Si l'obésité gagne aujourd'hui du terrain chez les enfants il existe des moyens de contrecarrer ce fléau. Tel est l'objectif de ce livre.Dans un premier temps un médecin de famille qui consacre la plus grande partie de sa pratique aux enfants explique à partir d'exemples concrets les courbes de croissance et la façon de les interpréter. Le médecin propose ensuite un modèle pour prévenir l'obésité dès la petite enfance. Les chapitres qui suivent illustrent les applications de ce modèle à travers différentes situations que vivent des parents des professionnels ou des éducateurs en milieu de garde.Visant une approche systémique l'ouvrage traite des choix alimentaires et du temps dédié à l'exercice mais aussi de l'omniprésence de l'écran des horaires chargés des parents et des enfants des familles recomposées etc. Il parle également de l'art d'être parent de la confiance mutuelle du développement de l'estime de soi et de l'image corporelle.

- 144 pages
- French
- ePUB (adaptée aux mobiles)
- Disponible sur iOS et Android
eBook - ePub
À propos de ce livre
Approuvé par les 375,005 étudiants
Accès à plus d'un million de titres pour un prix mensuel raisonnable.
Étudiez plus efficacement en utilisant nos outils d'étude.
Informations
CHAPITRE 1
L’embonpoint et l’obésité
chez les enfants
Comment savoir ?
L’obésité est parfois visible à l’œil nu. D’autres fois, c’est plus subtil. Cet enfant dodu souffre-t-il réellement d’embonpoint ou présente-t-il simplement des rondeurs passagères ? Comment savoir ?
Au centre de santé, on m’a tout de suite recommandée à Pascale. « Elle est médecin de famille et c’est elle qui reçoit le plus grand nombre d’enfants ici », m’affirme la réceptionniste. « Elle les aime d’un amour peu commun et, au fil des ans, elle est naturellement devenue notre experte des questions relatives à l’enfance. Je vous donne ses coordonnées ? » Avec un plaisir manifeste, Pascale accepte de me conduire dans les dédales de ce problème complexe qu’est la définition de l’obésité chez l’enfant.
— Ça fait une vingtaine d’années que je m’intéresse à la croissance des enfants et à l’obésité. Avec le temps, j’ai été témoin de situations qui m’incitent à la plus grande prudence dans ma façon d’interpréter les questions de poids. J’ai vu, par exemple :
• des bébés potelés et joufflus, ronds comme une lune, qui sont devenus de grands adultes minces ;
• des enfants tout menus qui se sont transformés en adultes corpulents ;
• des rondeurs qui se sont effacées d’elles-mêmes avec le temps et d’autres qui ont disparu sous l’effet d’une cure, mais en laissant place à pire encore, c’est-à-dire à une hantise des calories et à une obsession de la minceur ;
• des gains de poids qui sortent de l’ordinaire et des pertes de poids aussi.
• des enfants tout menus qui se sont transformés en adultes corpulents ;
• des rondeurs qui se sont effacées d’elles-mêmes avec le temps et d’autres qui ont disparu sous l’effet d’une cure, mais en laissant place à pire encore, c’est-à-dire à une hantise des calories et à une obsession de la minceur ;
• des gains de poids qui sortent de l’ordinaire et des pertes de poids aussi.
— Chez les enfants, la question de l’obésité poursuit-elle, est encore plus délicate que chez les adultes. Pour bien la comprendre, j’invite les parents à considérer un ensemble de variables.
Suivre la courbe
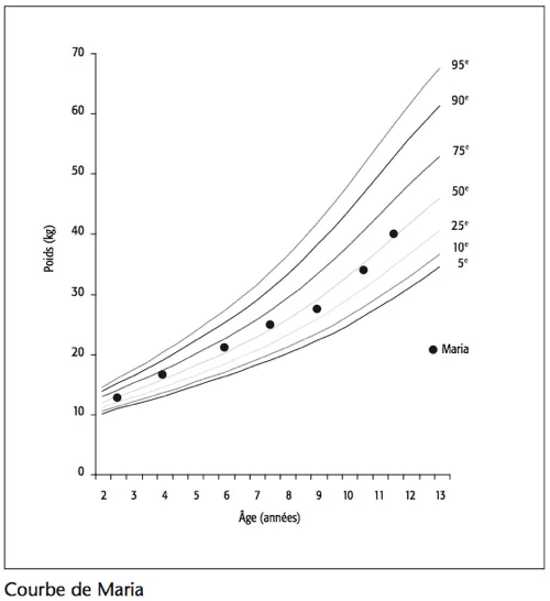
Sur son bureau, Pascale a étalé courbes et tableaux, qui sont couverts de points de couleur et de griffonnages à la mine.
— J’ai choisi quatre de mes petits patients. Juste pour te montrer combien la façon de grandir varie d’un enfant à l’autre.
Elle glisse vers moi une première feuille.
— Une courbe comme celle-ci permet de compiler le poids en fonction de l’âge. J’en utilise une pour chaque enfant que je reçois à la clinique. Une fois que je l’ai pesé, je cherche son poids sur cette ligne-ci (la verticale) et je l’inscris vis-à-vis de son âge. Ça va jusqu’à maintenant ?
— Oui, mais les lignes déjà imprimées sur la feuille, elles représentent quoi ?

— Les courbes ont été faites à partir de la mesure de plusieurs centaines d’enfants. Les lignes du bas correspondent à la mesure du poids des plus petits enfants, celles du milieu, à la mesure des enfants moyens et, tout en haut, celle des plus costauds. Les tracés déjà imprimés me servent donc de points de repère. Ils permettent de suivre la courbe de croissance d’un enfant donné et de la comparer à celle des autres enfants nord-américains. Allons-y avec de vrais exemples. Ce sera plus facile.
— D’accord. Je te suis.

— Voici la courbe de Maria. À chacune de ses visites à la clinique, on pèse Maria, puis on reporte son poids sur cette courbe. Vois-tu la tendance qui se dessine ? Ses mesures s’inscrivent à peu près toutes autour de la même ligne, celle du milieu dans son cas. On devine qu’elle suit un tracé. La majorité des enfants font de même. Leur croissance suit un tracé, qui est sans doute un reflet de leur bagage génétique.
— C’est fort intéressant !
— Maria a une courbe assez stable. Regarde bien celle-ci maintenant. C’est celle de son frère Ernesto. C’est différent, hein ? Ernesto, lui, a une croissance plus contrastée. Marquée par des écarts assez prononcés.

— J’ai choisi la courbe de ce garçon, ajoute Pascale, surtout pour te montrer comme il est difficile d’interpréter une mesure unique. Si j’avais rencontré Ernesto une seule fois et à cette date-ci, observe-t-elle en pointant son crayon sur le poids à l’âge de 5 ans, j’aurais pu conclure qu’il avait unproblème. Je me serais trompée. La suite des choses révèle qu’avec le temps, il est revenu prendre sa place dans le corridor du milieu. C’est donc un ensemble de mesures qui nous permettent de conclure à l’embonpoint. Pas une seule mesure. Jamais.
Et les autres indicateurs
Pascale fouille dans sa pile de feuilles et en sort une autre courbe, différente des deux autres.

— Celle-ci représente le parcours de William. Pendant quelques années, son poids s’inscrivait dans le même corridor, puis soudain, il s’en éloigne.
— Un peu comme Ernesto.
— Sauf que cette fois, l’enfant ne revient pas dans son corridor. Il reste dans le nouveau et, au fil des mois, il se dirige même vers le suivant. Oups ! Alerte rouge !
— C’est un cas d’obésité ?
— Pas nécessairement. Cela pourrait être les rondeurs dont j’ai parlé tantôt, qui disparaissent d’elles-mêmes au fil du temps. Dans ce cas, j’aurais tort d’intervenir. Mais ici, l’écart sur la courbe est assez grand pour soulever des questions. Que s’est-il passé dans la vie de cet enfant entre l’âge de 6 ans et 8 ans ?
— …
— Il faut vérifier, aller plus loin. Dans certains cas, un des parents dit qu’il lui est arrivé la même chose quand il était petit. Et qu’un jour, il s’est mis à allonger et que c’en était fini des bourrelets.
— C’est l’histoire de mon fils, me suis-je exclamée.
— Vois-tu ? C’est probablement une question d’hérédité. Les gènes sont programmés ainsi. Dans d’autres cas, les questions nous conduisent ailleurs. Cet enfant-ci, par exemple, a commencé à prendre du poids après la séparation de ses parents. Une enquête plus poussée nous a montré que son alimentation était complètement chamboulée.
Cherchant à préserver l’affection de William, les parents acquiesçaient à n’importe quelle demande : fast food à volonté, grignotage à toute heure du jour, repas devant la télé. En une année, le garçon a pris six kilos, ce que les autres enfants gagnent en trois ans. Les parents ont dû prendre une décision. Ou bien ils continuaient comme ça, avec les conséquences que l’on connaît, ou bien ils modifiaient les habitudes de l’enfant.
— Ils ont opté pour la deuxième solution si j’en juge par le redressement de la courbe.
— Vous avez tout saisi, rétorque Pascale en riant.
Elle se lève et commence à ramasser les feuilles éparpillées sur son bureau. Il en reste une sous la pile.
— Ah oui, c’est vrai, lance-t-elle. Puisqu’il est question des habitudes et de leur influence sur le poids, je voulais te montrer cette courbe-ci.
Elle rapproche la feuille.
— C’est la courbe de Josiane. Son poids s’est toujours situé tout en haut, comparable à celui des enfants les plus lourds. Cette fillette vit avec deux parents obèses, ainsi qu’avec un frère et une sœur également obèses. Elle partage les mêmes gènes, c’est certain, mais aussi les mêmes habitudes de vie que les autres membres de la famille. Chez elle, la nourriture est toujours riche et abondante, souvent préparée avec de généreuses quantités de crème, d’huile, de sucre et de beurre. Les repas sont copieux, ils comprennent plusieurs services et se terminent par de plantureux desserts. Pour compléter le tableau, la famille est de celles qui vont au dépanneur en auto et qui préfèrent de loin le cinéma aux randonnées pédestres. Tu imagines un peu le contexte ?
— Fort bien.

— Comme dans le cas de William, les habitudes jouent ici un rôle primordial. À cette nuance près que chez Josiane elles ne sont pas temporaires, mais plutôt inscrites dans le mode de vie de la famille.
L’indice de masse corporelle
— Les courbes que tu m’as montrées indiquent le poids selon l’âge de l’enfant. À quoi sert l’indice de masse corporelle, alors ?
— C’est une question très à propos ! L’indice de masse corporelle est une donnée qui tient compte à la fois du poids et de la taille d’une personne. Il est donc plus complet que le poids seul quand il s’agit de décrire la corpulence d’un individu. Depuis quelques années, des courbes ont été établies pour les enfants. Elles présentent l’indice de masse corporelle en fonction de l’âge de l’enfant.
— Est-ce que tu les utilises ?
— Dans plusieurs cas, oui. Surtout pour vérifier si mon opinion est bien fondée.
— C’est-à-dire ?
— Dans le cas de Josiane, par exemple, je n’ai pas besoin de calculer l’indice de masse corporelle, ni d’inscrire le résultat sur une courbe pour savoir que cette enfant souffre d’obésité. Pour William, c’était différent. Comme son poids sortait du corridor habituel, il était indiqué de placer l’indice de masse corporelle sur une courbe. Puisque le poids et la taille des enfants qui fréquentent la clinique sont notés de façon systématique, je peux toujours calculer leur indice de masse corporelle et placer le résultat sur une courbe.
Prévenir
Comment s’y prendre ?
Pour Pascale, il vaut mieux empêcher l’obésité d’entrer dans la maison que d’essayer de l’en sortir.
— Depuis le temps que je m’intéresse aux enfants, à leur croissance et à leur histoire, j’ai expérimenté toutes sortes de stratégies pour aider et soutenir les parents. Jusqu’à maintenant, mon coup de cœur va au modèle proposé par Ellyn Satter.
— J’ai déjà vu son nom, il me semble.
— Ça ne m’étonne pas. C’est une sommité dans le domaine de l’alimentation des enfants. Ellyn Satter est à la fois diététiste et psychothérapeute. Il y a plusieurs années, elle a conçu une approche qui s’est tout de suite révélée très profitable et qu’elle a fait connaître en publiant quelques livres sur le sujet. Selon cette approche, les parents et les enfants ont chacun un rôle à jouer dans l’alimentation. Les parents s’occupent de choisir les aliments et d’établir les règles qui entourent les repas et les collations. Ensuite, c’est aux enfants que revient la responsabilité de déterminer la quantité qui convient.
Du regard, je l’invite à continuer.
— Sa méthode part du principe que les enfants naissent avec un bagage et avec des compétences. Instinctivement, ils savent certaines choses, comme trouver le sein, par exemple, ou s’arrêter de manger quand ils en ont assez. Le rôle des adultes est de faire confiance aux enfants et d’accepter de leur donner certaines responsabilités. Question de les aider à préserver le savoir et le potentiel qu’ils détiennent.
— Peut-on suggérer des exemples concrets ?
— Volontiers !
Les parents mettent la table
— Je commence par le choix des aliments. C’est une des responsabilités des parents de décider quels aliments vont remplir le panier d’épicerie.
— En théorie, peut-être, mais en pratique, les enfants aiment bien s’en mêler.
— C’est une bonne chose aussi, confirme Pascale. C’est une merveilleuse façon d’apprendre à devenir un consommateur averti. Le mot de la fin appartient toutefois aux parents. Plusieurs enfants l’ont compris. Tu les connais, sans doute. Tu sais, celui qui a déjà fait une crise devant le présentoir de céréales et qui a essuyé un non catégorique, malgré les cris et les larmes ? Il a saisi que tous les aliments ne sont pas également bienvenus dans le panier. Même chose pour celle dont les parents refusent obstinément d’acheter les frutty machins, couleur rouge vif, en dépit de ses demandes répétées. Elle le sait.
— Je les ai déjà rencontrés, oui.
Pascale sourit.
— C’est également le parent qui planifie le menu et qui détermine le contenu de l’assiette. Somme toute, les aliments qui se retrouvent dans le réfrigérateur et dans le garde-manger et, par le fait même, dans l...
Table des matières
- REMERCIEMENTS
- PRÉFACE
- INTRODUCTION
- Les principaux personnages
- CHAPITRE 1 L’embonpoint et l’obésité chez les enfants
- CHAPITRE 2 Des règles claires
- CHAPITRE 3 De bons aliments
- CHAPITRE 4 Faire confiance aux enfants
- CHAPITRE 5 Comprendre et soutenir les enfants
- CHAPITRE 6 Avant de conclure
- CONCLUSION
- RÉFÉRENCES BIBLIOGRAPHIQUES
- RESSOURCES
Foire aux questions
Oui, vous pouvez résilier à tout moment à partir de l'onglet Abonnement dans les paramètres de votre compte sur le site Web de Perlego. Votre abonnement restera actif jusqu'à la fin de votre période de facturation actuelle. Découvrir comment résilier votre abonnement
Non, les livres ne peuvent pas être téléchargés sous forme de fichiers externes, tels que des PDF, pour être utilisés en dehors de Perlego. Cependant, vous pouvez télécharger des livres dans l'application Perlego pour les lire hors ligne sur votre téléphone portable ou votre tablette. Apprendre à télécharger des livres hors ligne
Perlego propose deux abonnements : Essentiel et Complet
- Essentiel est idéal pour les étudiants et les professionnels qui aiment explorer un large éventail de sujets. Accédez à la bibliothèque Essentiel comprenant plus de 800 000 titres de référence et best-sellers dans les domaines du commerce, du développement personnel et des sciences humaines. Il comprend un temps de lecture illimité et la voix standard de la fonction Écouter.
- Complet est parfait pour les étudiants avancés et les chercheurs qui ont besoin d'un accès complet et illimité. Accédez à plus de 1,4 million de livres sur des centaines de sujets, y compris des titres académiques et spécialisés. L'abonnement Complet comprend également des fonctionnalités avancées telles que la fonction Écouter Premium et l'Assistant de recherche.
Nous sommes un service d'abonnement à des ouvrages universitaires en ligne, où vous pouvez accéder à toute une bibliothèque pour un prix inférieur à celui d'un seul livre par mois. Avec plus d'un million de livres sur plus de 990 sujets, nous avons ce qu'il vous faut ! En savoir plus sur notre mission
Recherchez le symbole Écouter sur votre prochain livre pour voir si vous pouvez l'écouter. L'outil Écouter lit le texte à haute voix pour vous, en surlignant le passage qui est en cours de lecture. Vous pouvez le mettre sur pause, l'accélérer ou le ralentir. En savoir plus sur la fonctionnalité Écouter
Oui ! Vous pouvez utiliser l'application Perlego sur les appareils iOS et Android pour lire à tout moment, n'importe où, même hors ligne. Parfait pour les trajets quotidiens ou lorsque vous êtes en déplacement.
Veuillez noter que nous ne pouvons pas prendre en charge les appareils fonctionnant sur iOS 13 et Android 7 ou versions antérieures. En savoir plus sur l'utilisation de l'application
Veuillez noter que nous ne pouvons pas prendre en charge les appareils fonctionnant sur iOS 13 et Android 7 ou versions antérieures. En savoir plus sur l'utilisation de l'application
Oui, vous pouvez accéder à Prévenir l'obésité chez les enfants par Renée Cyr en format PDF et/ou ePUB ainsi qu'à d'autres livres populaires dans Médecine et Nutrition, diététique et bariatrie. Nous disposons de plus d'un million d'ouvrages à découvrir dans notre catalogue.