Diese Formelsammlung wurde für Auszubildende Berufskraftfahrer vom 1. bis 3. Ausbildungsjahr erstellt und ist auch speziell geeignet für die Abschlussprüfung. Weitere Einsatzmöglichkeiten bestehen für Kraftverkehrsmeister, für Qualifizierungslehrgänge im Berufskraftfahrerbereich und der Verkehrsbranche. In diesem Buch sind Formeln und Anleitungen, die Themen des Verzurrens im Bereich Ladungssicherung im Güterverkehr bis hin zur Fahrzeugbedarfs-berechnung im Personenverkehr erklären. Darüber hinaus sind auch einfache Flächenberechnungen und Technische Fahrzeugberechnungen, wie Bremswegermittlung, enthalten. Als Fachlehrer von Berufskraftfahrern, entschloss ich mich, diese kleine Formelsammlung selbst zu erstellen.

- 80 Seiten
- German
- ePUB (handyfreundlich)
- Über iOS und Android verfügbar
eBook - ePub
Über dieses Buch
375,005 Studierende vertrauen auf uns
Zugang zu über 1 Million Titeln zu einem fairen monatlichen Preis.
Mit unseren Lerntools kannst du noch effizienter lernen.
Information
Ladungssicherung Neue Norm „DIN EN“ 12195-1 Ausgabe 2011 | Formeln vereinfachte Darstellung |
Anzahl der Zurrpunkte (DIN EN 12640) Berechnung nach Gewicht Zulässige Zugkraft Berechnung nach Größe der Ladefläche Maximaler Abstand zwischen den Zurrpunkten | ![]() x = Anzahl der Zurrpunkte (aufgerundet auf nächste gerade Zahl),beide Seiten Z = zulässige Zugkraft des Zurrpunktes in daN Nutzlast = in daN ![]() x = Anzahl der Felder (aufgerundet) + 1 = Anzahl der Zurrpunkte pro Seite Ladelänge = in m 1,2 m = Längsseite gemessene Abstand zwischen den Zurrpunkten ≤ 1200 mm 0,5 m = Längsseite gemessene Abstand von der Stirnwand vorn u. hinten ≤ 500mm Die höhere Anzahl von Zurrpunkten beider Berechnungen (unter Beachtung der Mindestanzahl) ist zu verwenden. |
Gesamtschwerpunkt ![]() | ![]() S ges = Gesamtschwerpunkt in m von der Stirnwand S1 = Schwerpunkt der Ladung eins in m von der Stirnwand m1 = Masse Ladegut eins in kg S und m sind beliebig erweiterbar |
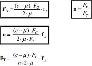
Formschluss Blockieren in Längs- oder Querrichtung ![]() | FB = F - FR FB = (c - μ) · FG FB = Blockierkraft in daN F G = Gewichtskraft der Ladung in daN F = Massenkraft in daN F R = Reibungskraft in daN μ = Gleit-Reibbeiwert c = Beschleunigungsbeiwert: nach vorn 0,8 zur Seite und nach hinten 0,5 |
Sichern gegen Rutschen Niederzurren standfeste Ladung bei einem Zurrwinkel α von größer als 83 Grad ! ( wenn Zurrwinkel 90o =Vorspannkraft 100%) ![]() Niederzurren standfeste Ladung bei einem Zurrwinkel α von kleiner als 83 Grad ![]() | ![]() FV = Gesamtvorspannkraft S TF im geraden Zug, die zur Sicherung der gesamten Ladung erforderlich ist in daN FT = Vorspannkraft eines Zurrmittels STF in... |
Inhaltsverzeichnis
- Vorwort
- Inhaltsverzeichnis
- Flächenberechnungen/Volumenberechnungen
- Flächen
- Volumen
- Winkelfunktionen
- Lehrsatz des Pythagoras
- Kräfte
- Zulässige Gesamtmasse(Gewicht) und Anhängelast
- Fahrwiderstände
- Gleichförmige, Geradlinige - und Kreisbewegung
- Bremsen , Beschleunigung, Verzögerung
- Kraftstoffverbrauch
- Mischungsverhältnis
- Berechnungen am Motor
- Zahnradtrieb / Getriebe / Antriebstrang
- Radumfang / Abrollumfang / Reifendurchmesser
- Mechanische – Arbeit / Leistung
- Elektrotechnik
- Druck
- Maßstabsumrechnungen
- Lademeter
- Ladungssicherung standfeste Ladung
- Ladungssicherung Neue Norm „VDI“ 2700 Blatt 2
- Ladungssicherung Neue Norm „DIN EN“ 12195-1 Ausgabe 2011
- Fahrdauer /Lenkzeit
- Gewichte Bus/KOM
- Fahrpersonalbedarf / Kosten Bus
- Fahrzeugbedarf , Taktzeit, Umlaufzeit
- Fahrzeugeinsatzplanung, Risikobereich
- Haustarif
- Prozent,-Promille,-Zinsrechnung
- Mischungsrechnen
- Kostenrechnungen
- Abschreibung
- Ladungssicherung “ ALTE“ Norm „DIN EN“ 12195-1 Ausgabe 2004
- Stichwortverzeichnis
- Impressum
Häufig gestellte Fragen
Ja, du kannst dein Abo jederzeit über den Tab Abo in deinen Kontoeinstellungen auf der Perlego-Website kündigen. Dein Abo bleibt bis zum Ende deines aktuellen Abrechnungszeitraums aktiv. Erfahre, wie du dein Abo kündigen kannst
Nein, Bücher können nicht als externe Dateien, z. B. PDFs, zur Verwendung außerhalb von Perlego heruntergeladen werden. Du kannst jedoch Bücher in der Perlego-App herunterladen, um sie offline auf deinem Smartphone oder Tablet zu lesen. Erfahre, wie du Bücher herunterladen kannst, um sie offline zu lesen
Perlego bietet zwei Abopläne an: Elementar und Erweitert
- Elementar ist ideal für Lernende und Profis, die sich mit einer Vielzahl von Themen beschäftigen möchten. Erhalte Zugang zur Basic-Bibliothek mit über 800.000 vertrauenswürdigen Titeln und Bestsellern in den Bereichen Wirtschaft, persönliche Weiterentwicklung und Geisteswissenschaften. Enthält unbegrenzte Lesezeit und die Standardstimme für die Funktion „Vorlesen“.
- Pro: Perfekt für fortgeschrittene Lernende und Forscher, die einen vollständigen, uneingeschränkten Zugang benötigen. Schalte über 1,4 Millionen Bücher zu Hunderten von Themen frei, darunter akademische und hochspezialisierte Titel. Das Pro-Abo umfasst auch erweiterte Funktionen wie Premium-Vorlesen und den Recherche-Assistenten.
Wir sind ein Online-Lehrbuch-Abo, bei dem du für weniger als den Preis eines einzelnen Buches pro Monat Zugang zu einer ganzen Online-Bibliothek erhältst. Mit über 1 Million Büchern zu über 990 verschiedenen Themen haben wir bestimmt alles, was du brauchst! Erfahre mehr über unsere Mission
Achte auf das Symbol zum Vorlesen bei deinem nächsten Buch, um zu sehen, ob du es dir auch anhören kannst. Bei diesem Tool wird dir Text laut vorgelesen, wobei der Text beim Vorlesen auch grafisch hervorgehoben wird. Du kannst das Vorlesen jederzeit anhalten, beschleunigen und verlangsamen. Erfahre mehr über die Funktion „Vorlesen“
Ja! Du kannst die Perlego-App sowohl auf iOS- als auch auf Android-Geräten nutzen, damit du jederzeit und überall lesen kannst – sogar offline. Perfekt für den Weg zur Arbeit oder wenn du unterwegs bist.
Bitte beachte, dass wir Geräte, auf denen die Betriebssysteme iOS 13 und Android 7 oder noch ältere Versionen ausgeführt werden, nicht unterstützen können. Mehr über die Verwendung der App erfahren
Bitte beachte, dass wir Geräte, auf denen die Betriebssysteme iOS 13 und Android 7 oder noch ältere Versionen ausgeführt werden, nicht unterstützen können. Mehr über die Verwendung der App erfahren
Ja, du hast Zugang zu Formelsammlung für Berufskraftfahrer von Jörg Biemer im PDF- und/oder ePub-Format sowie zu anderen beliebten Büchern aus Mathematik & Mathematik Allgemein. Aus unserem Katalog stehen dir über 1 Million Bücher zur Verfügung.







