Das E-Book behandelt in kompakter Form die beim Messen elektrischer sowie nichtelektrischer Wechselgrößen wichtigen Kenngrößen und grundlegenden Zusammenhänge in folgenden Abschnitten: - Sinussignal mit Gleichanteil- Kenngrößen- Ermittlung der Kenngrößen mit analoger Signalverarbeitung- Ermittlung der Kenngrößen mit digitaler Signalverarbeitung- Frequenzgang analoger KomponentenAußerdem ist ein Verzeichnis mit in der Messtechnik und Sensorik häufig verwendeten Abkürzungen enthalten.Es stellt den Teil 3 des Kompendiums Messtechnik und Sensorik dar. Das Kompendium versteht sich als Grundlagenüberblick zwischen rein akademischer Theorie und ausschließlich gerätebezogener Anwendungspraxis. Es möchte auf effiziente Art das notwendige Basis-Know-how vermitteln, um messtechnische Aufgabenstellungen auf einer fundierten Grundlage selbständig anzugehen. Es wendet sich einerseits an im Beruf stehende Ingenieure, Techniker und Naturwissenschaftler, die messtechnische Systeme einsetzen. Andererseits an Studierende und Lehrende in technischen Bachelor- und Masterstudiengängen bzw. an Techniker- und Meisterschulen.Zu den Kompendiumsinhalten ist ein Multiple Choice-Test unter www.messtechnik-und-sensorik.org frei verfügbar. Wer diesen besteht, kann ein vom Autor Prof. Dr.-Ing. Jörg Böttcher unterzeichnetes Fortbildungszertifikat gegen eine zusätzliche Gebühr erwerben.

- 24 Seiten
- German
- ePUB (handyfreundlich)
- Über iOS und Android verfügbar
eBook - ePub
Über dieses Buch
375,005 Studierende vertrauen auf uns
Zugang zu über 1 Million Titeln zu einem fairen monatlichen Preis.
Mit unseren Lerntools kannst du noch effizienter lernen.
Information
Messen von Wechselgrößen
Messgrößen ändern sich über die Zeit und oftmals ist ja gerade auch der konkrete Zeitverlauf von Interesse. Zur korrekten Ermittlung eines Messwertes zu einem bestimmten Zeitpunkt erfordern die üblichen Messverfahren i.d.R., dass die Messgröße während der Dauer der Messung annähernd konstant bleibt. Oftmals in der Praxis - insbesondere bei der Messung nichtelektrischer Größen - ist die Messdauer der typischerweise verwendeten Messanordnungen im Vergleich zur Änderungsgeschwindigkeit der Messgröße so kurz, dass diese Annahme absolut erfüllt ist. Speziell bei der Messung höherfrequenter elektrischer Größen ist dies mitunter nicht der Fall. Hier müssen wir die Messgröße für die Messdauer jeweils „einfrieren“, wozu es entsprechende sog. Abtastschaltungen mit einem Sample-and-Hold-Glied gibt. Näheres dazu wollen wir uns aber erst im nächsten Kapitel ansehen.
In diesem Kapitel geht es um einen anderen Aspekt des Messens sich verändernder Messgrößen. Und zwar um das Messen charakteristischer Kenngrößen von Signalen, die sich periodisch ändern, wir sprechen von „Wechselgrößen“. Die bekannteste Wechselgröße ist sicherlich die elektrische Wechselspannung von in Deutschland beispielsweise 230 V, wie sie aus der Steckdose „kommt“ und beim angeschlossenen Verbraucher zu einem Wechselstromfluss führt. Als weiteres Beispiel entsprechender Wechselsignale seien der periodische Druck- bzw. Temperaturverlauf im Zylinder eines laufenden Verbrennungsmotors genannt. Die bekannten englischen Abkürzungen speziell für Gleich- bzw. Wechselströme sind DC (Direct Current) und AC (Alternate Current).
Sinussignal mit Gleichanteil
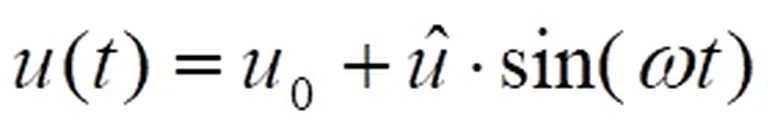
Die mit Abstand häufigste Signalform einer Wechselgröße ist das Sinussignal. Dieses ist in Bild 1 am Beispiel einer elektrischen Spannung skizziert. Im allgemeinen Fall schwingt das Sinussignal periodisch um einen sog. Gleichanteil (auch „Offset“ genannt) u 0, der in vielen Fällen 0 ist:

(Formel 1)
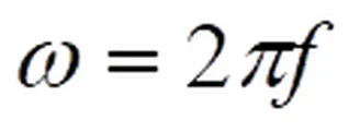
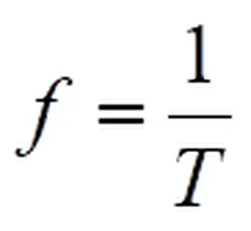
Weiterhin gelten bekanntermaßen:

(Formel 2)

(Formel 3)

Bild 1: Sinussignal mit Gleichanteil
Als weiteres Beispiel für ein in der Technik häufiger anzutreffendes Wechselsignal sei das Rechtecksignal genannt. Es kommt sowohl als symmetrisches Signal mit gleich langen „An“- und „Aus“-Zeiten vor als auch als unsymmetrisches Signal; wir werden dies weiter unten noch näher betrachten.
Kenngrößen
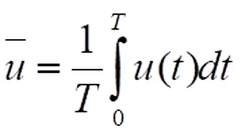
Bei einem Wechselsignal wie dem in Bild 1 interessiert man sich häufig nicht für einen einzelnen Wert zu einem bestimmten Zeitpunkt, den sog. Momentanwert. Dieser hätte wenig Aussagekraft, da er sich ja gemäß der speziellen Signalform in einem starren Muster periodisch ändert. Vielmehr relevant für die meisten messtechnischen Fragestellungen sind Kenngrößen, die sich aus einer Periode des Wechselsignals ermitteln lassen. Nachfolgend wollen wir die üblicherweise verwendeten Kenngrößen mathematisch definieren, was unabhängig davon ist, mit welchen Messmethoden wir diese später ermitteln. Wir tun dies am Beispiel einer Wechselspannung u(t) .
Der (lineare) Mittelwert gemäß

(Formel 4)
ist nur dann aussagekräftig, wenn es sich nicht um ein gleichanteilsfreies Signal handelt, da er anderenfalls 0 beträgt. Wenn wir uns z.B. den sinusförmigen Spannungsverlauf an einem elektrischen Verbraucher (z.B. einen Fön oder eine Lampe) vorstellen, der an einer normalen Steckdose angeschlossen ist, so weist dieser keinen Mittelwert auf. Trotzdem wirkt die Spannung dennoch - Fön bzw. Lampe arbeiten.
Offensichtlich kommt es bei ihnen nicht auf die Polarität der Spannung bzw. der Richtung des dadurch hervorgerufenen Stromflus...
Inhaltsverzeichnis
- Vorwort
- Messen von Wechselgrößen
- Abkürzungen aus der Messtechnik und Sensorik
- So geht es weiter
- Multiple Choice-Test und Fortbildungszertifikat
- Impressum
Häufig gestellte Fragen
Ja, du kannst dein Abo jederzeit über den Tab Abo in deinen Kontoeinstellungen auf der Perlego-Website kündigen. Dein Abo bleibt bis zum Ende deines aktuellen Abrechnungszeitraums aktiv. Erfahre, wie du dein Abo kündigen kannst
Nein, Bücher können nicht als externe Dateien, z. B. PDFs, zur Verwendung außerhalb von Perlego heruntergeladen werden. Du kannst jedoch Bücher in der Perlego-App herunterladen, um sie offline auf deinem Smartphone oder Tablet zu lesen. Erfahre, wie du Bücher herunterladen kannst, um sie offline zu lesen
Perlego bietet zwei Abopläne an: Elementar und Erweitert
- Elementar ist ideal für Lernende und Profis, die sich mit einer Vielzahl von Themen beschäftigen möchten. Erhalte Zugang zur Basic-Bibliothek mit über 800.000 vertrauenswürdigen Titeln und Bestsellern in den Bereichen Wirtschaft, persönliche Weiterentwicklung und Geisteswissenschaften. Enthält unbegrenzte Lesezeit und die Standardstimme für die Funktion „Vorlesen“.
- Pro: Perfekt für fortgeschrittene Lernende und Forscher, die einen vollständigen, uneingeschränkten Zugang benötigen. Schalte über 1,4 Millionen Bücher zu Hunderten von Themen frei, darunter akademische und hochspezialisierte Titel. Das Pro-Abo umfasst auch erweiterte Funktionen wie Premium-Vorlesen und den Recherche-Assistenten.
Wir sind ein Online-Lehrbuch-Abo, bei dem du für weniger als den Preis eines einzelnen Buches pro Monat Zugang zu einer ganzen Online-Bibliothek erhältst. Mit über 1 Million Büchern zu über 990 verschiedenen Themen haben wir bestimmt alles, was du brauchst! Erfahre mehr über unsere Mission
Achte auf das Symbol zum Vorlesen bei deinem nächsten Buch, um zu sehen, ob du es dir auch anhören kannst. Bei diesem Tool wird dir Text laut vorgelesen, wobei der Text beim Vorlesen auch grafisch hervorgehoben wird. Du kannst das Vorlesen jederzeit anhalten, beschleunigen und verlangsamen. Erfahre mehr über die Funktion „Vorlesen“
Ja! Du kannst die Perlego-App sowohl auf iOS- als auch auf Android-Geräten nutzen, damit du jederzeit und überall lesen kannst – sogar offline. Perfekt für den Weg zur Arbeit oder wenn du unterwegs bist.
Bitte beachte, dass wir Geräte, auf denen die Betriebssysteme iOS 13 und Android 7 oder noch ältere Versionen ausgeführt werden, nicht unterstützen können. Mehr über die Verwendung der App erfahren
Bitte beachte, dass wir Geräte, auf denen die Betriebssysteme iOS 13 und Android 7 oder noch ältere Versionen ausgeführt werden, nicht unterstützen können. Mehr über die Verwendung der App erfahren
Ja, du hast Zugang zu Messen von Wechselgrößen von Jörg Böttcher im PDF- und/oder ePub-Format sowie zu anderen beliebten Büchern aus Technik & Maschinenbau & Elektrotechnik & Telekommunikation. Aus unserem Katalog stehen dir über 1 Million Bücher zur Verfügung.