Koordinationschemie
eBook - ePub

Koordinationschemie

  1. German
  2. ePUB (handyfreundlich)
  3. Über iOS und Android verfügbar
eBook - ePub

Koordinationschemie

Über dieses Buch

Seit Alfred Werner seine Koordinationslehre vor etwas mehr als hundert Jahren formulierte, hat sich die Komplexchemie der Übergangsmetalle rasant zu einem der wichtigsten Forschungsgebiete der Anorganischen Chemie entwickelt. Wie facettenreich die Koordinationschemie sein kann, deutet sich schon an der Variabilität der Verbindungen an, zu denen so kleine Molekale wie Hexacarbonylchrom ebenso wie Metallenzyme geharen.

Dieses Lehrbuch richtet sich an Studenten im Hauptstudium. Alle wichtigen Aspekte der Koordinationschemie - beispielsweise die Ligandenfeldtheorie, die Bindungstheorie, die Eigenschaften, Reaktivitat und Strukturen der Komplexe, die Reaktionsmechanismen und die spektroskopischen Untersuchungsmethoden - sind enthalten.

Verschaffen Sie sich einen Einblick in dieses faszinierende Gebiet von den Anfangen bis hin zu den modernsten Entwicklungen.

375,005 Studierende vertrauen auf uns

Zugang zu über 1 Million Titeln zu einem fairen monatlichen Preis.

Mit unseren Lerntools kannst du noch effizienter lernen.

Information

Verlag
Wiley-VCH
Jahr
2012
ISBN drucken
9783527295036
eBook-ISBN:
9783527663941

IV

Das Zentralmetallatom

In diesem Teil werden die Grundlagen für das Verständnis der faszinierenden physikalischen und chemischen Eigenschaften der Übergangsmetallkomplexe vorgestellt und diskutiert. Dabei werden wir zunächst von der elektronischen Struktur der einzelnen Metallatome ausgehen und daraus dann ein theoretisches Modell für die Komplexe entwickeln. Alfred Werner faßte Komplexe als aus mehreren für sich existenten Segmenten (Zentralatom + Liganden) aufgebaute Moleküle auf. Analog wird bei der theoretischen Beschreibung der physikalischen Eigenschaften von Koordinationsverbindungen verfahren, bei der das Zentralmetallatom im Blickpunkt steht und die Liganden ein mehr oder weniger starkes „Störfeld" darstellen. Die Stärken und Schwächen dieser Vorstellung werden im Mittelpunkt der folgenden Kapitel stehen. Die wesentlichen Lernziele sind dabei:
1) Die Beschreibung der elektronischen Eigenschaften der Übergangsmetallatome auf der Grundlage von Slaters Atomtheorie (Kap. 13).
2) Das Verständnis der Konzepte der Ligandenfeldtheorie, ihrer Formulierung auf der Grundlage gruppentheoretischer Prinzipien und der Grenzen ihrer Anwendbarkeit (Kap. 14).
3) Die lokale Formulierung des Ligandenfeld-Konzepts im Rahmen des „Angu- lar-Overlap-Modells" bei der Beschreibung von Komplexen mit niedriger Symmetrie (Kap. 15).
4) Die Beschreibung der Bindungsverhältnisse in Komplexen mit Hilfe der Molekülorbitaltheorie und die Interpretation der Ligandenfeldparameter ausgehend davon (Kap. 16).
Auf der Grundlage der in den Kapiteln 14–16 diskutierten theoretischen Modelle werden wir uns in Teil V mit den charakteristischen physikalischen Eigenschaften von Koordinationsverbindungen der Übergangsmetalle beschäftigen.

13 Die elektronische Struktur der Übergangsmetallatome und -ionen

13.1 Die Elektronenkonfigurationen der Übergangsmetalle

Den Aufbau des Periodensystems kann man mit Hilfe des Orbital-Konzepts und des Pauli-Prinzips verstehen, wobei die Orbitale die Einelektronenwel- lenfunktionen sind, mit denen man die Wellenfunktionen für die Elektronen in Atomen (und Molekülen) konstruiert (Abschnitt 13.4). Ausgangspunkt für die Orbitalbeschreibung ist das atomare „Kepler-Problem“ des Wasserstoffatoms, das man geschlossen lösen kann. Eine geschlossene Lösung ist für Mehrelektronenatome nicht mehr möglich, weshalb man das komplizierte Vielteilchen-Problem mit dem Verfahren der effektiven Wechselwirkungen zu lösen versucht. Dabei ersetzt man die Zweiteilchen-Wechselwirkungen (Elektron-Kern-Anziehung, Elektron-Elektron-Abstoßung) zwischen den einzelnen Teilchen durch ein globales Feld, das zwar nicht von vornherein bekannt ist, aber zum Beispiel iterativ bestimmt werden kann. Hängt dieses globale Potential nur vom Kernabstand ab, so spricht man von der Zentralfeld-Näherung, auf die wir im Zusammenhang mit der Atomtheorie von Slater in Abschnitt 13.4 noch zurückkommen werden. Die bei der Lösung der Schrödinger-Gleichung des Mehrelektronensystems in der Zentralfeld-Nöherung erhaltenen Orbitale ähneln denen des Wasserstoffatoms.
Eine Folge der Coulomb-Wechselwirkung der Elektronen untereinander, die näherungsweise durch die Wechselwirkung jedes Elektrons mit einem globalen Feld ausgedrückt werden kann, ist die Aufhebung der Entartung der Energien der Orbitale mit gleicher Hauptquantenzahl. Im Bild dieser Näherung verursacht dies die unterschiedliche räumliche Aufenthaltswahrscheinlichkeit von Elektronen der Orbitale verschiedener Drehimpulsquantenzahl (unterschiedlichen „Durchdringung“ des Atomrumpfs) und die dadurch bedingten Unterschiede in der Abschirmung der Kernladung. Wie sich die Atomorbitalenergien in Abhängigkeit von der Kernladungszahl verändern, ist in Abbildung 13.1 schematisch dargestellt.
Wie man in Abbildung 3.1 sieht, verändert sich die relative Energie der Orbitale in Abhängigkeit von Z. So liegt beispielsweise das 3d-Orbital im Wasserstoffatom energetisch niedriger als das 4s-Orbital, dies ändert sich jedoch bereits im Bereich von Z = 7 (Stickstoff). Zwischen Z = 7 und 20 liegt das 4s-Orbital hingegen energetisch unter dem 3d-Orbital, eine Folge der besseren Durchdringung des Atomrumpfs durch das 4s-Orbital (Abb. 13.2).
Obwohl die 3d-Orbitalenergie ab Z =20 unter der der 4s-Orbitale liegt, sind die Konfigurationen der elektronischen Grundzustände der 3d-Metalle mit wenigen Ausnahmen (s. u.) 3dn4s2. Weshalb befinden sich die Valenzelektronen im Grundzustand also nicht alle in den energetisch tiefer liegenden 3d- Orbitalen, haben die 3d-Metalle also nicht die Grundzustandskonfiguration 3dn+2? Eine Erklärung mit Hilfe des Orbitalbildes ist dann möglich, wenn wir als Orbitalenergien den Mittelwert der verschiedenen Terme, die zu einer Konfiguration gehören, bilden (Konfigurations-Mittelwerte) und die einzelnen Multiplettzustände zunächst einmal nicht berücksichtigen.2
Abb. 13.1. Atomorbitalenergien von neutralen Mehrelektronenatomen als Funktion der Ordnungszahl (Kernladungszahl). Der vergrößerte Ausschnitt zeigt die energetische Reihenfolge im Bereich von Z = 20 (Ca), in dem die Reihe der 3d-Übergangsme- talle beginnt. Aufgrund der größer werdenden Anziehung der Elektronen durch die Kernladung mit steigender Kernladungszahl fallen die Orbitalenergien ab. Der Abfall ist für die „inneren“ Orbitale am stärksten, da die Abschirmung des Kerns für diese Elektronen am schwächsten ist.
c13_image001.webp
Abb. 13.2. Aufenthaltswahrscheinlichkeitsdichte für ein Elektron in Abhängigkeit vom Kernabstand in einem 3d- und 4s-Orbital von Scan- dium.1 Obwohl die inneren Maxima des 4s-Orbitals die Durchdringung des Atomrumpfs bewirken, befindet sich beim Scandium – wie auch bei den übrigen 3d-Metallen – das Maximum des 3d-Orbitals näher am Kern als das äußere Maximum des 4s- Orbitals. Daher erfährt das 3d-Orbital die Erhöhung der Kernladung um jeweils eine Einheit fast ohne Abschirmung beim Gang von Kalium (Z =19) über Ca (Z = 20) zu Scandium (Z =21).
c13_image002.webp
Im Falle von Scandium (3d14s2) ist die Orbitalenergie ε3d gleich der Energie eines Elektrons, das sich im Feld der Ladung des Atomrumpfs und der beiden 4s-Elektronen befindet. Sie unterscheidet sich daher sicherlich von ε3d der Konfigurationen 3d24s1 und 3d3. Ebenso hängt ε4s von der Grundzustands- konfiguration ab, was verdeutlicht, daß die Darstellung in Abbildung 13.1 für die Erklärung der Grundzustandskonfigurationen der Übergangsmetalle zu oberflächlich ist.
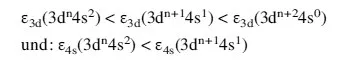
Die Konfigurationen der Grundzustände werden dann verständlich, wenn man sich vergegenwärtigt, daß das 4s-Orbital viel raumerfüllender und folglich diffuser als die 3d-Orbitale ist (Abb. 13.2). Zwei Elektronen in 3d-Orbita- len stoßen sich also stärker ab als zwei 4s-Elektronen, so daß für die Elektron-Elektron-Wechselwirkung die folgende Hierarchie gilt: (4s,4s) < (3d,4s) < (3d,3d).3 Aus der Abhängigkeit der Orbitalenergien von der Elektronenkonfiguration 3dm4sn:
c13_image003.webp
– wobei h die effektive Einelektronenenergie eines 3d- oder 4s-Elektrons, die kinetische Energie und Elektron-Kern-Anziehung, im globalen Feld des Atomrumpfs ist – folgt für die Orbitalenergien:
c13_image004.webp
Dies bedeutet, daß sowohl ε3d als auch ε4s mit zunehmender Besetzung der 3d-Orbitale ansteigen (Abb. 13.3).
Da das 4s-Orbital das höchste besetzte Orbital in den Übergangsmetallionen von Sc bis Zn ist, sollte man erwarten, daß eine Ionisation bevorzugt aus diesem Orbital stattfindet. Dies ist die korrekte Schlußfolgerung auf der Basis einer falschen Argumentation.4 Der Grund für die dn-Konfiguration aller Übergangsmetallionen ist...

Inhaltsverzeichnis

  1. Cover
  2. Series Page
  3. Title Page
  4. Copyright
  5. Dedication
  6. Foreword
  7. Preface
  8. I: Einführung
  9. II: Strukturen
  10. III: Symmetrie
  11. IV: Das Zentralmetallatom
  12. V: Physikalische Eigenschaften von Komplexen und deren Untersuchung
  13. VI: Die Liganden
  14. VII: Reaktionen von Koordinationsverbindungen
  15. VIII: Metall-Metall-Bindungen in Komplexen
  16. Anhang
  17. Register

Häufig gestellte Fragen

Ja, du kannst dein Abo jederzeit über den Tab Abo in deinen Kontoeinstellungen auf der Perlego-Website kündigen. Dein Abo bleibt bis zum Ende deines aktuellen Abrechnungszeitraums aktiv. Erfahre, wie du dein Abo kündigen kannst
Nein, Bücher können nicht als externe Dateien, z. B. PDFs, zur Verwendung außerhalb von Perlego heruntergeladen werden. Du kannst jedoch Bücher in der Perlego-App herunterladen, um sie offline auf deinem Smartphone oder Tablet zu lesen. Erfahre, wie du Bücher herunterladen kannst, um sie offline zu lesen
Perlego bietet zwei Abopläne an: Elementar und Erweitert
  • Elementar ist ideal für Lernende und Profis, die sich mit einer Vielzahl von Themen beschäftigen möchten. Erhalte Zugang zur Basic-Bibliothek mit über 800.000 vertrauenswürdigen Titeln und Bestsellern in den Bereichen Wirtschaft, persönliche Weiterentwicklung und Geisteswissenschaften. Enthält unbegrenzte Lesezeit und die Standardstimme für die Funktion „Vorlesen“.
  • Pro: Perfekt für fortgeschrittene Lernende und Forscher, die einen vollständigen, uneingeschränkten Zugang benötigen. Schalte über 1,4 Millionen Bücher zu Hunderten von Themen frei, darunter akademische und hochspezialisierte Titel. Das Pro-Abo umfasst auch erweiterte Funktionen wie Premium-Vorlesen und den Recherche-Assistenten.
Beide Abopläne sind mit monatlichen, halbjährlichen oder jährlichen Abrechnungszyklen verfügbar.
Wir sind ein Online-Lehrbuch-Abo, bei dem du für weniger als den Preis eines einzelnen Buches pro Monat Zugang zu einer ganzen Online-Bibliothek erhältst. Mit über 1 Million Büchern zu über 990 verschiedenen Themen haben wir bestimmt alles, was du brauchst! Erfahre mehr über unsere Mission
Achte auf das Symbol zum Vorlesen bei deinem nächsten Buch, um zu sehen, ob du es dir auch anhören kannst. Bei diesem Tool wird dir Text laut vorgelesen, wobei der Text beim Vorlesen auch grafisch hervorgehoben wird. Du kannst das Vorlesen jederzeit anhalten, beschleunigen und verlangsamen. Erfahre mehr über die Funktion „Vorlesen“
Ja! Du kannst die Perlego-App sowohl auf iOS- als auch auf Android-Geräten nutzen, damit du jederzeit und überall lesen kannst – sogar offline. Perfekt für den Weg zur Arbeit oder wenn du unterwegs bist.
Bitte beachte, dass wir Geräte, auf denen die Betriebssysteme iOS 13 und Android 7 oder noch ältere Versionen ausgeführt werden, nicht unterstützen können. Mehr über die Verwendung der App erfahren
Ja, du hast Zugang zu Koordinationschemie von Lutz H. Gade im PDF- und/oder ePub-Format sowie zu anderen beliebten Büchern aus Naturwissenschaften & Anorganische Chemie. Aus unserem Katalog stehen dir über 1 Million Bücher zur Verfügung.