
Formelsammlung Thermodynamik, Wärme- und Stoffübertragung und Strömungsmechanik
mit Stoffwertetabellen und -diagrammen
- 68 Seiten
- German
- ePUB (handyfreundlich)
- Über iOS und Android verfügbar
Formelsammlung Thermodynamik, Wärme- und Stoffübertragung und Strömungsmechanik
mit Stoffwertetabellen und -diagrammen
Über dieses Buch
Diese Formelsammlung umfasst die Gebiete technische Thermodynamik, technische Strömungsmechanik, Wärmeübertragung und in geringerem Umfang auch die Stoffübertragung. Sie basiert auf den gleichnamigen Vorlesungen der Autoren an der Hochschule für angewandte Wissenschaften Kempten. Systematisch gegliedert werden in der Formelsammlung grundlegende Berechnungsgleichungen, umfangreiche Stoffdaten sowie Lösungsdiagramme für wichtige Berechnungsfunktionen bereitgestellt. Aus Gründen der Kompaktheit und Übersichtlichkeit wird dabei weitgehend auf Erläuterungen von Gleichungen und Formelzeichen verzichtet. Die Formelsammlung eignet sich daher besonders als vorlesungs- oder prüfungsbegleitendes Hilfsmittel für Studierende in Ingenieurstudiengängen an Hochschulen oder Universitäten. Eine weitere Zielgruppe bilden Ingenieure mit entsprechenden Vorkenntnissen, die im Berufsalltag schnell auf wesentliche Gleichungen und Daten zugreifen möchten.
Häufig gestellte Fragen
- Elementar ist ideal für Lernende und Profis, die sich mit einer Vielzahl von Themen beschäftigen möchten. Erhalte Zugang zur Basic-Bibliothek mit über 800.000 vertrauenswürdigen Titeln und Bestsellern in den Bereichen Wirtschaft, persönliche Weiterentwicklung und Geisteswissenschaften. Enthält unbegrenzte Lesezeit und die Standardstimme für die Funktion „Vorlesen“.
- Pro: Perfekt für fortgeschrittene Lernende und Forscher, die einen vollständigen, uneingeschränkten Zugang benötigen. Schalte über 1,4 Millionen Bücher zu Hunderten von Themen frei, darunter akademische und hochspezialisierte Titel. Das Pro-Abo umfasst auch erweiterte Funktionen wie Premium-Vorlesen und den Recherche-Assistenten.
Bitte beachte, dass wir Geräte, auf denen die Betriebssysteme iOS 13 und Android 7 oder noch ältere Versionen ausgeführt werden, nicht unterstützen können. Mehr über die Verwendung der App erfahren.
Information
WÄRME- UND STOFFÜBERTRAGUNG
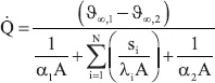
1 Eindimensionale stationäre Wärmeleitung




1.1 Wärmeübertragung durch Körper mit konstanter Querschnittsfläche (ebene Wand)








1.2 Wärmeübertragung durch Körper mit variabler Querschnittsfläche





Inhaltsverzeichnis
- Inhaltsverzeichnis
- Technische Thermodynamik
- Wärme- und Stoffübertragung
- Technische Strömungsmechanik
- Anhang: Stoffwerte und Diagramme
- Impressum