, den Jargon zu erklären, der Leute, die nicht in Zahlen denken, verwirrt.
In den folgenden Kapiteln werden wir uns anschauen, wie man mit Zahlen umgeht, mit Einheiten und Umrechnungen, mit Molaritäten und Verdünnungen, mit Flächen und Rauminhalten, mit Exponenten und Logarithmen und Statistik. Die grundlegenden Ratschläge in diesem Kapitel sind jedoch wirklich der wichtigste Teil des Buches, also lesen Sie bitte weiter.

1.1 Was kann schief gehen?

Es ist in der Mathematik leicht, Fehler zu machen. Eine Antwort sieht wie die andere aus, wie kann man also sagen, ob sie richtig oder falsch ist? Schauen wir uns einige Beispiele für die Arten von Fehlern an, die allzu leicht gemacht werden. Jeder weiss, dass Zahlen bedeutungslos sind ohne die Einheiten, die festlegen, was sie bedeuten (mehr darüber in Kapitel 3). Selbst wenn wir den grundlegenden Fehler vermeiden, dies zu vergessen und nicht einfach „33,6“ als Antwort zu geben (33,6 von was? Volt? Meter? Frösche?), sind die Probleme nicht immer einfach. Betrachten Sie die folgenden Frage:
Ein Aquarium hat die inneren Maße 100 cm × 45 cm × 45 cm.
Wie groß ist sein Volumen in Litern?
Das ist ziemlich einfach: Berechnen Sie das Volumen in Kubikzentimetern, dann rechnen Sie auf Liter um. 1 Liter = 1000 cm3, also teilen Sie durch 1000:
img
Das Leben ist jedoch nicht immer so leicht. Wenn dieselbe Aufgabe auf andere Weise gestellt wird, ist die Antwort nicht mehr so einfach:
Ein Aquarium hat die inneren Maße 39 Zoll × 18 Zoll × 18 Zoll.
Wie groß ist sein Volumen in Litern?
Dies ist schwieriger, weil die Einheiten, in denen die Daten gegeben werden und in denen die Antwort gegeben werden soll, zu unterschiedlichen Einheitensystemen gehören. Im wirklichen Leben passiert so etwas nur zu häufig.

WARNUNG!

Die Verwendung gemischter Einheiten ist gefährlich (siehe Kapitel 3).
Um Fehler zu vermeiden, müssen wir die Einheiten so umrechnen, dass sie insgesamt konsistent sind. Dies bedeutet jedoch, dass es zwei Möglichkeiten gibt, die Aufgabe zu lösen:
1. Rechnen Sie Zoll in Zentimeter um (1 Zoll = 2,54 cm), dann führen Sie die Rechnung wie oben durch:
img
2. Berechnen Sie das Volumen in Kubikzoll, und danach rechnen Sie in Liter um (1 Kubikzoll = 0,0164 Liter, also ist der Umrechnungsfaktor gleich 0,0164):
img
img
Im allgemeinen ist die beste Methode die, die weniger Umrechnungen und weniger Schritte erfordert, hier also Methode 2. Dies hängt jedoch davon ab, welche Umrechnungsfaktoren zur Verfügung stehen – falls Sie den Umrechnungsfaktor von Kubikzoll auf Liter berechnen sollen, könnte es besser sein, Methode 1 zu verwenden. Beachten Sie, dass die Genauigkeit der Umrechnungen von einer Einheit auf eine andere von der Zahl der signifikanten Ziffern abhängt, die man benutzt. Signifikante Ziffern sind: „die kleinste Anzahl von Ziffern, die benötigt wird, um einen gegebenen Wert (in wissenschaftlicher Notation) darzustellen, ohne an Genauigkeit zu verlieren“. Die meistsignifikante Ziffer ist die am weitesten links stehende, die Ziffer, die am besten bekannt ist. Die wenigstsignifikante Ziffer ist die am weitesten rechts stehende, die Ziffer, die am schlechtesten bekannt ist.
Signifikante Ziffern sind wichtig, wenn man wissenschaftliche Daten veröffentlicht, weil sie dem Leser ein Gefühl dafür geben, wie genau die Daten gemessen wurden. Hier sind die Regeln:
1. Alle Ziffern ungleich null (1, 2, 3, 4, 5, 6, 7, 8, 9) sind immer signifikant: z. B. hat 12345 fünf signifikante Ziffern, und 1,2345 auch.
2. Alle Nullen, die rechts des Kommas stehen und am Ende der Zahl, sind immer signifikant. Diese Regel verwirrt manche Leute gelegentlich, da sie nicht verstehen, warum das so sein soll. Der Grund ist, dass diese Nullen die Genauigkeit festlegen, mit der diese Zahl berechnet wurde. Beispielsweise haben 1,2001 und 1,2000 beide fünf signifikante Ziffern.
3. Alle Nullen zwischen signifikanten Ziffern sind immer signifikant: z. B. haben 10002, 1,0002 und 1,0200 alle fünf signifikante Ziffern (hier sind die „Platzhalter- Nullen“ rechts des Kommas signifikante Ziffern, weil sie zwischen signifikanten Ziffern stehen).
4. Alle anderen Nullen sind keine signifikanten Ziffern: z. B. hat 0,0200 drei signifikante Ziffern (die „Platzhalter-Null“ rechts des Kommas ist keine signifikante Ziffer, weil sie nicht zwischen signifikanten Ziffern und nicht am Ende der Zahl steht), 1 000 000,01 hat neun signifikante Ziffern (Nullen zwischen signifikanten Ziffern), aber 1 000 000 hat nur eine signifikante Ziffer. Will man letztere Zahl mit sieben signifikanten Ziffern schreiben, so muss man die wissenschaftliche Notation verwenden: 1,000000 × 107.
Es ist wichtig, eine angemessene Zahl von signifikanten Ziffern in Rechnungen zu verwenden, da dies Verluste an Genauigkeit verhindert. Computer und Taschenrechner geben jedoch oft lächerlich viele signifikante Ziffern an – weit jenseits der Genauigkeit, mit der eine Messung durchgeführt werden könnte. Aus diesem Grund, und um Rechnungen zu erleichtern (besonders beim Schätzen, siehe unten), ist es oft nötig, die signifikanten Ziffern in einer Zahl zu „runden“ (auch: „runden auf die nächste gerade Zahl“ genannt). Beachten Sie, dass hier von „Runden“ die Rede ist, nicht „Auf- und Abrunden“, welches zu Ungenauigkeiten und Fehlern führt. „Auf- oder abrunden“ einer Ziffer, die von einer 5 gefolgt wird (z. B.: 5,45 wird zu 5,5), führt zu Fehlern in Rechnungen, weil die Ziffern eins, zwei, drei und vier (vier Möglichkeiten) „abgerundet“, aber die Ziffern fünf, sechs, sieben, acht, neun (fünf Möglichkeiten) „aufgerundet“ werden. „Runden“ vermeidet diese Fehler:
1. Falls die Ziffer, die der Ziffer folgt, die die letzte sein wird, kleiner als 5 ist, streiche sie und alle Ziffern rechts von ihr.
2. Falls die Ziffer, die der Ziffer folgt, die die letzte sein wird, größer als 5 ist, erhöhe die zu rundende Ziffer, also die vorhergehende, um 1.
3. Falls die Ziffer, die der Ziffer folgt, die die letzte sein wird, gleich 5 ist, runde die vorhergehende Ziffer, so dass sie gerade wird.

img
Beispiele

  • Runde 123,456789 auf drei signifikante Ziffern: 123 (Regel 1: runde die Zahl durch Streichen der restlichen Ziffern)
  • Runde 123,456789 auf fünf signifikante Ziffern: 123,46 (Regel 2: runde die letzte Ziffer auf)
  • Runde 123,456789 auf vier signifikante Ziffern: 123,4 (Regel 3: mache die letzte Ziffer gerade)
  • Runde 123,356789 auf vier signifikante Ziffern: 123,4 (Regel 3: mache die letzte Ziffer gerade)
  • Runde 123,456799 auf acht signifikante Ziffern: 123,45680 (Beachten Sie, dass 9 auf 10 aufgerundet wird, nicht auf 0 abgerundet).

1.2 Schätzen

Hinweis: Machen Sie nach jeder Rechnung eine grobe Abschätzung, um zu sehen, ob Ihre Antwort Sinn ergibt, und um Fehler zu vermeiden.
Taschenrechner und Computer spucken Zahlen auf Knopfdruck aus, aber sind die Antworten richtig? Schätzen ist eine unbedingt notwendige Fähigkeit, wenn Sie lernen wollen, mit Zahlen sicher und gekonnt umzugehen. Schätzen und rechnen sind jedoch nicht dasselbe, und es ist wichtig, den Unterschied zu verstehen. Wo Rechnungen versuchen, die genauestmögliche Antwort zu geben (innerhalb der experimentellen Fehler), verzichten Schätzungen freiwillig auf Genauigkeit, um die Berechnung des Ergebnisses zu vereinfachen.
1. Wenn die Frage ist „Was ist 6 × 5?“ und Ihre Antwort 4 ist, kann das überhaupt richtig sein? Kann das Ergebnis kleiner als die Zahlen, die miteinander multipliziert werden, sein?
2. Wenn Sie aufgefordert werden, eine Gleichung für x zu lösen (Kapitel 2), und Ihre Antwort ist 7x, dann ist irgendetwas falsch.
3. Wenn Sie das Ergebnis von 6,42213 / 2,36199 auf sechs signifikante Ziffern berechnen (2,71895), dann schätzen Sie zur Überprüfung die erste oder zweite signifikante Ziffer ab: 6 / 2 = 3, also sieht 2,71895 richtig aus, wohingegen 27,1896 falsch aussieht.
Falls Sie einen Computer oder einen Taschenrechner benutzt haben, um ein Ergebnis zu berechnen, ist es am Besten, eine Schätzung im Kopf oder auf einem Fetzen Papier durchzuführen, um zu überprüfen, ob sich durch Benutzen der Maschine nicht irgendwelche Fehler eingeschlichen haben. Deshalb beinhaltet Schätzen eine Erleichterung der Rechnung – eine Schätzung ist nicht dafür gedacht, genau zu sein, aber sie sollte leicht zu berechnen sein und eine verlässliche Überprüfung bieten. Neben dem eigentlichen Durchführen der Rechnung ist Schätzen das wichtigste Mittel, sicherzustellen, dass Antworten auf Aufgaben richtig sind. Einige Rechnungen in der Biologie sind komplex und benötigen viele Schritte (Kapitel 5). Schätzen ist dort sehr wichtig, um sicherzustellen, dass die Antwort vernünftig aussieht. Rechnungen mit Zahlen und Gleichungen könnten auch auf einen mathematischen Term statt auf eine Zahl als Antwort führen (z. B. 3y-2). Hier besteht der Trick darin, Ihr Ergebnis in die ursprüngliche Gleichung einzusetzen, um zu sehen, ob es funktioniert (Kapitel 2).

1.3 Wie benutzt man dieses Buch?

Falls Sie angewiesen wurden, dieses Buch als Begleitung zu einer bestimmten Vorlesung zu benutzen, sollten Sie am Besten den Anweisungen desjenigen folgen, der die Vorlesung hält. Ansonsten können Sie dieses Buch benutzen, wie auch immer es Ihnen gefällt. Einige Leute möchten vielleicht alle (oder die meisten) Kapitel in der richtigen Reihenfolge lesen. Andere könnten Abschnitte auslassen und in manche Kapitel nur hineinlinsen, von denen sie denken, dass sie sie brauchen. Beide Möglichkeiten sind in Ordnung, solange Sie Aufgaben konsistent und genau lösen können – und am Wichtigsten ist es, dass Sie das Wissen und das Selbstvertrauen erlangen, um damit anzufangen, zu versuchen, mögliche Antworten auszuarbeiten.

1.4 Mathematische Konventionen, die in diesem Buch benutzt werden

Um sie leichter lesbar zu machen, werden Zahlen mit mehr als vier Ziffern in Gruppen von drei Ziffern, getrennt durch Leerzeichen (nicht Kommas, wie sonst üblich in der englischsprachigen Literatur), aufgeteilt; z. B. bedeutet 9999999 neun Millionen, neun hundert und neunundneunzigtausend, neun hundert neunundneunzig.

2

Zahlen manipulieren

Algebra (aus dem Arabischen „al-jabr“: die Reduktion): ein Zweig der Mathematik, in dem Symbole benutzt werden, um Zahlen darzustellen

LERNZIELE
Nach dem Beenden dieses Kapitels sollten Sie zu folgendem in der Lage sein:
  • Die Grundregeln der Algebra verstehen.
  • Einfache algebraische Umformungen durchführen.
  • Brüche erkennen und umformen.
Die Arithmetrik beschäftigt sich mit den Auswirkungen von Operationen (z. B. Addition, Multiplikation usw.) auf direkt angegebene Zahlen. In der Algebra werden die Operationen auf Variablen statt auf feste Zahlen angewandt. Warum? Hier ist ein klassisches Beispiel:
John ist 10 Jahre alt. Sein Vater ist 35 Jahre alt.
Nach wie vielen Jahren wird der Vater zweimal so alt wie der Sohn sein?
Sie könnten versuchen, die Antwort zu finden, indem Sie verschiedene Zahlen ausprobieren, aber das wäre mühselig. Besser ist es, dies als ein Algebra-Problem zu behandeln und die Aufgabe als eine Gleichung zu schreiben, die wir lösen können.
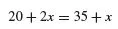
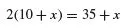
Der Vater sei in x Jahren zweimal so alt wie der Sohn. Der Sohn wird dann (10+x) Jahre alt sein und der Vater (35 + x):
img
also
img
Vereinfachen wir dies, indem wir x von beiden Seiten abziehen, um die Gleichung im Gleichgewicht zu halten:
img
Vereinfachen wir, indem wir 20 von beiden Seiten abziehen, um die ...

Inhaltsverzeichnis

  1. Cover
  2. Series
  3. Title
  4. Copyright
  5. Vorwort
  6. 1: Mathe in der Biologie
  7. 2: Zahlen manipulieren
  8. 3: Einheiten und Umrechnungsfaktoren
  9. 4: Molaritäten und Verdünnungen
  10. 5: Flächen und Rauminhalte
  11. 6: Exponenten und Logarithmen
  12. 7: Einführung in die Statistik
  13. 8: Deskriptive (beschreibende) Statistik
  14. 9: Wahrscheinlichkeit
  15. 10: Beurteilende Statistik
  16. 11: Korrelation und Regression
  17. A: Lösungen zu den Aufgaben
  18. B: Software für Biologen
  19. C: Statistische Formeln und Tabellen
  20. D: Glossar
  21. E: Stichwortregiste

Häufig gestellte Fragen

Ja, du kannst dein Abo jederzeit über den Tab Abo in deinen Kontoeinstellungen auf der Perlego-Website kündigen. Dein Abo bleibt bis zum Ende deines aktuellen Abrechnungszeitraums aktiv. Erfahre, wie du dein Abo kündigen kannst
Nein, Bücher können nicht als externe Dateien, z. B. PDFs, zur Verwendung außerhalb von Perlego heruntergeladen werden. Du kannst jedoch Bücher in der Perlego-App herunterladen, um sie offline auf deinem Smartphone oder Tablet zu lesen. Erfahre, wie du Bücher herunterladen kannst, um sie offline zu lesen
Perlego bietet zwei Abopläne an: Elementar und Erweitert
  • Elementar ist ideal für Lernende und Profis, die sich mit einer Vielzahl von Themen beschäftigen möchten. Erhalte Zugang zur Basic-Bibliothek mit über 800.000 vertrauenswürdigen Titeln und Bestsellern in den Bereichen Wirtschaft, persönliche Weiterentwicklung und Geisteswissenschaften. Enthält unbegrenzte Lesezeit und die Standardstimme für die Funktion „Vorlesen“.
  • Pro: Perfekt für fortgeschrittene Lernende und Forscher, die einen vollständigen, uneingeschränkten Zugang benötigen. Schalte über 1,4 Millionen Bücher zu Hunderten von Themen frei, darunter akademische und hochspezialisierte Titel. Das Pro-Abo umfasst auch erweiterte Funktionen wie Premium-Vorlesen und den Recherche-Assistenten.
Beide Abopläne sind mit monatlichen, halbjährlichen oder jährlichen Abrechnungszyklen verfügbar.
Wir sind ein Online-Lehrbuch-Abo, bei dem du für weniger als den Preis eines einzelnen Buches pro Monat Zugang zu einer ganzen Online-Bibliothek erhältst. Mit über 1 Million Büchern zu über 990 verschiedenen Themen haben wir bestimmt alles, was du brauchst! Erfahre mehr über unsere Mission
Achte auf das Symbol zum Vorlesen bei deinem nächsten Buch, um zu sehen, ob du es dir auch anhören kannst. Bei diesem Tool wird dir Text laut vorgelesen, wobei der Text beim Vorlesen auch grafisch hervorgehoben wird. Du kannst das Vorlesen jederzeit anhalten, beschleunigen und verlangsamen. Erfahre mehr über die Funktion „Vorlesen“
Ja! Du kannst die Perlego-App sowohl auf iOS- als auch auf Android-Geräten nutzen, damit du jederzeit und überall lesen kannst – sogar offline. Perfekt für den Weg zur Arbeit oder wenn du unterwegs bist.
Bitte beachte, dass wir Geräte, auf denen die Betriebssysteme iOS 13 und Android 7 oder noch ältere Versionen ausgeführt werden, nicht unterstützen können. Mehr über die Verwendung der App erfahren
Ja, du hast Zugang zu Mathe für Biologen von Alan J. Cann im PDF- und/oder ePub-Format sowie zu anderen beliebten Büchern aus Biological Sciences & Biology. Aus unserem Katalog stehen dir über 1 Million Bücher zur Verfügung.