
- 360 Seiten
- German
- ePUB (handyfreundlich)
- Über iOS und Android verfügbar
eBook - ePub
Physik im Studium: Ein Brückenkurs
Über dieses Buch
Der Vorkurs Physik bereitet Studienanfänger auf das Hochschulstudium Physik vor, indem er die Grundlagen des Fachgebiets ausführlich und ohne allzu großen Rückgriff auf Mathematik vermittelt und die Theorie mit ausführlich gerechneten Beispielen auflockert.
Im Verlauf der Kapitel wird darauf hingearbeitet, komplexere Zusammenhänge zu verstehen. Die Lernzielkontrolle erfolgt über Fragen und Übungsaufgaben verschiedener Schwierigkeitsgrade, deren Lösungen am Ende des Buches präsentiert werden.
Tools to learn more effectively

Saving Books

Keyword Search

Annotating Text

Listen to it instead
Information
1 Einige Vorbereitungen
Die Physik hängt in hohem Maß von mathematischen Werkzeugen ab. Diese können fast beliebig komplex werden, sodass man beim Erlernen von Physik unabdingbar auch Kenntnisse in Mathematik benötigt. Die Schwierigkeit hierbei ist oft, dass von Anfang an Konzepte verwendet werden, welche in den Mathematikvorlesungen noch gar nicht behandelt wurden. Wir wollen in diesem Buch Streifzüge durch mathematisch allzu schwieriges Terrain unterlassen. Gleichwohl benötigen wir einige Begriffe, die zumindest in Teilen von der Schule her bekannt sein sollten. Um eine Grundlage zu schaffen, fassen wir diese Begriffe im vorliegenden Kapitel zusammen, sodass auf sie im späteren Verlauf zurückgegriffen werden kann. Das vielleicht schwierigste Gebiet stellt die Differential-und Integralrechnung dar. Dies wird zwar in der Schule behandelt, soll aber hier noch einmal aus Sicht der physikalischen Anwendung dargestellt werden. Dabei soll es nicht um strenge Herleitungen gehen, sondern vielmehr ein grundlegendes Verständnis für die Methodik vermittelt werden. Das eigentliche Lösen von Integralen wird nicht vorgestellt, da wir nur wenige Integrale benötigen werden, welche auch von der Schule her bekannt sein sollten. Weiterhin werden geometrische Grundlagen wiederholt, sowie ein kurze Einführung in das Gebiet der komplexen Zahlen gegeben.
Neben der Mathematik, welche man für theoretische Überlegungen und Rechnungen benötigt, ist die Messung seit jeher fester Bestandteil der Physik. Dabei spielen auch Einheiten physikalischer Größen eine wichtige Rolle. Erfahrungsgemäß bereitet der Umgang damit immer wieder Schwierigkeiten, sodass wir auch diesem Problem entgegentreten wollen. Anhand der Zeit- und Längenmessung wird gezeigt, wie physikalische Größen definiert werden und wie man mit physikalischen Einheiten allgemein umgeht.
1.1 Mathematische Grundlagen
Wir gehen davon aus, dass fundamentale Techniken wie das Lösen von linearen und quadratischen Gleichungen und linearen Gleichungssystemen mit zwei Variablen bekannt sind. Dazu gehört auch das Umformen von Termen sowie die Verwendung von Potenz- und Logarithmengesetzen. Es sollen hier im Wesentlichen Themen angesprochen werden, die in der Oberstufe erlernt werden, da hier zwischen einzelnen Schularten die meisten Unterschiede auftreten.
1.1.1 Geometrie
Es kommt in der Physik oft vor, die Geometrie einer Problemstellung untersuchen zu müssen. Dabei spielen trigonometrische Funktionen eine wichtige Rolle, und meist verwendet man dabei deren Definitionen, z.B. bei der Zerlegung von Kräften nach zueinander senkrecht stehenden Komponenten. Die Winkelfunktionen, namentlich Sinus, Cosinus und Tangens, sind als Seitenverhältnisse von rechtwinkligen Dreiecken definiert:

(1.1)

(1.2)

(1.3)
Es lässt sich nun eine sehr große Zahl von Beziehungen zwischen den Winkelfunktionen herleiten, die man in üblichen Formelsammlungen findet, falls man sie benötigt. Eine sehr fundamentale ist dabei eine Variante des Satzes von Pythagoras:

(1.4)
Dies kann sehr hilfreich sein, Terme drastisch zu verkürzen, besonders bei mehrfacher Anwendung. Es empfiehlt sich, auf ein solches Muster zu achten.
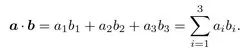
Physikalische Größen wie Kräfte oder Geschwindigkeiten werden repräsentiert durch Vektoren. Diese mathematischen Objekte sind Richtungsangaben, kombiniert mit einer Länge, weswegen man sie als Pfeil darstellt. In der in diesem Buch verwendeten Notation werden Vektoren durch fettgedruckte Kleinbuchstaben dargestellt z.B. a.1 Zwei Vektorpfeile schließen zusammen einen Winkel ein, welchen man sehr einfach über das Skalarprodukt bestimmen kann. Das Skalarprodukt wird durch einen Punkt zwischen den beiden Vektoren kenntlich gemacht und ist wie folgt definiert:

(1.5)
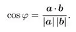
Hier haben wir das Summensymbol verwendet, welches die Schreibarbeit oftmals verkürzt und häufig Verwendung findet. Den Winkel zwischen den Vektoren erhält man aus folgender Beziehung:

(1.6)
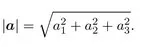
Der Betrag eines Vektors berechnet sich mit Hilfe des Satzes von Pythagoras:

(1.7)
Oft kommt ein Spezialfall vor, die Frage, wann zwei Vektoren senkrecht aufeinander stehen. Dann ist der Cosinus genau 0, und man kann dies leicht prüfen, indem man das Skalarprodukt komponentenweise ausmultipliziert. So...
Inhaltsverzeichnis
- Titel
- Impressum
- Widmung
- Empfehlungen zur Verwendung dieses Buches
- Inhaltsverzeichnis
- Abkürzungsverzeichnis
- 1 Einige Vorbereitungen
- 2 Mechanik
- 3 Thermodynamik
- 4 Elektrizitätslehre undMagnetismus
- Lösungen der Übungsaufgaben
- Index
Häufig gestellte Fragen
Ja, du kannst dein Abo jederzeit über den Tab Abo in deinen Kontoeinstellungen auf der Perlego-Website kündigen. Dein Abo bleibt bis zum Ende deines aktuellen Abrechnungszeitraums aktiv. Erfahre, wie du dein Abo kündigen kannst
Nein, Bücher können nicht als externe Dateien, z. B. PDFs, zur Verwendung außerhalb von Perlego heruntergeladen werden. Du kannst jedoch Bücher in der Perlego-App herunterladen, um sie offline auf deinem Smartphone oder Tablet zu lesen. Erfahre, wie du Bücher herunterladen kannst, um sie offline zu lesen
Perlego bietet zwei Abopläne an: Elementar und Erweitert
- Elementar ist ideal für Lernende und Profis, die sich mit einer Vielzahl von Themen beschäftigen möchten. Erhalte Zugang zur Basic-Bibliothek mit über 800.000 vertrauenswürdigen Titeln und Bestsellern in den Bereichen Wirtschaft, persönliche Weiterentwicklung und Geisteswissenschaften. Enthält unbegrenzte Lesezeit und die Standardstimme für die Funktion „Vorlesen“.
- Pro: Perfekt für fortgeschrittene Lernende und Forscher, die einen vollständigen, uneingeschränkten Zugang benötigen. Schalte über 1,4 Millionen Bücher zu Hunderten von Themen frei, darunter akademische und hochspezialisierte Titel. Das Pro-Abo umfasst auch erweiterte Funktionen wie Premium-Vorlesen und den Recherche-Assistenten.
Wir sind ein Online-Lehrbuch-Abo, bei dem du für weniger als den Preis eines einzelnen Buches pro Monat Zugang zu einer ganzen Online-Bibliothek erhältst. Mit über 1 Million Büchern zu über 990 verschiedenen Themen haben wir bestimmt alles, was du brauchst! Erfahre mehr über unsere Mission
Achte auf das Symbol zum Vorlesen bei deinem nächsten Buch, um zu sehen, ob du es dir auch anhören kannst. Bei diesem Tool wird dir Text laut vorgelesen, wobei der Text beim Vorlesen auch grafisch hervorgehoben wird. Du kannst das Vorlesen jederzeit anhalten, beschleunigen und verlangsamen. Erfahre mehr über die Funktion „Vorlesen“
Ja! Du kannst die Perlego-App sowohl auf iOS- als auch auf Android-Geräten nutzen, damit du jederzeit und überall lesen kannst – sogar offline. Perfekt für den Weg zur Arbeit oder wenn du unterwegs bist.
Bitte beachte, dass wir Geräte, auf denen die Betriebssysteme iOS 13 und Android 7 oder noch ältere Versionen ausgeführt werden, nicht unterstützen können. Mehr über die Verwendung der App erfahren
Bitte beachte, dass wir Geräte, auf denen die Betriebssysteme iOS 13 und Android 7 oder noch ältere Versionen ausgeführt werden, nicht unterstützen können. Mehr über die Verwendung der App erfahren
Ja, du hast Zugang zu Physik im Studium: Ein Brückenkurs von Jan Peter Gehrke,Patrick Köberle im PDF- und/oder ePub-Format sowie zu anderen beliebten Büchern aus Naturwissenschaften & Mechanik. Aus unserem Katalog stehen dir über 1 Million Bücher zur Verfügung.