Die Zusammenstellung des Skripts orientiert sich an den Inhalten der Unterrichtseinheit Digitaltechnik im Rahmen des Unterrichtsfachs Technik / MINT in der Sekundarstufe 1. Es ist aus zahlreichen Unterrichtsvorbereitungen hervorgegangen und soll die wichtigsten Inhalte zusammenfassen. Die vorliegende Zusammenstellung soll nur den notwendigsten Stoff in einer strukturierten Form erfassen und dadurch das Arbeiten erleichtern. Den Gesamtzusammenhang nicht aus den Augen zu verlieren ist die Absicht.

- 56 Seiten
- German
- ePUB (handyfreundlich)
- Über iOS und Android verfügbar
eBook - ePub
Über dieses Buch
375,005 Studierende vertrauen auf uns
Zugang zu über 1 Million Titeln zu einem fairen monatlichen Preis.
Mit unseren Lerntools kannst du noch effizienter lernen.
Information
Boolesche Algebra (Aufgaben 1)
- Erstelle für die folgenden Funktionsgleichungen eine zugehörige Digitalschaltung. Hierbei stehen dir allerdings nur NOR-Glieder zu Verfügung!

- Erstelle für die gleichen Funktionsgleichungen jetzt eine zugehörige Digitalschaltung bei der dir nur NAND-Glieder zu Verfügung stehen.
Boolesche Algebra (5)
Gegeben waren die beiden folgenden Schaltungen:

Die Behauptung war: Beide Schaltungen sind gleichwertig (=äquivalent)! Das soll jetzt überprüft werden!
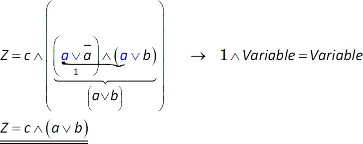
→ Anwendung der Gesetzmäßigkeiten:




Die Behauptung kann also durch die Rechnung belegt werden.
Beide Schaltungen sind gleichwertig!
Boolesche Algebra (Aufgaben 2)
Zeige mit den Gesetzen der Booleschen Algebra die Gültigkeit der folgenden Gleichungen:
Aufgabe 1: (Einsteiger)

Aufgabe 2: (Fortgeschrittene)

Aufgabe 3:
- Gib für die folgende Tabelle (Spalte) die boolsche Funktion an.
- Vereinfache sie nach den Gesetzten der Boolschen Algebra.
- Gib eine geeigente Schaltung m...
Inhaltsverzeichnis
- Vorwort
- Inhaltsverzeichnis
- Digitaltechnik
- Digitale Signale
- Elektrizität (Rückblick)
- Schaltsymbole
- Logische Verknüpfungsglieder
- Aufbau der zusammengesetzten Gatter durch Grundgatter
- Schaltungsanalyse
- Schaltungsanalyse (Aufgaben)
- Boolesche Algebra
- Boolesche Algebra (Aufgaben 1)
- Boolesche Algebra (Aufgaben 2)
- Schaltungssynthese
- Schaltungssynthese (Aufgaben - 1)
- Schaltungssynthese (Aufgaben - 2)
- Daten Speichern
- Rechenschaltungen
- Impressum
Häufig gestellte Fragen
Ja, du kannst dein Abo jederzeit über den Tab Abo in deinen Kontoeinstellungen auf der Perlego-Website kündigen. Dein Abo bleibt bis zum Ende deines aktuellen Abrechnungszeitraums aktiv. Erfahre, wie du dein Abo kündigen kannst
Nein, Bücher können nicht als externe Dateien, z. B. PDFs, zur Verwendung außerhalb von Perlego heruntergeladen werden. Du kannst jedoch Bücher in der Perlego-App herunterladen, um sie offline auf deinem Smartphone oder Tablet zu lesen. Erfahre, wie du Bücher herunterladen kannst, um sie offline zu lesen
Perlego bietet zwei Abopläne an: Elementar und Erweitert
- Elementar ist ideal für Lernende und Profis, die sich mit einer Vielzahl von Themen beschäftigen möchten. Erhalte Zugang zur Basic-Bibliothek mit über 800.000 vertrauenswürdigen Titeln und Bestsellern in den Bereichen Wirtschaft, persönliche Weiterentwicklung und Geisteswissenschaften. Enthält unbegrenzte Lesezeit und die Standardstimme für die Funktion „Vorlesen“.
- Pro: Perfekt für fortgeschrittene Lernende und Forscher, die einen vollständigen, uneingeschränkten Zugang benötigen. Schalte über 1,4 Millionen Bücher zu Hunderten von Themen frei, darunter akademische und hochspezialisierte Titel. Das Pro-Abo umfasst auch erweiterte Funktionen wie Premium-Vorlesen und den Recherche-Assistenten.
Wir sind ein Online-Lehrbuch-Abo, bei dem du für weniger als den Preis eines einzelnen Buches pro Monat Zugang zu einer ganzen Online-Bibliothek erhältst. Mit über 1 Million Büchern zu über 990 verschiedenen Themen haben wir bestimmt alles, was du brauchst! Erfahre mehr über unsere Mission
Achte auf das Symbol zum Vorlesen bei deinem nächsten Buch, um zu sehen, ob du es dir auch anhören kannst. Bei diesem Tool wird dir Text laut vorgelesen, wobei der Text beim Vorlesen auch grafisch hervorgehoben wird. Du kannst das Vorlesen jederzeit anhalten, beschleunigen und verlangsamen. Erfahre mehr über die Funktion „Vorlesen“
Ja! Du kannst die Perlego-App sowohl auf iOS- als auch auf Android-Geräten nutzen, damit du jederzeit und überall lesen kannst – sogar offline. Perfekt für den Weg zur Arbeit oder wenn du unterwegs bist.
Bitte beachte, dass wir Geräte, auf denen die Betriebssysteme iOS 13 und Android 7 oder noch ältere Versionen ausgeführt werden, nicht unterstützen können. Mehr über die Verwendung der App erfahren
Bitte beachte, dass wir Geräte, auf denen die Betriebssysteme iOS 13 und Android 7 oder noch ältere Versionen ausgeführt werden, nicht unterstützen können. Mehr über die Verwendung der App erfahren
Ja, du hast Zugang zu Digitaltechnik von Andreas Rueff im PDF- und/oder ePub-Format sowie zu anderen beliebten Büchern aus Technik & Maschinenbau & Maschinenbau Allgemein. Aus unserem Katalog stehen dir über 1 Million Bücher zur Verfügung.