
Multiple lineare Regression & High Performance Computing
Methodik und Software-Implementation komplexer Analysemodelle
- 616 Seiten
- German
- ePUB (handyfreundlich)
- Über iOS und Android verfügbar
Multiple lineare Regression & High Performance Computing
Methodik und Software-Implementation komplexer Analysemodelle
Über dieses Buch
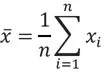
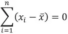
Dieses Buch hat zum Ziel, die in der empirischen Forschung häufig verwendete Methode der multiplen linearen Regressionsanalyse in nachvollziehbarer Weise darzulegen. Als Hilfsmittel hierfür wird die schrittweise Entwicklung einer leistungsfähigen Software mit der weitverbreiteten Programmiersprache C unter Rückgriff auf Konzepte der parallelen Programmierung und des Cluster Computing herangezogen. Hierzu werden zunächst relevante mathematische Zusammenhänge aufgegriffen, die auch ohne größere Vorkenntnisse für den Leser nachvollziehbar sein sollten.Es werden Betrachtungen zur Effizienz von Algorithmen vorgenommen, welche für die Analyse von komplexen Modellen und von umfangreichen Datenmengen ("big data") unabdingbar sind. Im Buch wird anschaulich erläutert, wie die Berechnung eines komplexen Prognosemodells mit 20 Eingangsvariablen -abhängig von der konkreten Software-Implementation- entweder über 8000 Jahre oder unter 8 Minuten Rechenzeit benötigt. Beispielhaft werden mit der erstellten Analysesoftware empirische Daten einer vom Autor im Sommer 2014 durchgeführten psychologischen Feldstudie zur Burnout-Forschung an Beschäftigten im deutschen Gesundheitswesen untersucht.Das Buch integriert methodische Ansätze aus den Disziplinen Informatik und Psychologie und enthält 72 Tabellen, 67 Abbildungen sowie 45 Formeln.
375,005 Studierende vertrauen auf uns
Zugang zu über 1 Million Titeln zu einem fairen monatlichen Preis.
Mit unseren Lerntools kannst du noch effizienter lernen.
Information
1. Über dieses Buch
2. Ausgewählte mathematische Grundlagen
2.1. Univariate Maße




Inhaltsverzeichnis
- Über den Autor
- Inhaltsverzeichnis
- Abkürzungsverzeichnis
- Tabellenverzeichnis
- Abbildungsverzeichnis
- Formelverzeichnis
- 1. Über dieses Buch
- 2. Ausgewählte mathematische Grundlagen
- 3. Das einfache lineare Regressionsmodell
- 4. Das multiple lineare Regressionsmodell
- 5. Software-Implementation
- 6. Ein praktischer Anwendungsfall
- Literaturverzeichnis
- Anhang
- Impressum
Häufig gestellte Fragen
- Elementar ist ideal für Lernende und Profis, die sich mit einer Vielzahl von Themen beschäftigen möchten. Erhalte Zugang zur Basic-Bibliothek mit über 800.000 vertrauenswürdigen Titeln und Bestsellern in den Bereichen Wirtschaft, persönliche Weiterentwicklung und Geisteswissenschaften. Enthält unbegrenzte Lesezeit und die Standardstimme für die Funktion „Vorlesen“.
- Pro: Perfekt für fortgeschrittene Lernende und Forscher, die einen vollständigen, uneingeschränkten Zugang benötigen. Schalte über 1,4 Millionen Bücher zu Hunderten von Themen frei, darunter akademische und hochspezialisierte Titel. Das Pro-Abo umfasst auch erweiterte Funktionen wie Premium-Vorlesen und den Recherche-Assistenten.
Bitte beachte, dass wir Geräte, auf denen die Betriebssysteme iOS 13 und Android 7 oder noch ältere Versionen ausgeführt werden, nicht unterstützen können. Mehr über die Verwendung der App erfahren