1836 Proton-Elektron
eBook - ePub

1836 Proton-Elektron

anhand der Planckzahl und des Raumes

  1. 48 Seiten
  2. German
  3. ePUB (handyfreundlich)
  4. Über iOS und Android verfügbar
eBook - ePub

1836 Proton-Elektron

anhand der Planckzahl und des Raumes

Über dieses Buch

Ergab die pythagoräische Zahl die Struktur der Musik (bis 1642) und der Architektur (Paestum ca. 500 v.Chr.), die dann in den Wertebereich des Menschen zusätzlich mündete (z.B. 3 Gerechtigkeit u.a.), so wurde die pythagoräische Zahl durch die Mersennsche Zahl in der Musik abgelöst, die seit rd. 300 Jahren die Musik beherrscht, allerdings mit kleinen Ungenauigkeiten im Obertonabgleich.Die vorgestellten Zahlen z.B. ^39;^78, ^117 sind dimensionsbehaftet, strukturbedingt, massenverwandt und zahlabhängig.Aus der Herleitung 6 ist ein eindeutiges Ergebnis zur Herleitung des Proton aus dem Elektron dargestellt. Diese Herleitung wird aus der Grundformel der Planckzahl abgeleitet, deren Ergebnisse, auch den sonstigen Formeln, ausschließlich mit den drei Konstanten y, c, h erfolgte. Damit ist eine Darstellung der Natur im Kleinen sowie im Großen möglich, wobei mit dieser Darstellung das bisher bekannte Kleine und Große um mehrere Größenordnungen ergänzt wurde.

375,005 Studierende vertrauen auf uns

Zugang zu über 1 Million Titeln zu einem fairen monatlichen Preis.

Mit unseren Lerntools kannst du noch effizienter lernen.

Information

Jahr
2015
ISBN drucken
9783738629361
eBook-ISBN:
9783739294322

B1.) Herleitung 1

H 1.1) Massen mit Zahlen und Planckmasse

Die Herleitungen H1.1- H1.6 beziehen sich auf die Tabelle 1. Vorangestellt sind die grundlegenden Konstanten und die Planckeinheiten. Die verwendeten Zahlen des Deduktkopfes A3 werden ergänzt durch die Berechnung mit der Masse 1kg. Dadurch ergeben sich 6 grundlegende Zahlen (Tabelle 1 Zeile F20-F25), die sich einerseits auf das Proton und die Masse 1 kg beziehen. Durch die Einführung der Wellenlänge dB können mittels der 6 grundlegenden Zahlen multipliziert mit der dB-Wellenlänge 6 grundlegende Längen (Tabelle 1 Zeile 32-37) ermittelt werden. Somit ist es möglich, ähnlich wie bei einem Zweiklang (Verhältnis, autarke Tonzahl) in der Musik, das Zahlen ermittelt werden, die in der eigentlichen Tabelle als "Physikzahl" definiert werden, da ihnen eine Einheit anhaften.

H1.2.) Physikzahl

Das Verhältnis von Ouinte (3/2) und Quarte (4/3) führt zum pythagoreischen Ganzton (9/8) in der Frequenzdarstellung. Durch die Reduktion auf die Zahl ist nun die Frage, was hören wir. Sind es Frequenzen oder Zahlen, die die Frequenzen ins Verhältnis stellen, denn nur durch dieses Zahlverhältnisses ist zu unterscheiden, ob sich die Frequenzen harmonisch oder dissonant verhalten. Die Zahl (z.B. Ganzton aus Verhältnis) ist nicht mit einer Einheit behaftet. Sie ist autark. Die Zahl 9,39928*10−40 (Tab1. F 22) ist ebenso autark wie die Ganztonzahl 9/8 und ergibt sich durch reine Konstanten mit der Formel (9). Bei entsprechender Stimmung ist das Ganztonverhältnis in allen weltlichen Orchestern gleich. Die Zahl Z-40 ist ebenso bei allen rund 10^78 Protonen im Universum gleich und bildet somit eine Universumkonstante wie die zugehörigen Protonenwellenlängen. Die Zahl Z-40 und die aus ihr abgeleitete Zahlen müssen im Universum eine bedeutende Rolle spielen, auf die wir noch eingehen werden.
Wir definieren die Zahlen aus
als physikalische Zahl, da sie mit einer Einheit behaftet sein kann, als Ergebnis aber immer eine Zahl ist.
Wir ermitteln ein Kleinstteilchen (15) mit Hilfe der Zahl (9) und der Planckmasse, um dann diesem Kleinstteilchen eine Zahl zuzuordnen.
Die Zahl Z156 (Tabelle 1 Zeile 119) ist eine sehr große Zahl im physikalischen Sinn. Die Zahl definiert die Anzahl der Teilchen mit einer Masse von 10−86kg in einem zugeordneten Teilchenvolumen von 10−84m3, in einem Gesamtvolumen von 1072m3 und einer Gesamtmasse von 1051kg.
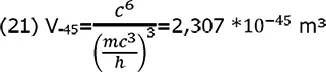
Setzt man für aspr die Schwerefeldbeschleunigung des Proton im Quantenraum, die Beschleunigung der Trägheit des Proton im Quantenraum atpr ein, so ergibt sich das Volumen
Dies entspricht dem Volumen aus der dB-Wellenlänge.
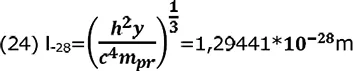
Zur Verdeutlichung wird auch die Masse 10–66kg dargestellt, die auf der Zahl 10117 beruht. Die Zahl 10117 definiert die Anzahl der Massenteilchen von 10–66kg und gleichzeitig den Raumteilchen bzw. -größe entsprechend (21) im Gesamtraum von 1072m3 und einer Gesamtmasse von 1051 kg bei einer gleichmäßigen homogenen Verteilung der Masse. Interessant ist dabei, dass dieses Kleinteilchen eine Volumenlänge besitzt, die der dB-Wellenlänge des Proton entspricht (s.Tabelle 1).
Die Zahl Z117 gibt an wie viel Protonenwürfel (Kantenlänge dB 1 = 10–15 sich in einem Würfel (Kantenlänge 1 = 1024; V=1072) befinden. Die Zahl Z117 ist danach eine Strukturzahl. Die Wellenlänge aus der Masse des Universum bzw. des ausgedehnten Proton ergibt rund 10^-93 m, die des ausgedehnten Universum 10^24m (Proton). Das Verhältnis beträgt 10^117. Die Durchlaufzeit durch die Universumwellenlänge beträgt 10^-101s. Die Zeit, die die Schwerefeldbeschleunigung des Proton benötigt, um die Lichtgeschwindigkeit zu erreichen, beträgt 10^16s. Das Verhältnis beträgt 10^117. Die Masse des ausgedehnten Protons (Universum Faktor ≈ 100) beträgt 10^51kg. Die des Kleinstteilchens Proton beträgt 10^-66 Kg. Das Verhältnis beträgt 10^117. Die Zahl (1/Z-40)^3 ergibt ebenso die Zahl 10^117. Die Verhältniszahlen sind vielfältig und weisen auf grundlegende Gegebenheiten in der Zahl des gedehnten Proton hin. Allerdings ist davon auszugehen, dass diese Zahlen nur jeweils über einem Proton errichtet werden können und damit nur über einem Proton gelten. Eine Verbindung ist denkbar, wenn wir die Massencluster 10^10 berücksichtigen.
Die Zahl Z156 ist ebenso eine solche Zahl, allerdings ergibt sie sich nicht mit der bekannten de-Brogilie Wellenlänge des Proton, sondern basiert auf einer Länge, die der Verfasser in der Schriftx4 dargelegt, dem Proton zugeordnet und in die Diskussion eingeführt hat, um aus der bisher unbekannten Zahl, das Proton und vergleichbar, das Elektron abzuleiten.
An dieser Stelle muss darauf hingewiesen werden, dass die Größe des gedehnten Volumens aus dem Proton in etwa (100-Fach ≈ kleiner) mit dem des Universum übereinstimmt, jedoch ...

Inhaltsverzeichnis

  1. Über das Buch
  2. Einführung
  3. Inhaltsverzeichnis
  4. A.) Deduktkopf
  5. B1.) Herleitung 1
  6. C1.) Ergebnis 1
  7. D.) Herleitung 2
  8. E.) Herleitung 3
  9. F.) Herleitung 4
  10. G.) Herleitung 5
  11. H.) Herleitung 6
  12. I.) Ergebnis Gesamt
  13. J.) Weitere Überlegungen
  14. K.) Zusammenfassung
  15. L.) Anhang
  16. M.) Kurzbiografie
  17. Impressum

Häufig gestellte Fragen

Ja, du kannst dein Abo jederzeit über den Tab Abo in deinen Kontoeinstellungen auf der Perlego-Website kündigen. Dein Abo bleibt bis zum Ende deines aktuellen Abrechnungszeitraums aktiv. Erfahre, wie du dein Abo kündigen kannst
Nein, Bücher können nicht als externe Dateien, z. B. PDFs, zur Verwendung außerhalb von Perlego heruntergeladen werden. Du kannst jedoch Bücher in der Perlego-App herunterladen, um sie offline auf deinem Smartphone oder Tablet zu lesen. Erfahre, wie du Bücher herunterladen kannst, um sie offline zu lesen
Perlego bietet zwei Abopläne an: Elementar und Erweitert
  • Elementar ist ideal für Lernende und Profis, die sich mit einer Vielzahl von Themen beschäftigen möchten. Erhalte Zugang zur Basic-Bibliothek mit über 800.000 vertrauenswürdigen Titeln und Bestsellern in den Bereichen Wirtschaft, persönliche Weiterentwicklung und Geisteswissenschaften. Enthält unbegrenzte Lesezeit und die Standardstimme für die Funktion „Vorlesen“.
  • Pro: Perfekt für fortgeschrittene Lernende und Forscher, die einen vollständigen, uneingeschränkten Zugang benötigen. Schalte über 1,4 Millionen Bücher zu Hunderten von Themen frei, darunter akademische und hochspezialisierte Titel. Das Pro-Abo umfasst auch erweiterte Funktionen wie Premium-Vorlesen und den Recherche-Assistenten.
Beide Abopläne sind mit monatlichen, halbjährlichen oder jährlichen Abrechnungszyklen verfügbar.
Wir sind ein Online-Lehrbuch-Abo, bei dem du für weniger als den Preis eines einzelnen Buches pro Monat Zugang zu einer ganzen Online-Bibliothek erhältst. Mit über 1 Million Büchern zu über 990 verschiedenen Themen haben wir bestimmt alles, was du brauchst! Erfahre mehr über unsere Mission
Achte auf das Symbol zum Vorlesen bei deinem nächsten Buch, um zu sehen, ob du es dir auch anhören kannst. Bei diesem Tool wird dir Text laut vorgelesen, wobei der Text beim Vorlesen auch grafisch hervorgehoben wird. Du kannst das Vorlesen jederzeit anhalten, beschleunigen und verlangsamen. Erfahre mehr über die Funktion „Vorlesen“
Ja! Du kannst die Perlego-App sowohl auf iOS- als auch auf Android-Geräten nutzen, damit du jederzeit und überall lesen kannst – sogar offline. Perfekt für den Weg zur Arbeit oder wenn du unterwegs bist.
Bitte beachte, dass wir Geräte, auf denen die Betriebssysteme iOS 13 und Android 7 oder noch ältere Versionen ausgeführt werden, nicht unterstützen können. Mehr über die Verwendung der App erfahren
Ja, du hast Zugang zu 1836 Proton-Elektron von Thomas Hettich im PDF- und/oder ePub-Format sowie zu anderen beliebten Büchern aus Naturwissenschaften & Physik. Aus unserem Katalog stehen dir über 1 Million Bücher zur Verfügung.