
- 501 Seiten
- German
- ePUB (handyfreundlich)
- Über iOS und Android verfügbar
Über dieses Buch
Ein Brückenkurs muss einiges leisten können: Er wiederholt kompakt den Stoff der Mittel- und Oberstufe, da Studienanfänger hier regelmäßig kleinere oder größere Lücken und Unsicherheiten haben, und er greift auf den relevanten weiterführenden Mathematikstoff der Vorlesungen in angemessenem Maße vor. In der Konsequenz hilft er dabei, Studienanfängern den Schock zu ersparen, der viele beim Anwenden der Mathematik als unverzichtbares Werkzeug in einem wirtschafts- oder naturwissenschaftlichen Studium ereilt. Dadurch wird der große Schritt von der Schule ins Studium ein wenig kleiner.
Genau hier setzt dieses Buch an: Es bereitet mit klarem Blick auf das im Studium Notwendige vor, wiederholt und vermittelt aber auch Neues, das (ohne den Leser zu überfordern) auch in einem Brückenkurs gelehrt werden kann. Zahlreiche Beispiele dienen dazu, den Stoff zu veranschaulichen. Durch eine Vielzahl von Übungen im zusätzlich erhältlichen Übungsbuch kann das Gelernte zudem weiter gefestigt werden. Farbig unterlegte Boxen heben das Wichtigste hervor und helfen, die wesentlichen Inhalte zu erfassen.
Für die vorliegende Auflage wurden alle Grafiken überarbeitet und ein neues Kapitel mit einer kleinen Einführung in die Komplexen Zahlen hinzugefügt.
Häufig gestellte Fragen
- Elementar ist ideal für Lernende und Profis, die sich mit einer Vielzahl von Themen beschäftigen möchten. Erhalte Zugang zur Basic-Bibliothek mit über 800.000 vertrauenswürdigen Titeln und Bestsellern in den Bereichen Wirtschaft, persönliche Weiterentwicklung und Geisteswissenschaften. Enthält unbegrenzte Lesezeit und die Standardstimme für die Funktion „Vorlesen“.
- Pro: Perfekt für fortgeschrittene Lernende und Forscher, die einen vollständigen, uneingeschränkten Zugang benötigen. Schalte über 1,4 Millionen Bücher zu Hunderten von Themen frei, darunter akademische und hochspezialisierte Titel. Das Pro-Abo umfasst auch erweiterte Funktionen wie Premium-Vorlesen und den Recherche-Assistenten.
Bitte beachte, dass wir Geräte, auf denen die Betriebssysteme iOS 13 und Android 7 oder noch ältere Versionen ausgeführt werden, nicht unterstützen können. Mehr über die Verwendung der App erfahren.
Information
VIIEinführung in die Differentialrechnung
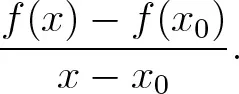
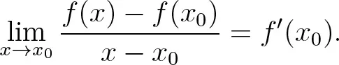
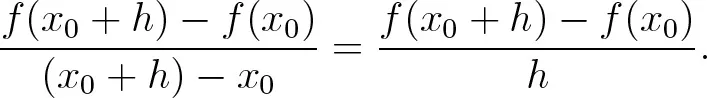
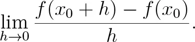
VII.1Vom Differenzen- zum Differentialquotienten











Inhaltsverzeichnis
- Cover
- Titelseite
- Impressum
- Widmung
- Inhaltsverzeichnis
- Vorworte
- I Einführung
- II Lineare Funktionen
- III Quadratische Funktionen
- IV Grundlagen Potenzfunktionen
- V Ganzrationale Funktionen – Eine Einführung
- VI Die vollständige Induktion und (ihre) Folgen
- VII Einführung in die Differentialrechnung
- VIII Über das Lösen linearer Gleichungssysteme
- IX Mit Brüchen muss man umgehen können – Gebrochenrationale Funktionen
- XI Wachsen ist schön – Exponentialfunktionen
- XII Die Ableitung der Umkehrfunktion
- XIV Beweise mit Vektoren führen
- XV Rechnen im Raum – Analytische Geometrie
- XVI Wenn’s nicht direkt geht – Ein wenig Numerik
- XVII Wem’s reell nicht genug ist – Komplexe Zahlen
- Anhang
- Weiterführende Literatur
- Stichwortverzeichnis
- Fußnoten