Journal of Approximation Theory and Applied Mathematics - 2014 Vol. 4
eBook - ePub

Journal of Approximation Theory and Applied Mathematics - 2014 Vol. 4

ISSN 2196-1581

  1. 24 Seiten
  2. German
  3. ePUB (handyfreundlich)
  4. Über iOS und Android verfügbar
eBook - ePub

Journal of Approximation Theory and Applied Mathematics - 2014 Vol. 4

ISSN 2196-1581

Über dieses Buch

Journal of Approximation Theory and Applied Mathematics Vol. 4ContentApproximation Error by Using a Finite Number of BaseCoefficients for Special Types of WaveletsSolving Fredholm Integral Equations with Applicationof the Four Chebyshev PolynomialsFourier Properties of Approximations with Functions on a CompactInterval using Daubechies Wavelets

375,005 Studierende vertrauen auf uns

Zugang zu über 1 Million Titeln zu einem fairen monatlichen Preis.

Mit unseren Lerntools kannst du noch effizienter lernen.

Information

Jahr
2015
ISBN drucken
9783734744037
eBook-ISBN:
9783738669428

Approximation Error by Using a Finite Number of Base Coefficients for Special Types of Wavelets

M. Schuchmann and M. Rasguljajew from the Darmstadt University of Applied Sciences
Abstract
If an approximation yj of y is determined by an orthogonal projection from y on Vj then in practical cases only a finite number of bases coefficients can be used. Here we investigate the relationship of the approximation error, resulting from the use of a finite number of basic coefficients, depending on the number of basic elements. We consider wavelets with compact support, such as Daubechies wavelets and the Shannon wavelet for different types of functions.
Introduction of the MSA
In the wavelet theory a scaling function ϕ is used, which belongs to a MSA (multi scale analysis). From the MSA we know, that we can construct an orthonormal basis of a closed subspace Vj, where Vj belongs to a the sequence of subspaces with the following property:
is an orthonormal basis of Vj with
We use the approximation function
With the function ϕ of the MSA we get an orthonormal basis of Vj with
So we get the orthogonal projection from a L2(R) function f in Vj with
Approximation Error Through a finite kmax
If we use a finite number kmax than we get an approximation error for y in Vj depending on the kmax:
Now we consider a father wavelet with compact support: supp
with a > 0.
For Daubechies wavelets of order r we get a = 2r – 1.
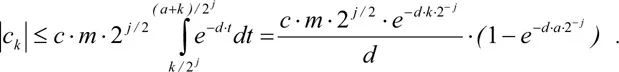
Considering Functions with an exponential decay
If
(with d > 0 and c > 0) than we get for k > 0 with
We assume that kmax is so big, that the supp
If we use the maximum |ck| (with an equality in the equ...

Inhaltsverzeichnis

  1. Table of Contents
  2. Approximation Error by Using a Finite Number of Base Coefficients for Special Types of Wavelets
  3. Solving Fredholm integral equations with application of the four Chebyshev polynomials
  4. Fourier Properties of Approximations with Functions on a Compact Interval using Daubechies Wavelets
  5. Copyright

Häufig gestellte Fragen

Ja, du kannst dein Abo jederzeit über den Tab Abo in deinen Kontoeinstellungen auf der Perlego-Website kündigen. Dein Abo bleibt bis zum Ende deines aktuellen Abrechnungszeitraums aktiv. Erfahre, wie du dein Abo kündigen kannst
Nein, Bücher können nicht als externe Dateien, z. B. PDFs, zur Verwendung außerhalb von Perlego heruntergeladen werden. Du kannst jedoch Bücher in der Perlego-App herunterladen, um sie offline auf deinem Smartphone oder Tablet zu lesen. Erfahre, wie du Bücher herunterladen kannst, um sie offline zu lesen
Perlego bietet zwei Abopläne an: Elementar und Erweitert
  • Elementar ist ideal für Lernende und Profis, die sich mit einer Vielzahl von Themen beschäftigen möchten. Erhalte Zugang zur Basic-Bibliothek mit über 800.000 vertrauenswürdigen Titeln und Bestsellern in den Bereichen Wirtschaft, persönliche Weiterentwicklung und Geisteswissenschaften. Enthält unbegrenzte Lesezeit und die Standardstimme für die Funktion „Vorlesen“.
  • Pro: Perfekt für fortgeschrittene Lernende und Forscher, die einen vollständigen, uneingeschränkten Zugang benötigen. Schalte über 1,4 Millionen Bücher zu Hunderten von Themen frei, darunter akademische und hochspezialisierte Titel. Das Pro-Abo umfasst auch erweiterte Funktionen wie Premium-Vorlesen und den Recherche-Assistenten.
Beide Abopläne sind mit monatlichen, halbjährlichen oder jährlichen Abrechnungszyklen verfügbar.
Wir sind ein Online-Lehrbuch-Abo, bei dem du für weniger als den Preis eines einzelnen Buches pro Monat Zugang zu einer ganzen Online-Bibliothek erhältst. Mit über 1 Million Büchern zu über 990 verschiedenen Themen haben wir bestimmt alles, was du brauchst! Erfahre mehr über unsere Mission
Achte auf das Symbol zum Vorlesen bei deinem nächsten Buch, um zu sehen, ob du es dir auch anhören kannst. Bei diesem Tool wird dir Text laut vorgelesen, wobei der Text beim Vorlesen auch grafisch hervorgehoben wird. Du kannst das Vorlesen jederzeit anhalten, beschleunigen und verlangsamen. Erfahre mehr über die Funktion „Vorlesen“
Ja! Du kannst die Perlego-App sowohl auf iOS- als auch auf Android-Geräten nutzen, damit du jederzeit und überall lesen kannst – sogar offline. Perfekt für den Weg zur Arbeit oder wenn du unterwegs bist.
Bitte beachte, dass wir Geräte, auf denen die Betriebssysteme iOS 13 und Android 7 oder noch ältere Versionen ausgeführt werden, nicht unterstützen können. Mehr über die Verwendung der App erfahren
Ja, du hast Zugang zu Journal of Approximation Theory and Applied Mathematics - 2014 Vol. 4 von Marco Schuchmann im PDF- und/oder ePub-Format sowie zu anderen beliebten Büchern aus Mathematics & Mathematics General. Aus unserem Katalog stehen dir über 1 Million Bücher zur Verfügung.