Englische Zeitungen sahen in ihm den "neuen Einstein". "Steht den Deutschen ein neues Weltbild bevor?" fragte der Stern 1957 in einem Artikel über den fast blinden und tauben sowie Handlosen Physiker Burkhard Heim. Es sieht so aus, als könnte die Frage heute mit "ja" beantwortet werden.Heim vollendet Einsteins Ansätze zu einer einheitlichen Feldtheorie. Er geometrisiert nicht nur das Gravitationsfeld, sondern sämtliche physikalischen Felder.In Heims Theorie lassen sich alle Elementarteilchen als dynamische, quantisierte geometrische Strukturen angeben. Die Massen der Elementarteilchen werden sehr genau wiedergegeben, was bisher weder die String, noch die Loop-Quanten-Theorie können!Ein Urknall findet im kosmologischen Modell Heims nicht statt. Der Kosmos entwickelte sich nach Heim sehr, sehr lange nur als ein leerer Raum - als reine quantisierte Geometrie.Durch die Einführung einer aspektbezogenen Logik gelingt in Heims 6-dimensionalem Weltbild die einheitliche Beschreibung physikalischer, biologischer und psychischer Prozesse und somit die Lösung des Leib-Seele Problems.Das Buch will auf die Bedeutung, die das neue moderne Weltbild für jeden Einzelnen von uns hat, aufmerksam machen. Es zeichnet ein hoffnungsvolleres und sinnvolleres Bild des Dasein als es nur die Raumzeit vermag.

- 116 Seiten
- German
- ePUB (handyfreundlich)
- Über iOS und Android verfügbar
eBook - ePub
Das neue Weltbild des Physikers Burhard Heim
Über dieses Buch
375,005 Studierende vertrauen auf uns
Zugang zu über 1 Million Titeln zu einem fairen monatlichen Preis.
Mit unseren Lerntools kannst du noch effizienter lernen.
Information
Thema
NaturwissenschaftenThema
PhysikFormelanhang
(Formeln ohne Herleitung als Interpretationshilfen zum Text für Physiker)
Zu Kapitel A: Phänomenologische Feldgleichungen und physikalische Anwendungen
Maxwellscher Feldstärketensor des elektromagnetischen Feldes:
![]() | (A-1) |
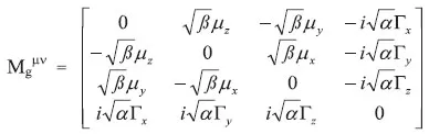
Heimscher Feldstärketensor des Gravito-Meso-Feldes:
![]() | (A-2) |
| E = elektrisches Feld | Γ = induziertes Gravitationsfeld |
| H = magnetisches Feld im Vakuum | μ = Mesofeld |
| ε0 = Dielektrizitätskonstante (ε0 = 8,854 × 10-12 Farad/m) | α = 1/(4πγ) = 1,19 × 109 s²kg/m³ |
| μ0 = Vakuum Permeabilität (μ0 = 4π × 10-7 Henry/m) | ß = 1/αc² = 9,34 × 10-27 m/kg) |
| c = (ε0 μ0)-1/2 Lichtgeschwindigkeit ( c = 3 × 108 m/s) | ω = (αβ)-1/2 Geschwindigkeit |
| γ = Gravitationskonstante (γ = 6,67 × 10-11 m³/s²kg) | von Gravitations-Störungen |
| Es wird ω = c angenommen | |
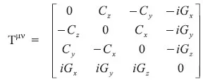
Der einheitliche Feldstärketensor:
![]() | (A-3) |
Der einheitliche Energiedichtetensor:
![]() | (A-4) |
![]() | (A-5) |
mit

Zusammenhang zwischen Elektromagnetismus mit den Feldern E und H mit der Gravitation mit dem Gravitations- und Mesofeld Γ und μ:
![]() | (A-6) |
![]() | |
![]() | (A-7) |
![]() | |
mit je = elektrische Stromdichte
jm = Massenstromdichte
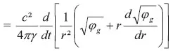
Kontrabarische Gleichung für die Kraftdichte ξ:

![]() | (A-8) |
mit φg = Gravitationspotenzial, K = ponderomotorische Kraft, V = Volumen
Lösung von Gl.(A-8) für die Beschleunigung eines die Strahlung E × H umsetze...
Inhaltsverzeichnis
- Das neue Weltbild des Physikers Burkhard Heim
- Zusammenfassung
- Inhaltsverzeichnis
- Burkhard Heims außergewöhnliche Begabungen
- A Die einheitliche phänomenologische Feldtheorie
- B Die einheitliche quantisierte Strukturtheorie
- C Die aspektbezogene Logik zur einheitlichen Beschreibung von Leib und Seele
- Formelanhang
Häufig gestellte Fragen
Ja, du kannst dein Abo jederzeit über den Tab Abo in deinen Kontoeinstellungen auf der Perlego-Website kündigen. Dein Abo bleibt bis zum Ende deines aktuellen Abrechnungszeitraums aktiv. Erfahre, wie du dein Abo kündigen kannst
Nein, Bücher können nicht als externe Dateien, z. B. PDFs, zur Verwendung außerhalb von Perlego heruntergeladen werden. Du kannst jedoch Bücher in der Perlego-App herunterladen, um sie offline auf deinem Smartphone oder Tablet zu lesen. Erfahre, wie du Bücher herunterladen kannst, um sie offline zu lesen
Perlego bietet zwei Abopläne an: Elementar und Erweitert
- Elementar ist ideal für Lernende und Profis, die sich mit einer Vielzahl von Themen beschäftigen möchten. Erhalte Zugang zur Basic-Bibliothek mit über 800.000 vertrauenswürdigen Titeln und Bestsellern in den Bereichen Wirtschaft, persönliche Weiterentwicklung und Geisteswissenschaften. Enthält unbegrenzte Lesezeit und die Standardstimme für die Funktion „Vorlesen“.
- Pro: Perfekt für fortgeschrittene Lernende und Forscher, die einen vollständigen, uneingeschränkten Zugang benötigen. Schalte über 1,4 Millionen Bücher zu Hunderten von Themen frei, darunter akademische und hochspezialisierte Titel. Das Pro-Abo umfasst auch erweiterte Funktionen wie Premium-Vorlesen und den Recherche-Assistenten.
Wir sind ein Online-Lehrbuch-Abo, bei dem du für weniger als den Preis eines einzelnen Buches pro Monat Zugang zu einer ganzen Online-Bibliothek erhältst. Mit über 1 Million Büchern zu über 990 verschiedenen Themen haben wir bestimmt alles, was du brauchst! Erfahre mehr über unsere Mission
Achte auf das Symbol zum Vorlesen bei deinem nächsten Buch, um zu sehen, ob du es dir auch anhören kannst. Bei diesem Tool wird dir Text laut vorgelesen, wobei der Text beim Vorlesen auch grafisch hervorgehoben wird. Du kannst das Vorlesen jederzeit anhalten, beschleunigen und verlangsamen. Erfahre mehr über die Funktion „Vorlesen“
Ja! Du kannst die Perlego-App sowohl auf iOS- als auch auf Android-Geräten nutzen, damit du jederzeit und überall lesen kannst – sogar offline. Perfekt für den Weg zur Arbeit oder wenn du unterwegs bist.
Bitte beachte, dass wir Geräte, auf denen die Betriebssysteme iOS 13 und Android 7 oder noch ältere Versionen ausgeführt werden, nicht unterstützen können. Mehr über die Verwendung der App erfahren
Bitte beachte, dass wir Geräte, auf denen die Betriebssysteme iOS 13 und Android 7 oder noch ältere Versionen ausgeführt werden, nicht unterstützen können. Mehr über die Verwendung der App erfahren
Ja, du hast Zugang zu Das neue Weltbild des Physikers Burhard Heim von Illobrand von Ludwiger im PDF- und/oder ePub-Format sowie zu anderen beliebten Büchern aus Naturwissenschaften & Physik. Aus unserem Katalog stehen dir über 1 Million Bücher zur Verfügung.









