
- German
- ePUB (handyfreundlich)
- Über iOS und Android verfügbar
eBook - ePub
Kunststoffhandbuch für Dummies
Über dieses Buch
Nachteile ein Kunststoff in Ihrem ganz besonderen Anwendungsfall hat? Dieses Buch führt Sie in das umfassende Thema Kunststoffe ein. Sie finden alle wichtigen Informationen zu Thermoplasten, Duroplasten und Elastomeren, auch zu den noch weniger gebräuchlichen. Chemischer Aufbau und Werkstoff-Kenndaten verstehen sich von selbst. Doch was noch viel wichtiger ist: Hier erfahren Sie, was Sie mit dem jeweiligen Kunststoff anfangen können und welche Kunststoffe sich für welchen Anwendungsfall eignen. Das Buch enthält die besten Hinweise eines Praktikers im Umgang mit Kunststoffen. So können Sie ressourcenschonend und gewinnbringend arbeiten. Inklusive zwei Online-Bonuskapitel!
375,005 Studierende vertrauen auf uns
Zugang zu über 1 Million Titeln zu einem fairen monatlichen Preis.
Mit unseren Lerntools kannst du noch effizienter lernen.
Information
Teil III
Werkstoffeigenschaften

Kapitel 6
Mechanische Eigenschaften
IN DIESEM KAPITEL
- Die weite Welt der Festigkeitslehre bezogen auf Kunststoffe
- Typische Messverfahren in dieser Welt
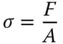
Das Interessanteste an einem Werkstoff, aus dem ein Gegenstand hergestellt werden soll, sind sicherlich die mechanischen Eigenschaften. Wieviel Zug oder Druck hält das Material aus? Und wie verformt sich das Bauteil, wenn eine Kraft von außen darauf einwirkt? Auf jeden Fall gibt es umso weniger Verformung, je größer die Fläche ist, auf welche die Kraft wirkt. Das können Sie sich ganz einfach vor Augen führen, indem Sie aus Knetmasse eine Kugel formen, diese auf eine ebene Fläche, beispielsweise eine Tischplatte legen und auf die Knetkugel etwas Schweres setzen. Die Kugel wird plattgedrückt. Allerdings nur bis zu einer bestimmten Höhe und nicht weiter. Das Gewicht haben Sie nicht verändert und die Knetmasse ist nicht härter geworden. Also bleibt als einzige Erklärung, warum die Kugel nicht weiter plattgedrückt wird: die Kontaktfläche ist größer geworden. Und damit verteilt sich das Gewicht auf eine größere Fläche. Um die Größe der Kontaktfläche zu berücksichtigen, muss die Kraft F in Bezug zu dieser Fläche A gebracht werden. Und schon haben Sie die Definition der Zug- oder Druckspannung σ (sigma):

Formel 6.1: Definition der Zug- oderDruckspannung
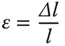
Wenn die Kraft wirkt, verformt sich also das Bauteil. Allerdings hängt die Größe der Verformung auch ab von der Länge, an der die Kraft ziehen kann. Nehmen Sie ein Gummiband und hängen Sie etwas dran, nicht zu schwer, nicht zu leicht. Dann dehnt sich das Gummiband um meinetwegen einen Zentimeter. Knoten Sie zehn Gummibänder aneinander und hängen Sie das gleiche Teil dran, dann dehnt sich jedes Gummiband um einen Zentimeter, der gesamte Strang dehnt sich somit um zehn Zentimeter! Um das zu berücksichtigen, wurde die Deformation ε (epsilon) definiert:

Formel 6.2: Definition der Deformation
Δl ist die absolute Länge der Deformation und l ist die Länge des Teils, an der die Kraft zieht (oder auf die sie drückt).
Im Prinzip geht es bei den Verformungen aufgrund mechanischer Belastung also immer um den Zusammenhang von Spannung σ und Dehnung ε.
Die Spannung und die Dehnung können auf dreierlei Art und Weise voneinander abhängen:
- Linear-elastisch
- Viskos
- Plastisch
Linear-elastisches Verhalten
Wird auch Hookesches Verhalten genannt, zu Ehren von Robert Hooke, einem englischen Universalgelehrten des 17. Jahrhunderts, der genau dieses Verhalten als erster beschrieben hat. Hier ist die Verformung proportional zur einwirkenden Kraft. Je mehr Kraft wirkt, umso mehr verformt sich der Körper. Wichtig zur Abgrenzung gegenüber den anderen beiden Verhalten: Wird die Kraft ganz weggenommen, geht auch die Verformung ganz weg. Symbolisch dargestellt wird dieses Verhalten mittels einer stark vereinfacht gezeichneten Spiralfeder (siehe Abbildung 6.1).

Abbildung 6.1: Symbolbild Hookescher Körper
Kenngröße des Hookeschen Verhaltens ist der Elastizitätsmodul mit dem Formelzeichen E. Und hier die Formel, die den Zusammenhang zwischen äußerer Kraft F und Längenänderung Δl beschreibt:

Formel 6.3: Deformation als Funktion der Spannung, linear-elastisches Verhalten
A bezeichnet die Querschnittsfläche des Bauteils senkrecht zur Zugkraft F. Und l steht für die Ausgangslänge des Bauteils.
Wie Sie anhand Formel 6-3 erkennen können, herrscht nicht nur allgemein proportionaler, sondern sogar ein linearer Zusammenhang zwischen Verformung und wirkender Kraft. Die Energie, die zum Verformen aufgewendet wurde, wird beim Entformen wieder vollständig abgegeben, der belastete Körper federt wieder vollständig in seine ursprüngliche Gestalt zurück.
Dies ist das übliche Verhalten von Metallen (solange man im linear-elastischen Bereich der Verformung bleibt). Kunststoffe verhalten sich allerdings (je nach Anwendungsfall leider oder zum Glück) nicht so linear-elastisch wie Metalle. Das Verhalten von Kunststoffen unter Belastung kann viskoe...
Inhaltsverzeichnis
- Cover
- Inhaltsverzeichnis
- Über den Autor
- Einführung
- Teil I: Und jedem Zauber wohnt ein Anfang inne
- Teil II: Drum prüfe, wer sich ewig bindet
- Teil III: Werkstoffeigenschaften
- Teil IV: Flexibel muss man sein
- Teil V: Gelobt sei, was hart macht
- Teil VI: Eine andere Sicht der Dinge
- Teil VII: Top-Ten-Teil
- Index
- End User License Agreement
Häufig gestellte Fragen
Ja, du kannst dein Abo jederzeit über den Tab Abo in deinen Kontoeinstellungen auf der Perlego-Website kündigen. Dein Abo bleibt bis zum Ende deines aktuellen Abrechnungszeitraums aktiv. Erfahre, wie du dein Abo kündigen kannst
Nein, Bücher können nicht als externe Dateien, z. B. PDFs, zur Verwendung außerhalb von Perlego heruntergeladen werden. Du kannst jedoch Bücher in der Perlego-App herunterladen, um sie offline auf deinem Smartphone oder Tablet zu lesen. Erfahre, wie du Bücher herunterladen kannst, um sie offline zu lesen
Perlego bietet zwei Abopläne an: Elementar und Erweitert
- Elementar ist ideal für Lernende und Profis, die sich mit einer Vielzahl von Themen beschäftigen möchten. Erhalte Zugang zur Basic-Bibliothek mit über 800.000 vertrauenswürdigen Titeln und Bestsellern in den Bereichen Wirtschaft, persönliche Weiterentwicklung und Geisteswissenschaften. Enthält unbegrenzte Lesezeit und die Standardstimme für die Funktion „Vorlesen“.
- Pro: Perfekt für fortgeschrittene Lernende und Forscher, die einen vollständigen, uneingeschränkten Zugang benötigen. Schalte über 1,4 Millionen Bücher zu Hunderten von Themen frei, darunter akademische und hochspezialisierte Titel. Das Pro-Abo umfasst auch erweiterte Funktionen wie Premium-Vorlesen und den Recherche-Assistenten.
Wir sind ein Online-Lehrbuch-Abo, bei dem du für weniger als den Preis eines einzelnen Buches pro Monat Zugang zu einer ganzen Online-Bibliothek erhältst. Mit über 1 Million Büchern zu über 990 verschiedenen Themen haben wir bestimmt alles, was du brauchst! Erfahre mehr über unsere Mission
Achte auf das Symbol zum Vorlesen bei deinem nächsten Buch, um zu sehen, ob du es dir auch anhören kannst. Bei diesem Tool wird dir Text laut vorgelesen, wobei der Text beim Vorlesen auch grafisch hervorgehoben wird. Du kannst das Vorlesen jederzeit anhalten, beschleunigen und verlangsamen. Erfahre mehr über die Funktion „Vorlesen“
Ja! Du kannst die Perlego-App sowohl auf iOS- als auch auf Android-Geräten nutzen, damit du jederzeit und überall lesen kannst – sogar offline. Perfekt für den Weg zur Arbeit oder wenn du unterwegs bist.
Bitte beachte, dass wir Geräte, auf denen die Betriebssysteme iOS 13 und Android 7 oder noch ältere Versionen ausgeführt werden, nicht unterstützen können. Mehr über die Verwendung der App erfahren
Bitte beachte, dass wir Geräte, auf denen die Betriebssysteme iOS 13 und Android 7 oder noch ältere Versionen ausgeführt werden, nicht unterstützen können. Mehr über die Verwendung der App erfahren
Ja, du hast Zugang zu Kunststoffhandbuch für Dummies von Thomas Kümmer im PDF- und/oder ePub-Format sowie zu anderen beliebten Büchern aus Technology & Engineering & Materials Science. Aus unserem Katalog stehen dir über 1 Million Bücher zur Verfügung.