Analytische Geometrie
eBook - ePub

Analytische Geometrie

Skript zur Unterrichtseinheit (Mathematik Sekundarstufe 2)

  1. 60 Seiten
  2. German
  3. ePUB (handyfreundlich)
  4. Über iOS und Android verfügbar
eBook - ePub

Analytische Geometrie

Skript zur Unterrichtseinheit (Mathematik Sekundarstufe 2)

Über dieses Buch

Die Ausbildung zu fördern und die erworbenen Kenntnisse für den Gebrauch in der Schule und im Alltag griffbereit zu erhalten ist das Ziel dieses Skripts. Die Zusammenstellung orientiert sich an den Inhalten der Unterrichtseinheit Analytische Geometrie im Rahmen des Unterrichtsfachs Mathematik in der Sekundarstufe 2. Es ist aus zahlreichen Unterrichtsvorbereitungen hervorgegangen und soll die wichtigsten Inhalte zusammenfassen. Die vorliegende Zusammenstellung soll nur den notwendigsten Stoff in einer strukturierten Form erfassen und dadurch das Arbeiten erleichtern. Den Gesamtzusammenhang nicht aus den Augen zu verlieren und als nützliche Gedächtnisstütze zur Unterrichtseinheit zu dienen ist die Absicht.

375,005 Studierende vertrauen auf uns

Zugang zu über 1 Million Titeln zu einem fairen monatlichen Preis.

Mit unseren Lerntools kannst du noch effizienter lernen.

Information

Jahr
2015
ISBN drucken
9783734731259
eBook-ISBN:
9783738684933
Auflage
3
Thema
Bildung

Analytische Geometrie - Grundlagen

Koordinatensysteme

2-Dimensional
Abstandsformel:
A(a1 | a2)
B(b1 | b2)
3-Dimensional
Abstandsformel:
Abstand vom Ursprung:
(Länge der eingezeichneten dicken Linie: Vom Ursprung der Koordinatensystems bis zum Punkt A)
A(a1 | a2 | a3)
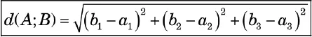
Abstand zweier Punkte A und B:
A(a1 |a2 | a3)
B(b1 | b2 | b3)

Analytische Geometrie (2)

Vektoren

Wir erinnern uns: Strecken
Jetzt betrachten wir „gerichtete Strecken“
Beispiele:
Darstellung im Koordinatensystem als Schrägbild:
Spaltenvektoren:
(Ortsvektor des Punktes A)

Analytische Geometrie (3): Beispiel - Körper

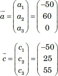
Koordinaten im Raum:
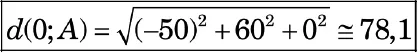
A(−50|60|0)
C(−50|25|55)
Ortsvektoren:
Der Vektor
:
A(−50|60|0)
C(−50|25|55)
Betrag des Vektors:
---------------------------------------------------------------------------------
Der Vektor
:
D(0|60| 35)
Betrag :

Zusammenfassung der Grundlagen

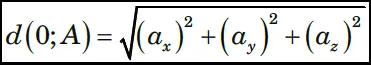
Punkte im Raum:

Darstellung: A(ax |ay |az)
Entfernung vom Ursprung:
Entfern...

Inhaltsverzeichnis

  1. Vorwort
  2. Inhaltsverzeichnis
  3. Einstieg
  4. Analytik
  5. Impressum

Häufig gestellte Fragen

Ja, du kannst dein Abo jederzeit über den Tab Abo in deinen Kontoeinstellungen auf der Perlego-Website kündigen. Dein Abo bleibt bis zum Ende deines aktuellen Abrechnungszeitraums aktiv. Erfahre, wie du dein Abo kündigen kannst
Nein, Bücher können nicht als externe Dateien, z. B. PDFs, zur Verwendung außerhalb von Perlego heruntergeladen werden. Du kannst jedoch Bücher in der Perlego-App herunterladen, um sie offline auf deinem Smartphone oder Tablet zu lesen. Erfahre, wie du Bücher herunterladen kannst, um sie offline zu lesen
Perlego bietet zwei Abopläne an: Elementar und Erweitert
  • Elementar ist ideal für Lernende und Profis, die sich mit einer Vielzahl von Themen beschäftigen möchten. Erhalte Zugang zur Basic-Bibliothek mit über 800.000 vertrauenswürdigen Titeln und Bestsellern in den Bereichen Wirtschaft, persönliche Weiterentwicklung und Geisteswissenschaften. Enthält unbegrenzte Lesezeit und die Standardstimme für die Funktion „Vorlesen“.
  • Pro: Perfekt für fortgeschrittene Lernende und Forscher, die einen vollständigen, uneingeschränkten Zugang benötigen. Schalte über 1,4 Millionen Bücher zu Hunderten von Themen frei, darunter akademische und hochspezialisierte Titel. Das Pro-Abo umfasst auch erweiterte Funktionen wie Premium-Vorlesen und den Recherche-Assistenten.
Beide Abopläne sind mit monatlichen, halbjährlichen oder jährlichen Abrechnungszyklen verfügbar.
Wir sind ein Online-Lehrbuch-Abo, bei dem du für weniger als den Preis eines einzelnen Buches pro Monat Zugang zu einer ganzen Online-Bibliothek erhältst. Mit über 1 Million Büchern zu über 990 verschiedenen Themen haben wir bestimmt alles, was du brauchst! Erfahre mehr über unsere Mission
Achte auf das Symbol zum Vorlesen bei deinem nächsten Buch, um zu sehen, ob du es dir auch anhören kannst. Bei diesem Tool wird dir Text laut vorgelesen, wobei der Text beim Vorlesen auch grafisch hervorgehoben wird. Du kannst das Vorlesen jederzeit anhalten, beschleunigen und verlangsamen. Erfahre mehr über die Funktion „Vorlesen“
Ja! Du kannst die Perlego-App sowohl auf iOS- als auch auf Android-Geräten nutzen, damit du jederzeit und überall lesen kannst – sogar offline. Perfekt für den Weg zur Arbeit oder wenn du unterwegs bist.
Bitte beachte, dass wir Geräte, auf denen die Betriebssysteme iOS 13 und Android 7 oder noch ältere Versionen ausgeführt werden, nicht unterstützen können. Mehr über die Verwendung der App erfahren
Ja, du hast Zugang zu Analytische Geometrie von A. Rueff im PDF- und/oder ePub-Format sowie zu anderen beliebten Büchern aus Bildung & Bildung Allgemein. Aus unserem Katalog stehen dir über 1 Million Bücher zur Verfügung.